Chapter 5. OpenGL Reference Pages

This chapter contains the reference pages, in alphabetical order, for all the OpenGL commands. Each reference page may describe more than one related command, as shown in the following list of pages. The OpenGL Utility Library routines and those comprising the OpenGL extension to the X Window System are described in the following chapters

glAccum

NAME

glAccum - operate on the accumulation buffer

C SPECIFICATION

void glAccum( GLenum op, GLfloat value )

PARAMETERS

op 

Specifies the accumulation buffer operation. Symbolic constants GL_ACCUM, GL_LOAD, GL_ADD, GL_MULT, and GL_RETURN are accepted.

value 

Specifies a floating-point value used in the accumulation buffer operation. op determines how value is used.

DESCRIPTION

The accumulation buffer is an extended-range color buffer. Images are not rendered into it. Rather, images rendered into one of the color buffers are added to the contents of the accumulation buffer after rendering. Effects such as antialiasing (of points, lines, and polygons), motion blur, and depth of field can be created by accumulating images generated with different transformation matrices.

Each pixel in the accumulation buffer consists of red, green, blue, and alpha values. The number of bits per component in the accumulation buffer depends on the implementation. You can examine this number by calling glGetIntegerv four times, with arguments GL_ACCUM_RED_BITS, GL_ACCUM_GREEN_BITS, GL_ACCUM_BLUE_BITS, and GL_ACCUM_ALPHA_BITS, respectively. Regardless of the number of bits per component, however, the range of values stored by each component is [-1, 1]. The accumulation buffer pixels are mapped one-to-one with frame buffer pixels.

glAccum operates on the accumulation buffer. The first argument, op, is a symbolic constant that selects an accumulation buffer operation. The second argument, value, is a floating-point value to be used in that operation. Five operations are specified: GL_ACCUM, GL_LOAD, GL_ADD, GL_MULT, and GL_RETURN.

All accumulation buffer operations are limited to the area of the current scissor box and are applied identically to the red, green, blue, and alpha components of each pixel. The contents of an accumulation buffer pixel component are undefined if the glAccum operation results in a value outside the range [-1,1]. The operations are as follows:

GL_ACCUM 

Obtains R, G, B, and A values from the buffer currently selected for reading (see "glReadBuffer" .) Each component value is divided by 2n - 1, where n is the number of bits allocated to each color component in the currently selected buffer. The result is a floating-point value in the range [0,1], which is multiplied by value and added to the corresponding pixel component in the accumulation buffer, thereby updating the accumulation buffer.

GL_LOAD  

Similar to GL_ACCUM, except that the current value in the accumulation buffer is not used in the calculation of the new value. That is, the R, G, B, and A values from the currently selected buffer are divided by 2n - 1, multiplied by value, and then stored in the corresponding accumulation buffer cell, overwriting the current value.

GL_ADD  

Adds value to each R, G, B, and A in the accumulation buffer.

GL_MULT  

Multiplies each R, G, B, and A in the accumulation buffer by value and returns the scaled component to its corresponding accumulation buffer location.

GL_RETURN  

Transfers accumulation buffer values to the color buffer or buffers currently selected for writing. Each R, G, B, and A component is multiplied by value, then multiplied by 2n - 1, clamped to the range [0, 2n - 1 ], and stored in the corresponding display buffer cell. The only fragment operations that are applied to this transfer are pixel ownership, scissor, dithering, and color writemasks.

The accumulation buffer is cleared by specifying R, G, B, and A values to set it to with the glClearAccum directive, and issuing a glClear command with the accumulation buffer enabled.

NOTES

Only those pixels within the current scissor box are updated by any glAccum operation.

ERRORS

GL_INVALID_ENUM is generated if op is not an accepted value.

GL_INVALID_OPERATION is generated if there is no accumulation buffer.

GL_INVALID_OPERATION is generated if glAccum is called between a call to glBegin and the corresponding call to glEnd.

ASSOCIATED GETS

glGet with argument GL_ACCUM_RED_BITS
glGet with argument GL_ACCUM_GREEN_BITS
glGet with argument GL_ACCUM_BLUE_BITS
glGet with argument GL_ACCUM_ALPHA_BITS

glAlphaFunc

NAME

glAlphaFunc - specify the alpha test function

C SPECIFICATION

void glAlphaFunc( GLenum func, GLclampf ref )

PARAMETERS

func 

Specifies the alpha comparison function. Symbolic constants GL_NEVER, GL_LESS, GL_EQUAL, GL_LEQUAL, GL_GREATER, GL_NOTEQUAL, GL_GEQUAL, and GL_ALWAYS are accepted. The default function is GL_ALWAYS.

ref 

Specifies the reference value that incoming alpha values are compared to. This value is clamped to the range 0 through 1, where 0 represents the lowest possible alpha value and 1 the highest possible value. The default reference is 0.

DESCRIPTION

The alpha test discards fragments depending on the outcome of a comparison between the incoming fragment's alpha value and a constant reference value. glAlphaFunc specifies the reference and comparison function. The comparison is performed only if alpha testing is enabled. (See "glEnable" and glDisable of GL_ALPHA_TEST.)

func and ref specify the conditions under which the pixel is drawn. The incoming alpha value is compared to ref using the function specified by func. If the comparison passes, the incoming fragment is drawn, conditional on subsequent stencil and depth buffer tests. If the comparison fails, no change is made to the frame buffer at that pixel location.

The comparison functions are as follows:

GL_NEVER 

Never passes.

GL_LESS 

Passes if the incoming alpha value is less than the reference value.

GL_EQUAL 

Passes if the incoming alpha value is equal to the reference value.

GL_LEQUAL 

Passes if the incoming alpha value is less than or equal to the reference value.

GL_GREATER  


Passes if the incoming alpha value is greater than the reference value.

GL_NOTEQUAL 


Passes if the incoming alpha value is not equal to the reference value.

GL_GEQUAL 

Passes if the incoming alpha value is greater than or equal to the reference value.

GL_ALWAYS 

Always passes.

glAlphaFunc operates on all pixel writes, including those resulting from the scan conversion of points, lines, polygons, and bitmaps, and from pixel draw and copy operations. glAlphaFunc does not affect screen clear operations.

NOTES

Alpha testing is done only in RGBA mode.

ERRORS

GL_INVALID_ENUM is generated if func is not an accepted value.

GL_INVALID_OPERATION is generated if glAlphaFunc is called between a call to glBegin and the corresponding call to glEnd.

ASSOCIATED GETS

glGet with argument GL_ALPHA_TEST_FUNC
glGet with argument GL_ALPHA_TEST_REF
glIsEnabled with argument GL_ALPHA_TEST

glBegin

NAME

glBegin, glEnd - delimit the vertices of a primitive or a group of like primitives

C SPECIFICATION

void glBegin( GLenum mode )

PARAMETERS

mode 

Specifies the primitive or primitives that will be created from vertices presented between glBegin and the subsequent glEnd. Ten symbolic constants are accepted: GL_POINTS, GL_LINES, GL_LINE_STRIP, GL_LINE_LOOP, GL_TRIANGLES, GL_TRIANGLE_STRIP, GL_TRIANGLE_FAN, GL_QUADS, GL_QUAD_STRIP, and GL_POLYGON.

C SPECIFICATION

void glEnd( void )

DESCRIPTION

glBegin and glEnd delimit the vertices that define a primitive or a group of like primitives. glBegin accepts a single argument that specifies which of ten ways the vertices are interpreted. Taking n as an integer count starting at one, and N as the total number of vertices specified, the interpretations are as follows:

GL_POINTS 

Treats each vertex as a single point. Vertex n defines point n. N points are drawn.

GL_LINES 

Treates each pair of vertices as an independent line segment. Vertices 2n-1 and 2n define line n. N/2 lines are drawn.

GL_LINE_STRIP 


Draws a connected group of line segments from the first vertex to the last. Vertices n and n+1 define line n. N-1 lines drawn.

GL_LINE_LOOP 


Draws a connected group of line segments from the first vertex to the last, then back to the first. Vertices n and n+1 define line n. The last line, however, is defined by vertices N and 1. N lines are drawn.

GL_TRIANGLES 


Treates each triplet of vertices as an independent triangle. Vertices 3n-2, 3n-1, and 3n define triangle n. N/3 triangles are drawn.

GL_TRIANGLE_STRIP 


Draws a connected group of triangles. One triangle is defined for each vertex presented after the first two vertices. For odd n, vertices n, n+1, and n+2 define triangle n. For even n, vertices n+1, n, and n+2 define triangle n. N-2 triangles are drawn.

GL_TRIANGLE_FAN 


Draws a connected group of triangles. One triangle is defined for each vertex presented after the first two vertices. Vertices 1, n+1, and n+2 define triangle n. N-2 triangles are drawn.

GL_QUADS 

Treats each group of four vertices as an independent quadrilateral. Vertices 4n-3, 4n-2, 4n-1, and 4n define quadrilateral n. N/4 quadrilaterals are drawn.

GL_QUAD_STRIP 


Draws a connected group of quadrilaterals. One quadrilateral is defined for each pair of vertices presented after the first pair. Vertices 2n-1, 2n, 2n+2, and 2n+1 define quadrilateral n. N/2-1 quadrilaterals are drawn. Note that the order in which vertices are used to construct a quadrilateral from strip data is different from that used with independent data.

GL_POLYGON 


Draws a single, convex polygon. Vertices 1 through N define this polygon.

Only a subset of GL commands can be used between glBegin and glEnd. The commands are glVertex, glColor, glIndex, glNormal, glTexCoord, glEvalCoord, glEvalPoint, glMaterial, and glEdgeFlag. Also, it is acceptable to use glCallList or glCallLists to execute display lists that include only the preceding commands. If any other GL command is called between glBegin and glEnd, the error flag is set and the command is ignored.

Regardless of the value chosen for mode, there is no limit to the number of vertices that can be defined between glBegin and glEnd. Lines, triangles, quadrilaterals, and polygons that are incompletely specified are not drawn. Incomplete specification results when either too few vertices are provided to specify even a single primitive or when an incorrect multiple of vertices is specified. The incomplete primitive is ignored; the rest are drawn.

The minimum specification of vertices for each primitive is as follows: 1 for a point, 2 for a line, 3 for a triangle, 4 for a quadrilateral, and 3 for a polygon. Modes that require a certain multiple of vertices are GL_LINES (2), GL_TRIANGLES (3), GL_QUADS (4), and GL_QUAD_STRIP (2).

ERRORS

GL_INVALID_ENUM is generated if mode is set to an unaccepted value.

GL_INVALID_OPERATION is generated if a command other than glVertex, glColor, glIndex, glNormal, glTexCoord, glEvalCoord, glEvalPoint, glMaterial, glEdgeFlag, glCallList, or glCallLists is called between glBegin and the corresponding glEnd.

GL_INVALID_OPERATION is generated if glEnd is called before the corresponding glBegin is called, or if glBegin is called within a glBegin/glEnd sequence.

glBitmap

NAME

glBitmap - draw a bitmap

C SPECIFICATION

void glBitmap( GLsizei width, GLsizei height, GLfloat xorig, GLfloat yorig, GLfloat xmove, GLfloat ymove, const GLubyte *bitmap )

PARAMETERS

width, height 

Specify the pixel width and height of the bitmap image.

xorig, yorig 

Specify the location of the origin in the bitmap image. The origin is measured from the lower left corner of the bitmap, with right and up being the positive axes.

xmove, ymove 

Specify the x and y offsets to be added to the current raster position after the bitmap is drawn.

bitmap 

Specifies the address of the bitmap image.

DESCRIPTION

A bitmap is a binary image. When drawn, the bitmap is positioned relative to the current raster position, and frame buffer pixels corresponding to ones in the bitmap are written using the current raster color or index. Frame buffer pixels corresponding to zeros in the bitmap are not modified.

glBitmap takes seven arguments. The first pair specify the width and height of the bitmap image. The second pair specify the location of the bitmap origin relative to the lower left corner of the bitmap image. The third pair of arguments specify x and y offsets to be added to the current raster position after the bitmap has been drawn. The final argument is a pointer to the bitmap image itself.

The bitmap image is interpreted like image data for the glDrawPixels command, with width and height corresponding to the width and height arguments of that command, and with type set to GL_BITMAP and format set to GL_COLOR_INDEX. Modes specified using glPixelStore affect the interpretation of bitmap image data; modes specified using glPixelTransfer do not.

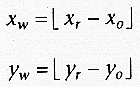
If the current raster position is invalid, glBitmap is ignored. Otherwise, the lower left corner of the bitmap image is positioned at the window coordinates

where ( xr , yr ) is the raster position and ( xo , yo ) is the bitmap origin. Fragments are then generated for each pixel corresponding to a one in the bitmap image. These fragments are generated using the current raster z coordinate, color or color index, and current raster texture coordinates. They are then treated just as if they had been generated by a point, line, or polygon, including texture mapping, fogging, and all per-fragment operations such as alpha and depth testing.

After the bitmap has been drawn, the x and y coordinates of the current raster position are offset by xmove and ymove. No change is made to the z coordinate of the current raster position, or to the current raster color, index, or texture coordinates.

ERRORS

GL_INVALID_VALUE is generated if width or height is negative.

GL_INVALID_OPERATION is generated if glBitmap is called between a call to glBegin and the corresponding call to glEnd.

ASSOCIATED GETS

glGet with argument GL_CURRENT_RASTER_POSITION
glGet with argument GL_CURRENT_RASTER_COLOR
glGet with argument GL_CURRENT_RASTER_INDEX
glGet with argument GL_CURRENT_RASTER_TEXTURE_COORDS
glGet with argument GL_CURRENT_RASTER_POSITION_VALID

glBlendFunc

NAME

glBlendFunc - specify pixel arithmetic

C SPECIFICATION

void glBlendFunc( GLenum sfactor, GLenum dfactor )

PARAMETERS

sfactor 

Specifies how the red, green, blue, and alpha source-blending factors are computed. Nine symbolic constants are accepted: GL_ZERO, GL_ONE, GL_DST_COLOR, GL_ONE_MINUS_DST_COLOR, GL_SRC_ALPHA, GL_ONE_MINUS_SRC_ALPHA, GL_DST_ALPHA, GL_ONE_MINUS_DST_ALPHA, and GL_SRC_ALPHA_SATURATE.

dfactor 

Specifies how the red, green, blue, and alpha destination blending factors are computed. Eight symbolic constants are accepted: GL_ZERO, GL_ONE, GL_SRC_COLOR, GL_ONE_MINUS_SRC_COLOR, GL_SRC_ALPHA, GL_ONE_MINUS_SRC_ALPHA, GL_DST_ALPHA, and GL_ONE_MINUS_DST_ALPHA.

DESCRIPTION

In RGB mode, pixels can be drawn using a function that blends the incoming (source) RGBA values with the RGBA values that are already in the frame buffer (the destination values). By default, blending is disabled. Use glEnable and glDisable with argument GL_BLEND to enable and disable blending.

glBlendFunc defines the operation of blending when it is enabled. sfactor specifies which of nine methods is used to scale the source color components. dfactor specifies which of eight methods is used to scale the destination color components. The eleven possible methods are described in the table below. Each method defines four scale factors, one each for red, green, blue, and alpha.

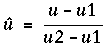
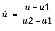
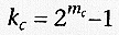
In the table and in subsequent equations, source and destination color components are referred to as (Rs , Gs , Bs , As ) and (Rd , Gd , Bd , Ad ). They are understood to have integer values between zero and (kR , kG , kB , kA ), where

and (mR , mG , mB , mA ) is the number of red, green, blue, and alpha bitplanes.

Source and destination scale factors are referred to as (sR , sG , sB , sA ) and (dR , dG , dB , dA ). The scale factors described in the table, denoted (fR , fG , fB , fA ), represent either source or destination factors. All scale factors have range [0,1].

parameter

(f R , f G , f B , f A )

GL_ZERO

(0, 0, 0, 0 )

GL_ONE

(1, 1, 1, 1 )

GL_SRC_COLOR

(R s / k R , G s / k G , B s / k B , A s / k A )

GL_ONE_MINUS_SRC_COLOR

(1, 1, 1, 1 ) - (R s / k R , G s / k G , B s / k B , A s / k A )

GL_DST_COLOR

(R d / k R , G d / k G , B d / k B , A d / k A )

GL_ONE_MINUS_DST_COLOR

(1, 1, 1, 1 ) - (R d / k R , G d / k G , B d / k B , A d / k A )

GL_SRC_ALPHA

(A s / k A , A s / k A , A s / k A , A s / k A )

GL_ONE_MINUS_SRC_ALPHA

(1, 1, 1, 1 ) - (A s / k A , A s / k A , A s / k A , A s / k A )

GL_DST_ALPHA

(A d / k A , A d / k A , A d / k A , A d / k A )

GL_ONE_MINUS_DST_ALPHA

(1, 1, 1, 1 ) - (A d / k A , A d / k A , A d / k A , A d / k A )

GL_SRC_ALPHA_SATURATE

(i, i, i, 1 )

In the table,

i = min (As , kA - Ad ) / kA

To determine the blended RGBA values of a pixel when drawing in RGB mode, the system uses the following equations:

Rd = min ( kR , Rs sR + Rd dR )
G
d = min ( kG , Gs sG + Gd dG )
B
d = min ( kB , Bs sB + Bd dB )
A
d = min ( kA , As sA + Ad dA )

Despite the apparent precision of the above equations, blending arithmetic is not exactly specified, because blending operates with imprecise integer color values. However, a blend factor that should be equal to one is guaranteed not to modify its multiplicand, and a blend factor equal to zero reduces its multiplicand to zero. Thus, for example, when sfactor is GL_SRC_ALPHA, dfactor is GL_ONE_MINUS_SRC_ALPHA, and As is equal to kA, the equations reduce to simple replacement:

Rd = Rs
Gd = Gs
Bd = Bs
Ad = As

EXAMPLES

Transparency is best implemented using blend function (GL_SRC_ALPHA, GL_ONE_MINUS_SRC_ALPHA) with primitives sorted from farthest to nearest. Note that this transparency calculation does not require the presence of alpha bitplanes in the frame buffer.

Blend function (GL_SRC_ALPHA, GL_ONE_MINUS_SRC_ALPHA) is also useful for rendering antialiased points and lines in arbitrary order.

Polygon antialiasing is optimized using blend function (GL_SRC_ALPHA_SATURATE, GL_ONE) with polygons sorted from nearest to farthest. (See the "glEnable" , glDisable reference page and the GL_POLYGON_SMOOTH argument for information on polygon antialiasing.) Destination alpha bitplanes, which must be present for this blend function to operate correctly, store the accumulated coverage.

NOTES

Incoming (source) alpha is correctly thought of as a material opacity, ranging from 1.0 (KA), representing complete opacity, to 0.0 (0), representing completely transparency.

When more than one color buffer is enabled for drawing, blending is done separately for each enabled buffer, using for destination color the contents of that buffer. (See "glDrawBuffer" .)

Blending affects only RGB rendering. It is ignored by color index renderers.

ERRORS

GL_INVALID_ENUM is generated if either sfactor or dfactor is not an accepted value.

GL_INVALID_OPERATION is generated if glBlendFunc is called between a call to glBegin and the corresponding call to glEnd.

ASSOCIATED GETS

glGet with argument GL_BLEND_SRC
glGet with argument GL_BLEND_DST
glIsEnabled with argument GL_BLEND

glCallList

NAME

glCallList - execute a display list

C SPECIFICATION

void glCallList( GLuint list )

PARAMETERS

list 

Specifies the integer name of the display list to be executed.

DESCRIPTION

glCallList causes the named display list to be executed. The commands saved in the display list are executed in order, just as if they were called without using a display list. If list has not been defined as a display list, glCallList is ignored.

glCallList can appear inside a display list. To avoid the possibility of infinite recursion resulting from display lists calling one another, a limit is placed on the nesting level of display lists during display-list execution. This limit is at least 64, and it depends on the implementation.

GL state is not saved and restored across a call to glCallList. Thus, changes made to GL state during the execution of a display list remain after execution of the display list is completed. Use glPushAttrib, glPopAttrib, glPushMatrix, and glPopMatrix to preserve GL state across glCallList calls.

NOTES

Display lists can be executed between a call to glBegin and the corresponding call to glEnd, as long as the display list includes only commands that are allowed in this interval.

ASSOCIATED GETS

glGet with argument GL_MAX_LIST_NESTING
glIsList

glCallLists

NAME

glCallLists - execute a list of display lists

C SPECIFICATION

void glCallLists( GLsizei n, GLenum type, const GLvoid *lists )

PARAMETERS

n 

Specifies the number of display lists to be executed.

type 

Specifies the type of values in lists. Symbolic constants GL_BYTE, GL_UNSIGNED_BYTE, GL_SHORT, GL_UNSIGNED_SHORT, GL_INT, GL_UNSIGNED_INT, GL_FLOAT, GL_2_BYTES, GL_3_BYTES, and GL_4_BYTES are accepted.

lists 

Specifies the address of an array of name offsets in the display list. The pointer type is void because the offsets can be bytes, shorts, ints, or floats, depending on the value of type.

DESCRIPTION

glCallLists causes each display list in the list of names passed as lists to be executed. As a result, the commands saved in each display list are executed in order, just as if they were called without using a display list. Names of display lists that have not been defined are ignored.

glCallLists provides an efficient means for executing display lists. n allows lists with various name formats to be accepted. The formats are as follows:

GL_BYTE 

lists is treated as an array of signed bytes, each in the range -128 through 127.

GL_UNSIGNED_BYTE 


lists is treated as an array of unsigned bytes, each in the range 0 through 255.

GL_SHORT 

lists is treated as an array of signed two-byte integers, each in the range -32768 through 32767.

GL_UNSIGNED_SHORT 


lists is treated as an array of unsigned two-byte integers, each in the range 0 through 65535.

GL_INT 

lists is treated as an array of signed four-byte integers.

GL_UNSIGNED_INT 


lists is treated as an array of unsigned four-byte integers.

GL_FLOAT 

lists is treated as an array of four-byte floating-point values.

GL_2_BYTES 

lists is treated as an array of unsigned bytes. Each pair of bytes specifies a single display-list name. The value of the pair is computed as 256 times the unsigned value of the first byte plus the unsigned value of the second byte.

GL_3_BYTES 

lists is treated as an array of unsigned bytes. Each triplet of bytes specifies a single display-list name. The value of the triplet is computed as 65536 times the unsigned value of the first byte, plus 256 times the unsigned value of the second byte, plus the unsigned value of the third byte.

GL_4_BYTES 

lists is treated as an array of unsigned bytes. Each quadruplet of bytes specifies a single display-list name. The value of the quadruplet is computed as 16777216 times the unsigned value of the first byte, plus 65536 times the unsigned value of the second byte, plus 256 times the unsigned value of the third byte, plus the unsigned value of the fourth byte.

The list of display list names is not null-terminated. Rather, n specifies how many names are to be taken from lists.

An additional level of indirection is made available with the glListBase command, which specifies an unsigned offset that is added to each display-list name specified in lists before that display list is executed.

glCallLists can appear inside a display list. To avoid the possibility of infinite recursion resulting from display lists calling one another, a limit is placed on the nesting level of display lists during display-list execution. This limit must be at least 64, and it depends on the implementation.

GL state is not saved and restored across a call to glCallLists. Thus, changes made to GL state during the execution of the display lists remain after execution is completed. Use glPushAttrib, glPopAttrib, glPushMatrix, and glPopMatrix to preserve GL state across glCallLists calls.

NOTES

Display lists can be executed between a call to glBegin and the corresponding call to glEnd, as long as the display list includes only commands that are allowed in this interval.

ASSOCIATED GETS

glGet with argument GL_LIST_BASE
glGet with argument GL_MAX_LIST_NESTING
glIsList

glClear

NAME

glClear - clear buffers within the viewport

C SPECIFICATION

void glClear( GLbitfield mask )

PARAMETERS

mask 

Bitwise OR of masks that indicate the buffers to be cleared. The four masks are GL_COLOR_BUFFER_BIT, GL_DEPTH_BUFFER_BIT, GL_ACCUM_BUFFER_BIT, and GL_STENCIL_BUFFER_BIT.

DESCRIPTION

glClear sets the bitplane area of the window to values previously selected by glClearColor, glClearIndex, glClearDepth, glClearStencil, and glClearAccum. Multiple color buffers can be cleared simultaneously by selecting more than one buffer at a time using glDrawBuffer.

The pixel ownership test, the scissor test, dithering, and the buffer writemasks affect the operation of glClear. The scissor box bounds the cleared region. Alpha function, blend function, logical operation, stenciling, texture mapping, and z-buffering are ignored by glClear.

glClear takes a single argument that is the bitwise OR of several values indicating which buffer is to be cleared.

The values are as follows:

GL_COLOR_BUFFER_BIT 


Indicates the buffers currently enabled for color writing.

GL_DEPTH_BUFFER_BIT 


Indicates the depth buffer.

GL_ACCUM_BUFFER_BIT 


Indicates the accumulation buffer.

GL_STENCIL_BUFFER_BIT 


Indicates the stencil buffer.

The value to which each buffer is cleared depends on the setting of the clear value for that buffer.

NOTES

If a buffer is not present, then a glClear directed at that buffer has no effect.

ERRORS

GL_INVALID_VALUE is generated if any bit other than the four defined bits is set in mask.

GL_INVALID_OPERATION is generated if glClear is called between a call to glBegin and the corresponding call to glEnd.

ASSOCIATED GETS

glGet with argument GL_ACCUM_CLEAR_VALUE
glGet with argument GL_DEPTH_CLEAR_VALUE
glGet with argument GL_INDEX_CLEAR_VALUE
glGet with argument GL_COLOR_CLEAR_VALUE
glGet with argument GL_STENCIL_CLEAR_VALUE

glClearAccum

NAME

glClearAccum - specify clear values for the accumulation buffer

C SPECIFICATION

void glClearAccum( GLfloat red, GLfloat green, GLfloat blue, GLfloat alpha )

PARAMETERS

red, green, blue, alpha 


Specify the red, green, blue, and alpha values used when the accumulation buffer is cleared. The default values are all zero.

DESCRIPTION

glClearAccum specifies the red, green, blue, and alpha values used by glClear to clear the accumulation buffer.

Values specified by glClearAccum are clamped to the range [-1,1].

ERRORS

GL_INVALID_OPERATION is generated if glClearAccum is called between a call to glBegin and the corresponding call to glEnd.

ASSOCIATED GETS

glGet with argument GL_ACCUM_CLEAR_VALUE

SEE ALSO

"glClear"

glClearColor

NAME

glClearColor - specify clear values for the color buffers

C SPECIFICATION

void glClearColor( GLclampf red, GLclampf green, GLclampf blue, GLclampf alpha )

PARAMETERS

red, green, blue, alpha 


Specify the red, green, blue, and alpha values used when the color buffers are cleared. The default values are all zero.

DESCRIPTION

glClearColor specifies the red, green, blue, and alpha values used by glClear to clear the color buffers. Values specified by glClearColor are clamped to the range [0,1].

ERRORS

GL_INVALID_OPERATION is generated if glClearColor is called between a call to glBegin and the corresponding call to glEnd.

ASSOCIATED GETS

glGet with argument GL_COLOR_CLEAR_VALUE

SEE ALSO

"glClear"

glClearDepth

NAME

glClearDepth - specify the clear value for the depth buffer

C SPECIFICATION

void glClearDepth( GLclampd depth )

PARAMETERS

depth 

Specifies the depth value used when the depth buffer is cleared.

DESCRIPTION

glClearDepth specifies the depth value used by glClear to clear the depth buffer. Values specified by glClearDepth are clamped to the range [0,1].

ERRORS

GL_INVALID_OPERATION is generated if glClearDepth is called between a call to glBegin and the corresponding call to glEnd.

ASSOCIATED GETS

glGet with argument GL_DEPTH_CLEAR_VALUE

SEE ALSO

"glClear"

glClearIndex

NAME

glClearIndex - specify the clear value for the color index buffers

C SPECIFICATION

void glClearIndex( GLfloat c )

PARAMETERS

c 

Specifies the index used when the color index buffers are cleared. The default value is zero.

DESCRIPTION

glClearIndex specifies the index used by glClear to clear the color index buffers. c is not clamped. Rather, c is converted to a fixed-point value with unspecified precision to the right of the binary point. The integer part of this value is then masked with 2m -1, where m is the number of bits in a color index stored in the frame buffer.

ERRORS

GL_INVALID_OPERATION is generated if glClearIndex is called between a call to glBegin and the corresponding call to glEnd.

ASSOCIATED GETS

glGet with argument GL_INDEX_CLEAR_VALUE
glGet with argument GL_INDEX_BITS

SEE ALSO

"glClear"

glClearStencil

NAME

glClearStencil - specify the clear value for the stencil buffer

C SPECIFICATION

void glClearStencil( GLint s )

PARAMETERS

s 

Specifies the index used when the stencil buffer is cleared. The default value is zero.

DESCRIPTION

glClearStencil specifies the index used by glClear to clear the stencil buffer. s is masked with 2m - 1, where m is the number of bits in the stencil buffer.

ERRORS

GL_INVALID_OPERATION is generated if glClearStencil is called between a call to glBegin and the corresponding call to glEnd.

ASSOCIATED GETS

glGet with argument GL_STENCIL_CLEAR_VALUE
glGet with argument GL_STENCIL_BITS

SEE ALSO

"glClear"

glClipPlane

NAME

glClipPlane - specify a plane against which all geometry is clipped

C SPECIFICATION

void glClipPlane( GLenum plane, const GLdouble *equation )

PARAMETERS

plane 

Specifies which clipping plane is being positioned. Symbolic names of the form GL_CLIP_PLANEi, where i is an integer between 0 and GL_MAX_CLIP_PLANES -1, are accepted.

equation 

Specifies the address of an array of four double-precision floating-point values. These values are interpreted as a plane equation.

DESCRIPTION

Geometry is always clipped against the boundaries of a six-plane frustum in x, y, and z. glClipPlane allows the specification of additional planes, not necessarily perpendicular to the x, y, or z axis, against which all geometry is clipped. Up to GL_MAX_CLIP_PLANES planes can be specified, where GL_MAX_CLIP_PLANES is at least six in all implementations. Because the resulting clipping region is the intersection of the defined half-spaces, it is always convex.

glClipPlane specifies a half-space using a four-component plane equation. When glClipPlane is called, equation is transformed by the inverse of the modelview matrix and stored in the resulting eye coordinates. Subsequent changes to the modelview matrix have no effect on the stored plane-equation components. If the dot product of the eye coordinates of a vertex with the stored plane equation components is positive or zero, the vertex is in with respect to that clipping plane. Otherwise, it is out.

Clipping planes are enabled and disabled with glEnable and glDisable, and called with the argument GL_CLIP_PLANEi, where i is the plane number.

By default, all clipping planes are defined as (0,0,0,0) in eye coordinates and are disabled.

NOTES

It is always the case that GL_CLIP_PLANEi = GL_CLIP_PLANE0 + i.

ERRORS

GL_INVALID_ENUM is generated if plane is not an accepted value.

GL_INVALID_OPERATION is generated if glClipPlane is called between a call to glBegin and the corresponding call to glEnd.

ASSOCIATED GETS

glGetClipPlane
glIsEnabled with argument GL_CLIP_PLANEi

SEE ALSO

"glEnable"

glColor

NAME

glColor3b, glColor3d, glColor3f, glColor3i, glColor3s, glColor3ub, glColor3ui, glColor3us, glColor4b, glColor4d, glColor4f, glColor4i, glColor4s, glColor4ub, glColor4ui, glColor4us, glColor3bv, glColor3dv, glColor3fv, glColor3iv, glColor3sv, glColor3ubv, glColor3uiv, glColor3usv, glColor4bv, glColor4dv, glColor4fv, glColor4iv, glColor4sv, glColor4ubv, glColor4uiv, glColor4usv - set the current color

C SPECIFICATION

void glColor3b( GLbyte red, GLbyte green, GLbyte blue )
void glColor3d( GLdouble red, GLdouble green, GLdouble blue )
void glColor3f( GLfloat red, GLfloat green, GLfloat blue )
void glColor3i( GLint red, GLint green, GLint blue )
void glColor3s( GLshort red, GLshort green, GLshort blue )
void glColor3ub( GLubyte red, GLubyte green, GLubyte blue )
void glColor3ui( GLuint red, GLuint green, GLuint blue )
void glColor3us( GLushort red, GLushort green, GLushort blue )
void glColor4b( GLbyte red, GLbyte green, GLbyte blue, GLbyte alpha )
void glColor4d( GLdouble red, GLdouble green, GLdouble blue, GLdouble alpha )
void glColor4f( GLfloat red, GLfloat green, GLfloat blue, GLfloat alpha )
void glColor4i( GLint red, GLint green, GLint blue, GLint alpha )
void glColor4s( GLshort red, GLshort green, GLshort blue, GLshort alpha )
void glColor4ub( GLubyte red, GLubyte green, GLubyte blue, GLubyte alpha )
void glColor4ui( GLuint red, GLuint green, GLuint blue, GLuint alpha )
void glColor4us( GLushort red, GLushort green, GLushort blue, GLushort alpha )

PARAMETERS

red, green, blue 

Specify new red, green, and blue values for the current color.

alpha 

Specifies a new alpha value for the current color. Included only in the four-argument glColor4 command.

C SPECIFICATION

void glColor3bv( const GLbyte *v )
void glColor3dv( const GLdouble *v )
void glColor3fv( const GLfloat *v )
void glColor3iv( const GLint *v )
void glColor3sv( const GLshort *v )
void glColor3ubv( const GLubyte *v )
void glColor3uiv( const GLuint *v )
void glColor3usv( const GLushort *v )
void glColor4bv( const GLbyte *v )
void glColor4dv( const GLdouble *v )
void glColor4fv( const GLfloat *v )
void glColor4iv( const GLint *v )
void glColor4sv( const GLshort *v )
void glColor4ubv( const GLubyte *v )
void glColor4uiv( const GLuint *v )
void glColor4usv( const GLushort *v )

PARAMETERS

v 

Specifies a pointer to an array that contains red, green, blue, and (sometimes) alpha values.

DESCRIPTION

The GL stores both a current single-valued color index and a current four-valued RGBA color. glColor sets a new four-valued RGBA color. glColor has two major variants: glColor3 and glColor4. glColor3 variants specify new red, green, and blue values explicitly, and set the current alpha value to 1.0 implicitly. glColor4 variants specify all four color components explicitly.

glColor3b, glColor4b, glColor3s, glColor4s, glColor3i, and glColor4i take three or four unsigned byte, short, or long integers as arguments. When v is appended to the name, the color commands can take a pointer to an array of such values.

Current color values are stored in floating-point format, with unspecified mantissa and exponent sizes. Unsigned integer color components, when specified, are linearly mapped to floating-point values such that the largest representable value maps to 1.0 (full intensity), and zero maps to 0.0 (zero intensity). Signed integer color components, when specified, are linearly mapped to floating-point values such that the most positive representable value maps to 1.0, and the most negative representable value maps to -1.0. Floating-point values are mapped directly.

Neither floating-point nor signed integer values are clamped to the range [0,1] before updating the current color. However, color components are clamped to this range before they are interpolated or written into a color buffer.

NOTES

The current color can be updated at any time. In particular, glColor can be called between a call to glBegin and the corresponding call to glEnd.

ASSOCIATED GETS

glGet with argument GL_CURRENT_COLOR
glGet with argument GL_RGBA_MODE

SEE ALSO

"glIndex"

glColorMask

NAME

glColorMask - enable and disable writing of frame buffer color components

C SPECIFICATION

void glColorMask( GLboolean red, GLboolean green, GLboolean blue, GLboolean alpha )

PARAMETERS

red, green, blue, alpha 


Specify whether red, green, blue, and alpha can or cannot be written into the frame buffer. The default values are all GL_TRUE, indicating that the color components can be written.

DESCRIPTION

glColorMask specifies whether the individual color components in the frame buffer can or cannot be written. If red is GL_FALSE, for example, no change is made to the red component of any pixel in any of the color buffers, regardless of the drawing operation attempted.

Changes to individual bits of components cannot be controlled. Rather, changes are either enabled or disabled for entire color components.

ERRORS

GL_INVALID_OPERATION is generated if glColorMask is called between a call to glBegin and the corresponding call to glEnd.

ASSOCIATED GETS

glGet with argument GL_COLOR_WRITEMASK
glGet with argument GL_RGBA_MODE

glColorMaterial

NAME

glColorMaterial - cause a material color to track the current color

C SPECIFICATION

void glColorMaterial( GLenum face, GLenum mode )

PARAMETERS

face 

Specifies whether front, back, or both front and back material parameters should track the current color. Accepted values are GL_FRONT, GL_BACK, and GL_FRONT_AND_BACK. The default value is GL_FRONT_AND_BACK.

mode 

Specifies which of several material parameters track the current color. Accepted values are GL_EMISSION, GL_AMBIENT, GL_DIFFUSE, GL_SPECULAR, and GL_AMBIENT_AND_DIFFUSE. The default value is GL_AMBIENT_AND_DIFFUSE.

DESCRIPTION

glColorMaterial specifies which material parameters track the current color. When GL_COLOR_MATERIAL is enabled, the material parameter or parameters specified by mode, of the material or materials specified by face, track the current color at all times. GL_COLOR_MATERIAL is enabled and disabled using the commands glEnable and glDisable, called with GL_COLOR_MATERIAL as their argument. By default, it is disabled.

NOTES

glColorMaterial allows a subset of material parameters to be changed for each vertex using only the glColor command, without calling glMaterial. If only such a subset of parameters is to be specified for each vertex, glColorMaterial is preferred over calling glMaterial.

ERRORS

GL_INVALID_ENUM is generated if face or mode is not an accepted value.

GL_INVALID_OPERATION is generated if glColorMaterial is called between a call to glBegin and the corresponding call to glEnd.

ASSOCIATED GETS

glIsEnabled with argument GL_COLOR_MATERIAL
glGet with argument GL_COLOR_MATERIAL_PARAMETER
glGet with argument GL_COLOR_MATERIAL_FACE

glCopyPixels

NAME

glCopyPixels - copy pixels in the frame buffer

C SPECIFICATION

void glCopyPixels( GLint x, GLint y, GLsizei width, GLsizei height, GLenum type )

PARAMETERS

x, y 

Specify the window coordinates of the lower left corner of the rectangular region of pixels to be copied.

width, height 

Specify the dimensions of the rectangular region of pixels to be copied. Both must be nonnegative.

type 

Specifies whether color values, depth values, or stencil values are to be copied. Symbolic constants GL_COLOR, GL_DEPTH, and GL_STENCIL are accepted.

DESCRIPTION

glCopyPixels copies a screen-aligned rectangle of pixels from the specified frame buffer location to a region relative to the current raster position. Its operation is well defined only if the entire pixel source region is within the exposed portion of the window. Results of copies from outside the window, or from regions of the window that are not exposed, are hardware dependent and undefined.

x and y specify the window coordinates of the lower left corner of the rectangular region to be copied. width and height specify the dimensions of the rectangular region to be copied. Both width and height must not be negative.

Several parameters control the processing of the pixel data while it is being copied. These parameters are set with three commands: glPixelTransfer, glPixelMap, and glPixelZoom. This reference page describes the effects on glCopyPixels of most, but not all, of the parameters specified by these three commands.

glCopyPixels copies values from each pixel with the lower left-hand corner at (x + i, y + j) for 0≤i<width and 0≤j<height. This pixel is said to be the ith pixel in the jth row. Pixels are copied in row order from the lowest to the highest row, left to right in each row.

type specifies whether color, depth, or stencil data is to be copied. The details of the transfer for each data type are as follows:

GL_COLOR 

Indices or RGBA colors are read from the buffer currently specified as the read source buffer (see "glReadBuffer" .) If the GL is in color index mode, each index that is read from this buffer is converted to a fixed-point format with an unspecified number of bits to the right of the binary point. Each index is then shifted left by GL_INDEX_SHIFT bits, and added to GL_INDEX_OFFSET. If GL_INDEX_SHIFT is negative, the shift is to the right. In either case, zero bits fill otherwise unspecified bit locations in the result. If GL_MAP_COLOR is true, the index is replaced with the value that it references in lookup table GL_PIXEL_MAP_I_TO_I. Whether the lookup replacement of the index is done or not, the integer part of the index is then ANDed with 2b -1, where b is the number of bits in a color index buffer.

 

If the GL is in RGBA mode, the red, green, blue, and alpha components of each pixel that is read are converted to an internal floating-point format with unspecified precision. The conversion maps the largest representable component value to 1.0, and component value zero to 0.0. The resulting floating-point color values are then multiplied by GL_c_SCALE and added to GL_c_BIAS, where c is RED, GREEN, BLUE, and ALPHA for the respective color components. The results are clamped to the range [0,1]. If GL_MAP_COLOR is true, each color component is scaled by the size of lookup table GL_PIXEL_MAP_c_TO_c, then replaced by the value that it references in that table. c is R, G, B, or A, respectively.

 

The resulting indices or RGBA colors are then converted to fragments by attaching the current raster position z coordinate and texture coordinates to each pixel, then assigning window coordinates (xr + i , yr + j), where (xr , yr) is the current raster position, and the pixel was the ith pixel in the jth row. These pixel fragments are then treated just like the fragments generated by rasterizing points, lines, or polygons. Texture mapping, fog, and all the fragment operations are applied before the fragments are written to the frame buffer.

GL_DEPTH 

Depth values are read from the depth buffer and converted directly to an internal floating-point format with unspecified precision. The resulting floating-point depth value is then multiplied by GL_DEPTH_SCALE and added to GL_DEPTH_BIAS. The result is clamped to the range [0,1].

 

The resulting depth components are then converted to fragments by attaching the current raster position color or color index and texture coordinates to each pixel, then assigning window coordinates (xr + i , yr + j), where (xr , yr) is the current raster position, and the pixel was the ith pixel in the jth row. These pixel fragments are then treated just like the fragments generated by rasterizing points, lines, or polygons. Texture mapping, fog, and all the fragment operations are applied before the fragments are written to the frame buffer.

GL_STENCIL 

Stencil indices are read from the stencil buffer and converted to an internal fixed-point format with an unspecified number of bits to the right of the binary point. Each fixed-point index is then shifted left by GL_INDEX_SHIFT bits, and added to GL_INDEX_OFFSET. If GL_INDEX_SHIFT is negative, the shift is to the right. In either case, zero bits fill otherwise unspecified bit locations in the result. If GL_MAP_STENCIL is true, the index is replaced with the value that it references in lookup table GL_PIXEL_MAP_S_TO_S. Whether the lookup replacement of the index is done or not, the integer part of the index is then ANDed with 2b -1, where b is the number of bits in the stencil buffer. The resulting stencil indices are then written to the stencil buffer such that the index read from the ith location of the jth row is written to location (xr + i , yr + j), where (xr , yr) is the current raster position. Only the pixel ownership test, the scissor test, and the stencil writemask affect these writes.

The rasterization described thus far assumes pixel zoom factors of 1.0. If glPixelZoom is used to change the x and y pixel zoom factors, pixels are converted to fragments as follows. If (xr, yr) is the current raster position, and a given pixel is in the ith location in the jth row of the source pixel rectangle, then fragments are generated for pixels whose centers are in the rectangle with corners at

(xr + zoomx i, yr + zoomy j)

and

(xr + zoomx (i + 1), yr + zoomy ( j + 1 ))

where zoomx is the value of GL_ZOOM_X and zoomy is the value of GL_ZOOM_Y.

EXAMPLES

To copy the color pixel in the lower left corner of the window to the current raster position, use

glCopyPixels(0, 0, 1, 1, GL_COLOR);

NOTES

Modes specified by glPixelStore have no effect on the operation of glCopyPixels.

ERRORS

GL_INVALID_ENUM is generated if type is not an accepted value.

GL_INVALID_VALUE is generated if either width or height is negative.

GL_INVALID_OPERATION is generated if type is GL_DEPTH and there is no depth buffer.

GL_INVALID_OPERATION is generated if type is GL_STENCIL and there is no stencil buffer.

GL_INVALID_OPERATION is generated if glCopyPixels is called between a call to glBegin and the corresponding call to glEnd.

ASSOCIATED GETS

glGet with argument GL_CURRENT_RASTER_POSITION
glGet with argument GL_CURRENT_RASTER_POSITION_VALID

glCullFace

NAME

glCullFace - specify whether front- or back-facing facets can be culled

C SPECIFICATION

void glCullFace( GLenum mode )

PARAMETERS

mode 

Specifies whether front- or back-facing facets are candidates for culling. Symbolic constants GL_FRONT and GL_BACK are accepted. The default value is GL_BACK.

DESCRIPTION

glCullFace specifies whether front- or back-facing facets are culled (as specified by mode) when facet culling is enabled. Facet culling is enabled and disabled using the glEnable and glDisable commands with the argument GL_CULL_FACE. Facets include triangles, quadrilaterals, polygons, and rectangles.

glFrontFace specifies which of the clockwise and counterclockwise facets are front-facing and back-facing. See "glFrontFace" .

ERRORS

GL_INVALID_ENUM is generated if mode is not an accepted value.

GL_INVALID_OPERATION is generated if glCullFace is called between a call to glBegin and the corresponding call to glEnd.

ASSOCIATED GETS

glIsEnabled with argument GL_CULL_FACE
glGet with argument GL_CULL_FACE_MODE

glDeleteLists

NAME

glDeleteLists - delete a contiguous group of display lists

C SPECIFICATION

void glDeleteLists( GLuint list, GLsizei range )

PARAMETERS

list 

Specifies the integer name of the first display list to delete.

range 

Specifies the number of display lists to delete.

DESCRIPTION

glDeleteLists causes a contiguous group of display lists to be deleted. list is the name of the first display list to be deleted, and range is the number of display lists to delete. All display lists d with list dlist + range - 1 are deleted.

All storage locations allocated to the specified display lists are freed, and the names are available for reuse at a later time. Names within the range that do not have an associated display list are ignored. If range is zero, nothing happens.

ERRORS

GL_INVALID_VALUE is generated if range is negative.

GL_INVALID_OPERATION is generated if glDeleteLists is called between a call to glBegin and the corresponding call to glEnd.

glDepthFunc

NAME

glDepthFunc - specify the value used for depth buffer comparisons

C SPECIFICATION

void glDepthFunc( GLenum func )

PARAMETERS

func 

Specifies the depth comparison function. Symbolic constants GL_NEVER, GL_LESS, GL_EQUAL, GL_LEQUAL, GL_GREATER, GL_NOTEQUAL, GL_GEQUAL, and GL_ALWAYS are accepted. The default value is GL_LESS.

DESCRIPTION

glDepthFunc specifies the function used to compare each incoming pixel z value with the z value present in the depth buffer. The comparison is performed only if depth testing is enabled. (See "glEnable" and glDisable of GL_DEPTH_TEST.)

func specifies the conditions under which the pixel will be drawn. The comparison functions are as follows:

GL_NEVER 

Never passes.

GL_LESS 

Passes if the incoming z value is less than the stored z value.

GL_EQUAL 

Passes if the incoming z value is equal to the stored z value.

GL_LEQUAL 

Passes if the incoming z value is less than or equal to the stored z value.

GL_GREATER  


Passes if the incoming z value is greater than the stored z value.

GL_NOTEQUAL 


Passes if the incoming z value is not equal to the stored z value.

GL_GEQUAL 

Passes if the incoming z value is greater than or equal to the stored z value.

GL_ALWAYS 

Always passes.

The default value of func is GL_LESS. Initially, depth testing is disabled.

ERRORS

GL_INVALID_ENUM is generated if func is not an accepted value.

GL_INVALID_OPERATION is generated if glDepthFunc is called between a call to glBegin and the corresponding call to glEnd.

ASSOCIATED GETS

glGet with argument GL_DEPTH_FUNC
glIsEnabled with argument GL_DEPTH_TEST

glDepthMask

NAME

glDepthMask - enable or disable writing into the depth buffer

C SPECIFICATION

void glDepthMask( GLboolean flag )

PARAMETERS

flag 

Specifies whether the depth buffer is enabled for writing. If flag is zero, depth buffer writing is disabled. Otherwise, it is enabled. Initially, depth buffer writing is enabled.

DESCRIPTION

glDepthMask specifies whether the depth buffer is enabled for writing. If flag is zero, depth buffer writing is disabled. Otherwise, it is enabled. Initially, depth buffer writing is enabled.

ERRORS

GL_INVALID_OPERATION is generated if glDepthMask is called between a call to glBegin and the corresponding call to glEnd.

ASSOCIATED GETS

glGet with argument GL_DEPTH_WRITEMASK

glDepthRange

NAME

glDepthRange - specify the mapping of z values from normalized device coordinates to window coordinates

C SPECIFICATION

void glDepthRange( GLclampd near, GLclampd far )

PARAMETERS

near 

Specifies the mapping of the near clipping plane to window coordinates. The default value is 0.

far 

Specifies the mapping of the far clipping plane to window coordinates. The default value is 1.

DESCRIPTION

After clipping and division by w, z coordinates range from -1.0 to 1.0, corresponding to the near and far clipping planes. glDepthRange specifies a linear mapping of the normalized z coordinates in this range to window z coordinates. Regardless of the actual depth buffer implementation, window coordinate depth values are treated as though they range from 0.0 through 1.0 (like color components). Thus, the values accepted by glDepthRange are both clamped to this range before they are accepted.

The default mapping of 0,1 maps the near plane to 0 and the far plane to 1. With this mapping, the depth buffer range is fully utilized.

NOTES

It is not necessary that near be less than far. Reverse mappings such as 1,0 are acceptable.

ERRORS

GL_INVALID_OPERATION is generated if glDepthRange is called between a call to glBegin and the corresponding call to glEnd.

ASSOCIATED GETS

glGet with argument GL_DEPTH_RANGE

glDrawBuffer

NAME

glDrawBuffer - specify which color buffers are to be drawn into

C SPECIFICATION

void glDrawBuffer( GLenum mode )

PARAMETERS

mode 

Specifies up to four color buffers to be drawn into. Symbolic constants GL_NONE, GL_FRONT_LEFT, GL_FRONT_RIGHT, GL_BACK_LEFT, GL_BACK_RIGHT, GL_FRONT, GL_BACK, GL_LEFT, GL_RIGHT, GL_FRONT_AND_BACK, and GL_AUXi, where i is between 0 and GL_AUX_BUFFERS -1, are accepted (GL_AUX_BUFFERS is not the upper limit; use glGet to query the number of available aux buffers.) The default value is GL_FRONT for single-buffered contexts, and GL_BACK for double-buffered contexts.

DESCRIPTION

When colors are written to the frame buffer, they are written into the color buffers specified by glDrawBuffer. The specifications are as follows:

GL_NONE 

No color buffers are written.

GL_FRONT_LEFT 


Only the front left color buffer is written.

GL_FRONT_RIGHT 


Only the front right color buffer is written.

GL_BACK_LEFT 


Only the back left color buffer is written.

GL_BACK_RIGHT 


Only the back right color buffer is written.

GL_FRONT 

Only the front left and front right color buffers are written. If there is no front right color buffer, only the front left color buffer is written.

GL_BACK 

Only the back left and back right color buffers are written. If there is no back right color buffer, only the back left color buffer is written.

GL_LEFT 

Only the front left and back left color buffers are written. If there is no back left color buffer, only the front left color buffer is written.

GL_RIGHT 

Only the front right and back right color buffers are written. If there is no back right color buffer, only the front right color buffer is written.

GL_FRONT_AND_BACK 


All the front and back color buffers (front left, front right, back left, back right) are written. If there are no back color buffers, only the front left and front right color buffers are written. If there are no right color buffers, only the front left and back left color buffers are written. If there are no right or back color buffers, only the front left color buffer is written.

GL_AUXi 

Only auxiliary color buffer i is written.

If more than one color buffer is selected for drawing, then blending or logical operations are computed and applied independently for each color buffer and can produce different results in each buffer.

Monoscopic contexts include only left buffers, and stereoscopic contexts include both left and right buffers. Likewise, single-buffered contexts include only front buffers, and double-buffered contexts include both front and back buffers. The context is selected at GL initialization.

NOTES

It is always the case that GL_AUXi = GL_AUX0 + i.

ERRORS

GL_INVALID_ENUM is generated if mode is not an accepted value.

GL_INVALID_OPERATION is generated if none of the buffers indicated by mode exists.

GL_INVALID_OPERATION is generated if glDrawBuffer is called between a call to glBegin and the corresponding call to glEnd.

ASSOCIATED GETS

glGet with argument GL_DRAW_BUFFER
glGet with argument GL_AUX_BUFFERS

SEE ALSO

"glBlendFunc" , "glColorMask" , "glIndexMask" , "glLogicOp" , glReadSource

glDrawPixels

NAME

glDrawPixels - write a block of pixels to the frame buffer

C SPECIFICATION

void glDrawPixels( GLsizei width, GLsizei height, GLenum format, GLenum type, const GLvoid *pixels )

PARAMETERS

width, height 

Specify the dimensions of the pixel rectangle that will be written into the frame buffer.

format 

Specifies the format of the pixel data. Symbolic constants GL_COLOR_INDEX, GL_STENCIL_INDEX, GL_DEPTH_COMPONENT, GL_RGBA, GL_RED, GL_GREEN, GL_BLUE, GL_ALPHA, GL_RGB, GL_LUMINANCE, and GL_LUMINANCE_ALPHA are accepted.

type 

Specifies the data type for pixels. Symbolic constants GL_UNSIGNED_BYTE, GL_BYTE, GL_BITMAP, GL_UNSIGNED_SHORT, GL_SHORT, GL_UNSIGNED_INT, GL_INT, and GL_FLOAT are accepted.

pixels 

Specifies a pointer to the pixel data.

DESCRIPTION

glDrawPixels reads pixel data from memory and writes it into the frame buffer relative to the current raster position. Use glRasterPos to set the current raster position, and use glGet with argument GL_CURRENT_RASTER_POSITION to query the raster position.

Several parameters define the encoding of pixel data in memory and control the processing of the pixel data before it is placed in the frame buffer. These parameters are set with four commands: glPixelStore, glPixelTransfer, glPixelMap, and glPixelZoom. This reference page describes the effects on glDrawPixels of many, but not all, of the parameters specified by these four commands.

Data is read from pixels as a sequence of signed or unsigned bytes, signed or unsigned shorts, signed or unsigned integers, or single-precision floating-point values, depending on type. Each of these bytes, shorts, integers, or floating-point values is interpreted as one color or depth component, or one index, depending on format. Indices are always treated individually. Color components are treated as groups of one, two, three, or four values, again based on format. Both individual indices and groups of components are referred to as pixels. If type is GL_BITMAP, the data must be unsigned bytes, and format must be either GL_COLOR_INDEX or GL_STENCIL_INDEX. Each unsigned byte is treated as eight 1-bit pixels, with bit ordering determined by GL_UNPACK_LSB_FIRST (see "glPixelStore" .)

widthxheight pixels are read from memory, starting at location pixels. By default, these pixels are taken from adjacent memory locations, except that after all width pixels are read, the read pointer is advanced to the next four-byte boundary. The four-byte row alignment is specified by glPixelStore with argument GL_UNPACK_ALIGNMENT, and it can be set to one, two, four, or eight bytes. Other pixel store parameters specify different read pointer advancements, both before the first pixel is read, and after all width pixels are read. Refer to the glPixelStore reference page for details on these options.

The widthxheight pixels that are read from memory are each operated on in the same way, based on the values of several parameters specified by glPixelTransfer and glPixelMap. The details of these operations, as well as the target buffer into which the pixels are drawn, are specific to the format of the pixels, as specified by format. format can assume one of eleven symbolic values:

GL_COLOR_INDEX 


Each pixel is a single value, a color index. It is converted to fixed-point format, with an unspecified number of bits to the right of the binary point, regardless of the memory data type. Floating-point values convert to true fixed-point values. Signed and unsigned integer data is converted with all fraction bits set to zero. Bitmap data convert to either 0.0 or 1.0.

 

Each fixed-point index is then shifted left by GL_INDEX_SHIFT bits and added to GL_INDEX_OFFSET. If GL_INDEX_SHIFT is negative, the shift is to the right. In either case, zero bits fill otherwise unspecified bit locations in the result.

 

If the GL is in RGBA mode, the resulting index is converted to an RGBA pixel using the GL_PIXEL_MAP_I_TO_R, GL_PIXEL_MAP_I_TO_G, GL_PIXEL_MAP_I_TO_B, and GL_PIXEL_MAP_I_TO_A tables. If the GL is in color index mode, and if GL_MAP_COLOR is true, the index is replaced with the value that it references in lookup table GL_PIXEL_MAP_I_TO_I. Whether the lookup replacement of the index is done or not, the integer part of the index is then ANDed with 2b -1, where b is the number of bits in a color index buffer.

 

The resulting indices or RGBA colors are then converted to fragments by attaching the current raster position z coordinate and texture coordinates to each pixel, then assigning x and y window coordinates to the nth fragment such that

 

where (xr , yr) is the current raster position. These pixel fragments are then treated just like the fragments generated by rasterizing points, lines, or polygons. Texture mapping, fog, and all the fragment operations are applied before the fragments are written to the frame buffer.

GL_STENCIL_INDEX 


Each pixel is a single value, a stencil index. It is converted to fixed-point format, with an unspecified number of bits to the right of the binary point, regardless of the memory data type. Floating-point values convert to true fixed-point values. Signed and unsigned integer data is converted with all fraction bits set to zero. Bitmap data convert to either 0.0 or 1.0.

 

Each fixed-point index is then shifted left by GL_INDEX_SHIFT bits, and added to GL_INDEX_OFFSET. If GL_INDEX_SHIFT is negative, the shift is to the right. In either case, zero bits fill otherwise unspecified bit locations in the result. If GL_MAP_STENCIL is true, the index is replaced with the value that it references in lookup table GL_PIXEL_MAP_S_TO_S. Whether the lookup replacement of the index is done or not, the integer part of the index is then ANDed with 2b -1, where b is the number of bits in the stencil buffer. The resulting stencil indices are then written to the stencil buffer such that the nth index is written to location

 

where (xr , yr) is the current raster position. Only the pixel ownership test, the scissor test, and the stencil writemask affect these writes.

GL_DEPTH_COMPONENT 


Each pixel is a single-depth component. Floating-point data is converted directly to an internal floating-point format with unspecified precision. Signed integer data is mapped linearly to the internal floating-point format such that the most positive representable integer value maps to 1.0, and the most negative representable value maps to -1.0. Unsigned integer data is mapped similarly: the largest integer value maps to 1.0, and zero maps to 0.0. The resulting floating-point depth value is then multiplied by GL_DEPTH_SCALE and added to GL_DEPTH_BIAS. The result is clamped to the range [0,1].

 

The resulting depth components are then converted to fragments by attaching the current raster position color or color index and texture coordinates to each pixel, then assigning x and y window coordinates to the nth fragment such that

 

where (xr , yr) is the current raster position. These pixel fragments are then treated just like the fragments generated by rasterizing points, lines, or polygons. Texture mapping, fog, and all the fragment operations are applied before the fragments are written to the frame buffer.

GL_RGBA 

Each pixel is a four-component group: red first, followed by green, followed by blue, followed by alpha. Floating-point values are converted directly to an internal floating-point format with unspecified precision. Signed integer values are mapped linearly to the internal floating-point format such that the most positive representable integer value maps to 1.0, and the most negative representable value maps to -1.0. Unsigned integer data is mapped similarly: the largest integer value maps to 1.0, and zero maps to 0.0. The resulting floating-point color values are then multiplied by GL_c_SCALE and added to GL_c_BIAS, where c is RED, GREEN, BLUE, and ALPHA for the respective color components. The results are clamped to the range [0,1].

 

If GL_MAP_COLOR is true, each color component is scaled by the size of lookup table GL_PIXEL_MAP_c_TO_c, then replaced by the value that it references in that table. c is R, G, B, or A, respectively.

 

The resulting RGBA colors are then converted to fragments by attaching the current raster position z coordinate and texture coordinates to each pixel, then assigning x and y window coordinates to the nth fragment such that

 

where (xr , yr) is the current raster position. These pixel fragments are then treated just like the fragments generated by rasterizing points, lines, or polygons. Texture mapping, fog, and all the fragment operations are applied before the fragments are written to the frame buffer.

GL_RED 

Each pixel is a single red component. This component is converted to the internal floating-point format in the same way as the red component of an RGBA pixel is, then it is converted to an RGBA pixel with green and blue set to 0.0, and alpha set to 1.0. After this conversion, the pixel is treated just as if it had been read as an RGBA pixel.

GL_GREEN 

Each pixel is a single green component. This component is converted to the internal floating-point format in the same way as the green component of an RGBA pixel is, then it is converted to an RGBA pixel with red and blue set to 0.0, and alpha set to 1.0. After this conversion, the pixel is treated just as if it had been read as an RGBA pixel.

GL_BLUE 

Each pixel is a single blue component. This component is converted to the internal floating-point format in the same way as the blue component of an RGBA pixel is, then it is converted to an RGBA pixel with red and green set to 0.0, and alpha set to 1.0. After this conversion, the pixel is treated just as if it had been read as an RGBA pixel.

GL_ALPHA 

Each pixel is a single alpha component. This component is converted to the internal floating-point format in the same way as the alpha component of an RGBA pixel is, then it is converted to an RGBA pixel with red, green, and blue set to 0.0. After this conversion, the pixel is treated just as if it had been read as an RGBA pixel.

GL_RGB 

Each pixel is a three-component group: red first, followed by green, followed by blue. Each component is converted to the internal floating-point format in the same way as the red, green, and blue components of an RGBA pixel are. The color triple is converted to an RGBA pixel with alpha set to 1.0. After this conversion, the pixel is treated just as if it had been read as an RGBA pixel.

GL_LUMINANCE 


Each pixel is a single luminance component. This component is converted to the internal floating-point format in the same way as the red component of an RGBA pixel is, then it is converted to an RGBA pixel with red, green, and blue set to the converted luminance value, and alpha set to 1.0. After this conversion, the pixel is treated just as if it had been read as an RGBA pixel.

GL_LUMINANCE_ALPHA 


Each pixel is a two-component group: luminance first, followed by alpha. The two components are converted to the internal floating-point format in the same way as the red component of an RGBA pixel is, then they are converted to an RGBA pixel with red, green, and blue set to the converted luminance value, and alpha set to the converted alpha value. After this conversion, the pixel is treated just as if it had been read as an RGBA pixel.

The following table summarizes the meaning of the valid constants for the type parameter:

type

corresponding type

GL_UNSIGNED_BYTE

unsigned 8-bit integer

GL_BYTE

signed 8-bit integer

GL_BITMAP

single bits in unsigned 8-bit integers

GL_UNSIGNED_SHORT

unsigned 16-bit integer

GL_SHORT

signed 16-bit integer

GL_UNSIGNED_INT

unsigned 32-bit integer

GL_INT

32-bit integer

GL_FLOAT

single-precision floating-point

The rasterization described thus far assumes pixel zoom factors of 1.0. If glPixelZoom is used to change the x and y pixel zoom factors, pixels are converted to fragments as follows. If (xr, yr) is the current raster position, and a given pixel is in the nth column and mth row of the pixel rectangle, then fragments are generated for pixels whose centers are in the rectangle with corners at

(xr + zoomx n, yr + zoomy m)

(xr + zoomx (n + 1), yr + zoomy ( m + 1 ))

where zoomx is the value of GL_ZOOM_X and zoomy is the value of GL_ZOOM_Y.

ERRORS

GL_INVALID_VALUE is generated if either width or height is negative.

GL_INVALID_ENUM is generated if format or type is not one of the accepted values.

GL_INVALID_OPERATION is generated if format is GL_RED, GL_GREEN, GL_BLUE, GL_ALPHA, GL_RGB, GL_RGBA, GL_LUMINANCE, or GL_LUMINANCE_ALPHA, and the GL is in color index mode.

GL_INVALID_ENUM is generated if type is GL_BITMAP and format is not either GL_COLOR_INDEX or GL_STENCIL_INDEX.

GL_INVALID_OPERATION is generated if format is GL_STENCIL_INDEX and there is no stencil buffer.

GL_INVALID_OPERATION is generated if glDrawPixels is called between a call to glBegin and the corresponding call to glEnd.

ASSOCIATED GETS

glGet with argument GL_CURRENT_RASTER_POSITION
glGet with argument GL_CURRENT_RASTER_POSITION_VALID

glEdgeFlag

NAME

glEdgeFlag, glEdgeFlagv - flag edges as either boundary or nonboundary

C SPECIFICATION

void glEdgeFlag( GLboolean flag )

PARAMETERS

flag 

Specifies the current edge flag value, either true or false.

C SPECIFICATION

void glEdgeFlagv( const GLboolean *flag )

PARAMETERS

flag 

Specifies a pointer to an array that contains a single Boolean element, which replaces the current edge flag value.

DESCRIPTION

Each vertex of a polygon, separate triangle, or separate quadrilateral specified between a glBegin/glEnd pair is marked as the start of either a boundary or nonboundary edge. If the current edge flag is true when the vertex is specified, the vertex is marked as the start of a boundary edge. Otherwise, the vertex is marked as the start of a nonboundary edge. glEdgeFlag sets the edge flag to true if flag is nonzero, false otherwise.

The vertices of connected triangles and connected quadrilaterals are always marked as boundary, regardless of the value of the edge flag.

Boundary and nonboundary edge flags on vertices are significant only if GL_POLYGON_MODE is set to GL_POINT or GL_LINE. See "glPolygonMode" .

Initially, the edge flag bit is true.

NOTES

The current edge flag can be updated at any time. In particular, glEdgeFlag can be called between a call to glBegin and the corresponding call to glEnd.

ASSOCIATED GETS

glGet with argument GL_EDGE_FLAG

glEnable

NAME

glEnable, glDisable - enable or disable GL capabilities

C SPECIFICATION

void glEnable( GLenum cap )

PARAMETERS

cap 

Specifies a symbolic constant indicating a GL capability.

C SPECIFICATION

void glDisable( GLenum cap )

PARAMETERS

cap 

Specifies a symbolic constant indicating a GL capability.

DESCRIPTION

glEnable and glDisable enable and disable various capabilities. Use glIsEnabled or glGet to determine the current setting of any capability.

Both glEnable and glDisable take a single argument, cap, which can assume one of the following values:

GL_ALPHA_TEST 


If enabled, do alpha testing. See "glAlphaFunc" .

GL_AUTO_NORMAL 


If enabled, compute surface normal vectors analytically when either GL_MAP2_VERTEX_3 or GL_MAP2_VERTEX_4 is used to generate vertices. See "glMap2" .

GL_BLEND 

If enabled, blend the incoming RGBA color values with the values in the color buffers. See "glBlendFunc" .

GL_CLIP_PLANEi 


If enabled, clip geometry against user-defined clipping plane i. See "glClipPlane" .

GL_COLOR_MATERIAL 


If enabled, have one or more material parameters track the current color. See "glColorMaterial" .

GL_CULL_FACE 


If enabled, cull polygons based on their winding in window coordinates. See "glCullFace" .

GL_DEPTH_TEST 


If enabled, do depth comparisons and update the depth buffer. See "glDepthFunc" and "glDepthRange" .

GL_DITHER  

If enabled, dither color components or indices before they are written to the color buffer.

GL_FOG 

If enabled, blend a fog color into the posttexturing color. See "glFog" .

GL_LIGHTi 

If enabled, include light i in the evaluation of the lighting equation. See "glLightModel" and "glLight" .

GL_LIGHTING 


If enabled, use the current lighting parameters to compute the vertex color or index. Otherwise, simply associate the current color or index with each vertex. See "glMaterial" , "glLightModel" and "glLight" .

GL_LINE_SMOOTH 


If enabled, draw lines with correct filtering. Otherwise, draw aliased lines. See "glLineWidth" .

GL_LINE_STIPPLE 


If enabled, use the current line stipple pattern when drawing lines. See "glLineStipple" .

GL_LOGIC_OP 


If enabled, apply the currently selected logical operation to the incoming and color buffer indices. See "glLogicOp" .

GL_MAP1_COLOR_4 


If enabled, calls to glEvalCoord1, glEvalMesh1, and glEvalPoint1 will generate RGBA values. See "glMap1" .

GL_MAP1_INDEX 


If enabled, calls to glEvalCoord1, glEvalMesh1, and glEvalPoint1 will generate color indices. See "glMap1" .

GL_MAP1_NORMAL 


If enabled, calls to glEvalCoord1, glEvalMesh1, and glEvalPoint1 will generate normals. See "glMap1" .

GL_MAP1_TEXTURE_COORD_1 


If enabled, calls to glEvalCoord1, glEvalMesh1, and glEvalPoint1 will generate s texture coordinates. See "glMap1" .

GL_MAP1_TEXTURE_COORD_2 


If enabled, calls to glEvalCoord1, glEvalMesh1, and glEvalPoint1 will generate s and t texture coordinates. See "glMap1" .

GL_MAP1_TEXTURE_COORD_3 


If enabled, calls to glEvalCoord1, glEvalMesh1, and glEvalPoint1 will generate s, t, and r texture coordinates. See "glMap1" .

GL_MAP1_TEXTURE_COORD_4 


If enabled, calls to glEvalCoord1, glEvalMesh1, and glEvalPoint1 will generate s, t, r, and q texture coordinates. See "glMap1" .

GL_MAP1_VERTEX_3 


If enabled, calls to glEvalCoord1, glEvalMesh1, and glEvalPoint1 will generate will generate x, y, and z vertex coordinates. See "glMap1" .

GL_MAP1_VERTEX_4 


If enabled, calls to glEvalCoord1, glEvalMesh1, and glEvalPoint1 will generate homogeneous x, y, z, and w vertex coordinates. See "glMap1" .

GL_MAP2_COLOR_4 


If enabled, calls to glEvalCoord2, glEvalMesh2, and glEvalPoint2 will generate RGBA values. See "glMap2" .

GL_MAP2_INDEX 


If enabled, calls to glEvalCoord2, glEvalMesh2, and glEvalPoint2 will generate color indices. See "glMap2" .

GL_MAP2_NORMAL 


If enabled, calls to glEvalCoord2, glEvalMesh2, and glEvalPoint2 will generate normals. See "glMap2" .

GL_MAP2_TEXTURE_COORD_1 


If enabled, calls to glEvalCoord2, glEvalMesh2, and glEvalPoint2 will generate s texture coordinates. See "glMap2" .

GL_MAP2_TEXTURE_COORD_2 


If enabled, calls to glEvalCoord2, glEvalMesh2, and glEvalPoint2 will generate s and t texture coordinates. See "glMap2"

GL_MAP2_TEXTURE_COORD_3 


If enabled, calls to glEvalCoord2, glEvalMesh2, and glEvalPoint2 will generate s, t, and r texture coordinates. See "glMap2" .

GL_MAP2_TEXTURE_COORD_4 


If enabled, calls to glEvalCoord2, glEvalMesh2, and glEvalPoint2 will generate s, t, r, and q texture coordinates. See "glMap2" .

GL_MAP2_VERTEX_3 


If enabled, calls to glEvalCoord2, glEvalMesh2, and glEvalPoint2 will generate will generate x, y, and z vertex coordinates. See "glMap2" .

GL_MAP2_VERTEX_4 


If enabled, calls to glEvalCoord2, glEvalMesh2, and glEvalPoint2 will generate homogeneous x, y, z, and w vertex coordinates. See "glMap2" .

GL_NORMALIZE 


If enabled, normal vectors specified with glNormal are scaled to unit length after transformation. See "glNormal" .

GL_POINT_SMOOTH 


If enabled, draw points with proper filtering. Otherwise, draw aliased points. See "glPointSize" .

GL_POLYGON_SMOOTH 


If enabled, draw polygons with proper filtering. Otherwise, draw aliased polygons. See "glPolygonMode" .

GL_POLYGON_STIPPLE 


If enabled, use the current polygon stipple pattern when rendering polygons. See "glPolygonStipple" .

GL_SCISSOR_TEST 


If enabled, discard fragments that are outside the scissor rectangle. See "glScissor" .

GL_STENCIL_TEST 


If enabled, do stencil testing and update the stencil buffer. See "glStencilFunc" and "glStencilOp" .

GL_TEXTURE_1D 


If enabled, one-dimensional texturing is performed (unless two-dimensional texturing is also enabled). See "glTexImage1D" .

GL_TEXTURE_2D 


If enabled, two-dimensional texturing is performed. See "glTexImage2D" .

GL_TEXTURE_GEN_Q 


If enabled, the q texture coordinate is computed using the texture generation function defined with glTexGen. Otherwise, the current q texture coordinate is used. See "glTexGen" .

GL_TEXTURE_GEN_R 


If enabled, the r texture coordinate is computed using the texture generation function defined with glTexGen. Otherwise, the current r texture coordinate is used. See "glTexGen" .

GL_TEXTURE_GEN_S 


If enabled, the s texture coordinate is computed using the texture generation function defined with glTexGen. Otherwise, the current s texture coordinate is used. See "glTexGen" .

GL_TEXTURE_GEN_T 


If enabled, the t texture coordinate is computed using the texture generation function defined with glTexGen. Otherwise, the current t texture coordinate is used. See "glTexGen" .

ERRORS

GL_INVALID_ENUM is generated if cap is not one of the values listed above.

GL_INVALID_OPERATION is generated if glEnable is called between a call to glBegin and the corresponding call to glEnd.

glEvalCoord

NAME

glEvalCoord1d, glEvalCoord1f, glEvalCoord2d, glEvalCoord2f, glEvalCoord1dv, glEvalCoord1fv, glEvalCoord2dv, glEvalCoord2fv - evaluate enabled one- and two-dimensional maps

C SPECIFICATION

void glEvalCoord1d( GLdouble u )
void glEvalCoord1f( GLfloat u )
void glEvalCoord2d( GLdouble u, GLdouble v )
void glEvalCoord2f( GLfloat u, GLfloat v )

PARAMETERS

u 

Specifies a value that is the domain coordinate u to the basis function defined in a previous glMap1 or glMap2 command.

v 

Specifies a value that is the domain coordinate v to the basis function defined in a previous glMap2 command. This argument is not present in an glEvalCoord1 command.

C SPECIFICATION

void glEvalCoord1dv( const GLdouble *u )

void glEvalCoord1fv( const GLfloat *u )

void glEvalCoord2dv( const GLdouble *u )

void glEvalCoord2fv( const GLfloat *u )

PARAMETERS

u 

Specifies a pointer to an array containing either one or two domain coordinates. The first coordinate is u. The second coordinate is v, which is present only in glEvalCoord2 versions.

DESCRIPTION

glEvalCoord1 evaluates enabled one-dimensional maps at argument u. glEvalCoord2 does the same for two-dimensional maps using two domain values, u and v. Maps are defined with glMap1 and glMap2 and enabled and disabled with glEnable and glDisable.

When one of the glEvalCoord commands is issued, all currently enabled maps of the indicated dimension are evaluated. Then, for each enabled map, it is as if the corresponding GL command was issued with the computed value. That is, if GL_MAP1_INDEX or GL_MAP2_INDEX is enabled, a glIndex command is simulated. If GL_MAP1_COLOR_4 or GL_MAP2_COLOR_4 is enabled, a glColor command is simulated. If GL_MAP1_NORMAL or GL_MAP2_NORMAL is enabled, a normal vector is produced, and if any of GL_MAP1_TEXTURE_COORD_1, GL_MAP1_TEXTURE_COORD_2, GL_MAP1_TEXTURE_COORD_3, GL_MAP1_TEXTURE_COORD_4, GL_MAP2_TEXTURE_COORD_1, GL_MAP2_TEXTURE_COORD_2, GL_MAP2_TEXTURE_COORD_3, or GL_MAP2_TEXTURE_COORD_4 is enabled, then an appropriate glTexCoord command is simulated.

The GL uses evaluated values instead of current values for those evaluations that are enabled, and current values otherwise, for color, color index, normal, and texture coordinates. However, the evaluated values do not update the current values. Thus, if glVertex commands are interspersed with glEvalCoord commands, the color, normal, and texture coordinates associated with the glVertex commands are not affected by the values generated by the glEvalCoord commands, but rather only by the most recent glColor, glIndex, glNormal, and glTexCoord commands.

No commands are issued for maps that are not enabled. If more than one texture evaluation is enabled for a particular dimension (for example, GL_MAP2_TEXTURE_COORD_1 and GL_MAP2_TEXTURE_COORD_2), then only the evaluation of the map that produces the larger number of coordinates (in this case, GL_MAP2_TEXTURE_COORD_2) is carried out. GL_MAP1_VERTEX_4 overrides GL_MAP1_VERTEX_3, and GL_MAP2_VERTEX_4 overrides GL_MAP2_VERTEX_3, in the same manner. If neither a three- nor four-component vertex map is enabled for the specified dimension, the glEvalCoord command is ignored.

If automatic normal generation is enabled, by calling glEnable with argument GL_AUTO_NORMAL, glEvalCoord2 generates surface normals analytically, regardless of the contents or enabling of the GL_MAP2_NORMAL map. Let

Then the generated normal n is

If automatic normal generation is disabled, the corresponding normal map GL_MAP2_NORMAL, if enabled, is used to produce a normal. If neither automatic normal generation nor a normal map is enabled, no normal is generated for glEvalCoord2 commands.

ASSOCIATED GETS

glIsEnabled with argument GL_MAP1_VERTEX_3
glIsEnabled
with argument GL_MAP1_VERTEX_4
glIsEnabled
with argument GL_MAP1_INDEX
glIsEnabled
with argument GL_MAP1_COLOR_4
glIsEnabled
with argument GL_MAP1_NORMAL
glIsEnabled
with argument GL_MAP1_TEXTURE_COORD_1
glIsEnabled
with argument GL_MAP1_TEXTURE_COORD_2
glIsEnabled
with argument GL_MAP1_TEXTURE_COORD_3
glIsEnabled
with argument GL_MAP1_TEXTURE_COORD_4
glIsEnabled
with argument GL_MAP2_VERTEX_3
glIsEnabled
with argument GL_MAP2_VERTEX_4
glIsEnabled
with argument GL_MAP2_INDEX
glIsEnabled
with argument GL_MAP2_COLOR_4
glIsEnabled
with argument GL_MAP2_NORMAL
glIsEnabled
with argument GL_MAP2_TEXTURE_COORD_1
glIsEnabled
with argument GL_MAP2_TEXTURE_COORD_2
glIsEnabled
with argument GL_MAP2_TEXTURE_COORD_3
glIsEnabled
with argument GL_MAP2_TEXTURE_COORD_4
glIsEnabled
with argument GL_AUTO_NORMAL
glGetMap

glEvalMesh

NAME

glEvalMesh1, glEvalMesh2 - compute a one- or two-dimensional grid of points or lines

C SPECIFICATION

void glEvalMesh1( GLenum mode, GLint i1, GLint i2 )

PARAMETERS

mode 

In glEvalMesh1, specifies whether to compute a one-dimensional mesh of points or lines. Symbolic constants GL_POINT and GL_LINE are accepted.

i1, i2 

Specify the first and last integer values for grid domain variable i.

C SPECIFICATION

void glEvalMesh2( GLenum mode, GLint i1, Lint i2, GLint j1, GLint j2 )

PARAMETERS

mode 

In glEvalMesh2, specifies whether to compute a two-dimensional mesh of points, lines, or polygons. Symbolic constants GL_POINT, GL_LINE, and GL_FILL are accepted.

i1, i2 

Specify the first and last integer values for grid domain variable i.

j1, j2 

Specify the first and last integer values for grid domain variable j.

DESCRIPTION

glMapGrid and glEvalMesh are used in tandem to efficiently generate and evaluate a series of evenly spaced map domain values. glEvalMesh steps through the integer domain of a one- or two-dimensional grid, whose range is the domain of the evaluation maps specified by glMap1 and glMap2. mode determines whether the resulting vertices are connected as points, lines, or filled polygons.

In the one-dimensional case, glEvalMesh1, the mesh is generated as if the following code fragment were executed:

glBegin(type);
for (i = i1; i  <= i2; i += 1) 
  glEvalCoord1(i ·Δu  +  u1)
glEnd();

where

Δu = (u2 - u1 ) / n

and n, u1, and u2 are the arguments to the most recent glMapGrid1 command. type is GL_POINTS if mode is GL_POINT, or GL_LINES if mode is GL_LINE. The one absolute numeric requirement is that if i = n, then the value computed from i ·Δu + u1 is exactly u2.

In the two-dimensional case, glEvalMesh2, let

Δu = (u2 - u1 )/n

Δv = (v2 - v1 )/m,

where n, u1, u2, m, v1, and v2 are the arguments to the most recent glMapGrid2 command. Then, if mode is GL_FILL, the glEvalMesh2 command is equivalent to:

for (j = j1;  j  < j2; j += 1) {
    glBegin(GL_QUAD_STRIP);
    for (i = i1; i  <= i2; i += 1) {
        glEvalCoord2(i ·Δu  +  u1, j ·Δv  +  v1);
        glEvalCoord2(i ·Δu  +  u1, (j+1) ·Δv  +  v1);
    }
    glEnd();
}

If mode is GL_LINE, then a call to glEvalMesh2 is equivalent to:

for (j = j1;  j  <= j2; j += 1) {
    glBegin(GL_LINE_STRIP);
    for (i = i1; i  <= i2; i += 1)
        glEvalCoord2(i ·Δu  +  u1, j ·Δv  +  v1);
    glEnd();
}
for (i = i1;  i  <= i2; i += 1) {
    glBegin(GL_LINE_STRIP);
    for (j = j1; j  <= j1; j += 1)
        glEvalCoord2(i ·Δu  +  u1, j ·Δv  +  v1);
    glEnd();
}

And finally, if mode is GL_POINT, then a call to glEvalMesh2 is equivalent to:

glBegin(GL_POINTS);
for (j = j1;  j  <= j2; j += 1) {
    for (i = i1; i  <= i2; i += 1) {
        glEvalCoord2(i ·Δu  +  u1, j ·Δv  +  v1);
    }
}
glEnd();

In all three cases, the only absolute numeric requirements are that if i = n, then the value computed from i ·Δu + u1 is exactly u2, and if j = m, then the value computed from j ·Δv + v1 is exactly v2.

ERRORS

GL_INVALID_ENUM is generated if mode is not an accepted value.

GL_INVALID_OPERATION is generated if glEvalMesh is called between a call to glBegin and the corresponding call to glEnd.

ASSOCIATED GETS

glGet with argument GL_MAP1_GRID_DOMAIN
glGet with argument GL_MAP2_GRID_DOMAIN
glGet with argument GL_MAP1_GRID_SEGMENTS
glGet with argument GL_MAP2_GRID_SEGMENTS

glEvalPoint

NAME

glEvalPoint1, glEvalPoint2 - generate and evaluate a single point in a mesh

C SPECIFICATION

void glEvalPoint1( GLint i )
void glEvalPoint2( GLint i, GLint j )

PARAMETERS

i 

Specifies the integer value for grid domain variable i.

j 

Specifies the integer value for grid domain variable j (glEvalPoint2 only).

DESCRIPTION

glMapGrid and glEvalMesh are used in tandem to efficiently generate and evaluate a series of evenly spaced map domain values. glEvalPoint can be used to evaluate a single grid point in the same gridspace that is traversed by glEvalMesh. Calling glEvalPoint1 is equivalent to calling

glEvalCoord1(i ·Δu  +  u1);

where

Δu = (u2 - u1 ) / n

and n, u1, and u2 are the arguments to the most recent glMapGrid1 command. The one absolute numeric requirement is that if i = n, then the value computed from i ·Δu + u1 is exactly u2.

In the two-dimensional case, glEvalPoint2, let

Δu = (u2 - u1 )/n

Δv = (v2 - v1 )/m

where n, u1, u2, m, v1, and v2 are the arguments to the most recent glMapGrid2 command. Then the glEvalPoint2 command is equivalent to calling

glEvalCoord2(i ·Δu  +  u1, j ·Δv  +  v1);

The only absolute numeric requirements are that if i = n, then the value computed from i ·Δu + u1 is exactly u2, and if j = m, then the value computed from j ·Δv + v1 is exactly v2.

ASSOCIATED GETS

glGet with argument GL_MAP1_GRID_DOMAIN
glGet with argument GL_MAP2_GRID_DOMAIN
glGet with argument GL_MAP1_GRID_SEGMENTS
glGet with argument GL_MAP2_GRID_SEGMENTS

glFeedbackBuffer

NAME

glFeedbackBuffer - controls feedback mode

C SPECIFICATION

void glFeedbackBuffer( GLsizei size, GLenum type, GLfloat *buffer )

PARAMETERS

size 

Specifies the maximum number of values that can be written into buffer.

type  

Specifies a symbolic constant that describes the information that will be returned for each vertex. GL_2D, GL_3D, GL_3D_COLOR, GL_3D_COLOR_TEXTURE, and GL_4D_COLOR_TEXTURE are accepted.

buffer 

Returns the feedback data.

DESCRIPTION

The glFeedbackBuffer function controls feedback. Feedback, like selection, is a GL mode. The mode is selected by calling glRenderMode with GL_FEEDBACK. When the GL is in feedback mode, no pixels are produced by rasterization. Instead, information about primitives that would have been rasterized is fed back to the application using the GL.

glFeedbackBuffer has three arguments: buffer is a pointer to an array of floating-point values into which feedback information is placed. size indicates the size of the array. type is a symbolic constant describing the information that is fed back for each vertex. glFeedbackBuffer must be issued before feedback mode is enabled (by calling glRenderMode with argument GL_FEEDBACK). Setting GL_FEEDBACK without establishing the feedback buffer, or calling glFeedbackBuffer while the GL is in feedback mode, is an error.

The GL is taken out of feedback mode by calling glRenderMode with a parameter value other than GL_FEEDBACK. When this is done while the GL is in feedback mode, glRenderMode returns the number of entries placed in the feedback array. The returned value never exceeds size. If the feedback data required more room than was available in buffer, glRenderMode returns a negative value.

While in feedback mode, each primitive that would be rasterized generates a block of values that get copied into the feedback array. If doing so would cause the number of entries to exceed the maximum, the block is partially written so as to fill the array (if there is any room left at all), and an overflow flag is set. Each block begins with a code indicating the primitive type, followed by values that describe the primitive's vertices and associated data. Entries are also written for bitmaps and pixel rectangles. Feedback occurs after polygon culling and glPolyMode interpretation of polygons has taken place, so polygons that are culled are not returned in the feedback buffer. It can also occur after polygons with more than three edges are broken up into triangles, if the GL implementation renders polygons by performing this decomposition.

The glPassThrough command can be used to insert a marker into the feedback buffer. See "glPassThrough" .

Following is the grammar for the blocks of values written into the feedback buffer. Each primitive is indicated with a unique identifying value followed by some number of vertices. Polygon entries include an integer value indicating how many vertices follow. A vertex is fed back as some number of floating-point values, as determined by type. Colors are fed back as four values in RGBA mode and one value in color index mode.

feedbackList <-- feedbackItem feedbackList | feedbackItem
feedbackItem <-- point | lineSegment | polygon | bitmap | pixelRectangle | passThru
point <-- GL_POINT_TOKEN vertex
lineSegment <-- GL_LINE_TOKEN vertex vertex | GL_LINE_RESET_TOKEN vertex vertex
polygon <-- GL_POLYGON_TOKEN n polySpec
polySpec <-- polySpec vertex | vertex vertex vertex
bitmap <-- GL_BITMAP_TOKEN vertex
pixelRectangle <-- GL_DRAW_PIXEL_TOKEN vertex | GL_COPY_PIXEL_TOKEN vertex
passThru <-- GL_PASS_THROUGH_TOKEN value
vertex <-- 2d | 3d | 3dColor | 3dColorTexture | 4dColorTexture
2d <-- value value
3d <-- value value value
3dColor <-- value value value color
3dColorTexture <-- value value value color tex
4dColorTexture <-- value value value value color tex
color <-- rgba | index
rgba <-- value value value value
index <-- value
tex <-- value value value value

value is a floating-point number, and n is a floating-point integer giving the number of vertices in the polygon. GL_POINT_TOKEN, GL_LINE_TOKEN, GL_LINE_RESET_TOKEN, GL_POLYGON_TOKEN, GL_BITMAP_TOKEN, GL_DRAW_PIXEL_TOKEN, GL_COPY_PIXEL_TOKEN and GL_PASS_THROUGH_TOKEN are symbolic floating-point constants. GL_LINE_RESET_TOKEN is returned whenever the line stipple pattern is reset. The data returned as a vertex depends on the feedback type.

The following table gives the correspondence between type and the number of values per vertex. k is 1 in color index mode and 4 in RGBA mode.

type

coordinates

color

texture

total number of values

 

GL_2D

x, y

 

 

2

 

GL_3D

x, y, z

 

 

3

 

GL_3D_COLO R

x, y, z

 

k

 

 

3 + k

 

GL_3D_COLO R_TEXTURE

x, y, z,

k

4

 

7 + k

 

GL_4D_COLO R_TEXTURE

x, y, z, w

 

k

4

 

8 + k

Feedback vertex coordinates are in window coordinates, except w, which is in clip coordinates. Feedback colors are lighted, if lighting is enabled. Feedback texture coordinates are generated, if texture coordinate generation is enabled. They are always transformed by the texture matrix.

NOTES

glFeedbackBuffer, when used in a display list, is not compiled into the display list but rather is executed immediately.

ERRORS

GL_INVALID_ENUM is generated if type is not an accepted value.

GL_INVALID_VALUE is generated if size is negative.

GL_INVALID_OPERATION is generated if glFeedbackBuffer is called while the render mode is GL_FEEDBACK, or if glRenderMode is called with argument GL_FEEDBACK before glFeedbackBuffer is called at least once.

GL_INVALID_OPERATION is generated if glFeedbackBuffer is called between a call to glBegin and the corresponding call to glEnd.

ASSOCIATED GETS

glGet with argument GL_RENDER_MODE

glFinish

NAME

glFinish - block until all GL execution is complete

C SPECIFICATION

void glFinish( void )

DESCRIPTION

glFinish does not return until the effects of all previously called GL commands are complete. Such effects include all changes to GL state, all changes to connection state, and all changes to the frame buffer contents.

NOTES

glFinish requires a round trip to the server.

ERRORS

GL_INVALID_OPERATION is generated if glFinish is called between a call to glBegin and the corresponding call to glEnd.

glFlush

NAME

glFlush - force execution of GL commands in finite time

C SPECIFICATION

void glFlush( void )

DESCRIPTION

Different GL implementations buffer commands in several different locations, including network buffers and the graphics accelerator itself. glFlush empties all of these buffers, causing all issued commands to be executed as quickly as they are accepted by the actual rendering engine. Though this execution may not be completed in any particular time period, it does complete in finite time.

Because any GL program might be executed over a network, or on an accelerator that buffers commands, all programs should call glFlush whenever they count on having all of their previously issued commands completed. For example, call glFlush before waiting for user input that depends on the generated image.

NOTES

glFlush can return at any time. It does not wait until the execution of all previously issued OpenGL commands is complete.

ERRORS

GL_INVALID_OPERATION is generated if glFlush is called between a call to glBegin and the corresponding call to glEnd.

SEE ALSO

"glFinish"

glFog

NAME

glFogf, glFogi, glFogfv, glFogiv - specify fog parameters

C SPECIFICATION

void glFogf( GLenum pname, GLfloat param )

void glFogi( GLenum pname, GLint param )

PARAMETERS

pname 

Specifies a single-valued fog parameter. GL_FOG_MODE, GL_FOG_DENSITY, GL_FOG_START, GL_FOG_END, and GL_FOG_INDEX are accepted.

param 

Specifies the value that pname will be set to.

C SPECIFICATION

void glFogfv( GLenum pname, const GLfloat *params )

void glFogiv( GLenum pname, const GLint *params )

PARAMETERS

pname 

Specifies a fog parameter. GL_FOG_MODE, GL_FOG_DENSITY, GL_FOG_START, GL_FOG_END, GL_FOG_INDEX, and GL_FOG_COLOR are accepted.

params 

Specifies the value or values to be assigned to pname. GL_FOG_COLOR requires an array of four values. All other parameters accept an array containing only a single value.

DESCRIPTION

Fog is enabled and disabled with glEnable and glDisable using the argument GL_FOG. While enabled, fog affects rasterized geometry, bitmaps, and pixel blocks, but not buffer clear operations.

glFog assigns the value or values in params to the fog parameter specified by pname. The accepted values for pname are as follows:

GL_FOG_MODE 


params is a single integer or floating-point value that specifies the equation to be used to compute the fog blend factor, f. Three symbolic constants are accepted: GL_LINEAR, GL_EXP, and GL_EXP2. The equations corresponding to these symbolic constants are defined below. The default fog mode is GL_EXP.

GL_FOG_DENSITY 


params is a single integer or floating-point value that specifies density, the fog density used in both exponential fog equations. Only nonnegative densities are accepted. The default fog density is 1.0.

GL_FOG_START 


params is a single integer or floating-point value that specifies start, the near distance used in the linear fog equation. The default near distance is 0.0.

GL_FOG_END 


params is a single integer or floating-point value that specifies end, the far distance used in the linear fog equation. The default far distance is 1.0.

GL_FOG_INDEX 


params is a single integer or floating-point value that specifies if, the fog color index. The default fog index is 0.0.

GL_FOG_COLOR 


params contains four integer or floating-point values that specify Cf, the fog color. Integer values are mapped linearly such that the most positive representable value maps to 1.0, and the most negative representable value maps to -1.0. Floating-point values are mapped directly. After conversion, all color components are clamped to the range [0,1]. The default fog color is (0,0,0,0).

Fog blends a fog color with each rasterized pixel fragment's posttexturing color using a blending factor f. Factor f is computed in one of three ways, depending on the fog mode. Let z be the distance in eye coordinates from the origin to the fragment being fogged. The equation for GL_LINEAR fog is

The equation for GL_EXP fog is

The equation for GL_EXP2 fog is

Regardless of the fog mode, f is clamped to the range [0,1] after it is computed. Then, if the GL is in RGBA color mode, the fragment's color Cr is replaced by

Cr'=fCr+(1-f)Cf

In color index mode, the fragment's color index ir is replaced by

ir'=ir+(1-f)if

ERRORS

GL_INVALID_ENUM is generated if pname is not an accepted value, or if pname is GL_FOG_MODE and params is not an accepted value.

GL_INVALID_VALUE is generated if pname is GL_FOG_DENSITY and params is negative.

GL_INVALID_OPERATION is generated if glFog is called between a call to glBegin and the corresponding call to glEnd.

ASSOCIATED GETS

glIsEnabled with argument GL_FOG
glGet with argument GL_FOG_COLOR
glGet with argument GL_FOG_INDEX
glGet with argument GL_FOG_DENSITY
glGet with argument GL_FOG_START
glGet with argument GL_FOG_END
glGet with argument GL_FOG_MODE

SEE ALSO

"glEnable"

glFrontFace

NAME

glFrontFace - define front- and back-facing polygons

C SPECIFICATION

void glFrontFace( GLenum mode )

PARAMETERS

mode 

Specifies the orientation of front-facing polygons. GL_CW and GL_CCW are accepted. The default value is GL_CCW.

DESCRIPTION

In a scene composed entirely of opaque closed surfaces, back-facing polygons are never visible. Eliminating these invisible polygons has the obvious benefit of speeding up the rendering of the image. Elimination of back-facing polygons is enabled and disabled with glEnable and glDisable using argument GL_CULL_FACE.

The projection of a polygon to window coordinates is said to have clockwise winding if an imaginary object following the path from its first vertex, its second vertex, and so on, to its last vertex, and finally back to its first vertex, moves in a clockwise direction about the interior of the polygon. The polygon's winding is said to be counterclockwise if the imaginary object following the same path moves in a counterclockwise direction about the interior of the polygon. glFrontFace specifies whether polygons with clockwise winding in window coordinates, or counterclockwise winding in window coordinates, are taken to be front-facing. Passing GL_CCW to mode selects counterclockwise polygons as front-facing; GL_CW selects clockwise polygons as front-facing. By default, counterclockwise polygons are taken to be front-facing.

ERRORS

GL_INVALID_ENUM is generated if mode is not an accepted value.

GL_INVALID_OPERATION is generated if glFrontFace is called between a call to glBegin and the corresponding call to glEnd.

ASSOCIATED GETS

glGet with argument GL_FRONT_FACE

glFrustum

NAME

glFrustum - multiply the current matrix by a perspective matrix

C SPECIFICATION

void glFrustum( GLdouble left, GLdouble right, GLdouble bottom, GLdouble top, GLdouble near, GLdouble far )

PARAMETERS

left, right 

Specify the coordinates for the left and right vertical clipping planes.

bottom, top 

Specify the coordinates for the bottom and top horizontal clipping planes.

near, far 

Specify the distances to the near and far depth clipping planes. Both distances must be positive.

DESCRIPTION

glFrustum describes a perspective matrix that produces a perspective projection. (left, bottom, -near) and (right, top, -near) specify the points on the near clipping plane that are mapped to the lower left and upper right corners of the window, respectively, assuming that the eye is located at (0, 0, 0). -far specifies the location of the far clipping plane. Both near and far must be positive. The corresponding matrix is

The current matrix is multiplied by this matrix with the result replacing the current matrix. That is, if M is the current matrix and F is the frustum perspective matrix, then M is replaced with M o F.

Use glPushMatrix and glPopMatrix to save and restore the current matrix stack.

NOTES

Depth buffer precision is affected by the values specified for near and far. The greater the ratio of far to near is, the less effective the depth buffer will be at distinguishing between surfaces that are near each other. If

roughly log2 r bits of depth buffer precision are lost. Because r approaches infinity as near approaches zero, near must never be set to zero.

ERRORS

GL_INVALID_VALUE is generated if near or far is not positive.

GL_INVALID_OPERATION is generated if glFrustum is called between a call to glBegin and the corresponding call to glEnd.

ASSOCIATED GETS

glGet with argument GL_MATRIX_MODE
glGet with argument GL_MODELVIEW_MATRIX
glGet with argument GL_PROJECTION_MATRIX
glGet with argument GL_TEXTURE_MATRIX

glGenLists

NAME

glGenLists - generate a contiguous set of empty display lists

C SPECIFICATION

GLuint glGenLists( GLsizei range )

PARAMETERS

range 

Specifies the number of contiguous empty display lists to be generated.

DESCRIPTION

glGenLists has one argument, range. It returns an integer n such that range contiguous empty display lists, named n, n+1, ..., n+range -1, are created. If range is zero, if there is no group of range contiguous names available, or if any error is generated, no display lists are generated, and zero is returned.

ERRORS

GL_INVALID_VALUE is generated if range is negative.

GL_INVALID_OPERATION is generated if glGenLists is called between a call to glBegin and the corresponding call to glEnd.

ASSOCIATED GETS

glIsList

glGet

NAME

glGetBooleanv, glGetDoublev, glGetFloatv, glGetIntegerv - return the value or values of a selected parameter

C SPECIFICATION

void glGetBooleanv( GLenum pname, GLboolean *params )
void glGetDoublev( GLenum pname, GLdouble *params )
void glGetFloatv( GLenum pname, GLfloat *params )
void glGetIntegerv( GLenum pname, GLint *params )

PARAMETERS

pname 

Specifies the parameter value to be returned. The symbolic constants in the list below are accepted.

params 

Returns the value or values of the specified parameter.

DESCRIPTION

These four commands return values for simple state variables in GL. pname is a symbolic constant indicating the state variable to be returned, and params is a pointer to an array of the indicated type in which to place the returned data.

Type conversion is performed if params has a different type than the state variable value being requested. If glGetBooleanv is called, a floating-point or integer value is converted to GL_FALSE if and only if it is zero. Otherwise, it is converted to GL_TRUE. If glGetIntegerv is called, Boolean values are returned as GL_TRUE or GL_FALSE, and most floating-point values are rounded to the nearest integer value. Floating-point colors and normals, however, are returned with a linear mapping that maps 1.0 to the most positive representable integer value, and -1.0 to the most negative representable integer value. If glGetFloatv or glGetDoublev is called, Boolean values are returned as GL_TRUE or GL_FALSE, and integer values are converted to floating-point values.

The following symbolic constants are accepted by pname:

GL_ACCUM_ALPHA_BITS 


params returns one value, the number of alpha bitplanes in the accumulation buffer.

GL_ACCUM_BLUE_BITS 


params returns one value, the number of blue bitplanes in the accumulation buffer.

GL_ACCUM_CLEAR_VALUE 


params returns four values: the red, green, blue, and alpha values used to clear the accumulation buffer. Integer values, if requested, are linearly mapped from the internal floating-point representation such that 1.0 returns the most positive representable integer value, and -1.0 returns the most negative representable integer value. See "glClearAccum" .

GL_ACCUM_GREEN_BITS 


params returns one value, the number of green bitplanes in the accumulation buffer.

GL_ACCUM_RED_BITS 


params returns one value, the number of red bitplanes in the accumulation buffer.

GL_ALPHA_BIAS 


params returns one value, the alpha bias factor used during pixel transfers. See "glPixelTransfer" .

GL_ALPHA_BITS 


params returns one value, the number of alpha bitplanes in each color buffer.

GL_ALPHA_SCALE 


params returns one value, the alpha scale factor used during pixel transfers. See "glPixelTransfer" .

GL_ALPHA_TEST 


params returns a single Boolean value indicating whether alpha testing of fragments is enabled. See "glAlphaFunc" .

GL_ALPHA_TEST_FUNC 


params returns one value, the symbolic name of the alpha test function. See "glAlphaFunc" .

GL_ALPHA_TEST_REF 


params returns one value, the reference value for the alpha test. See "glAlphaFunc" . An integer value, if requested, is linearly mapped from the internal floating-point representation such that 1.0 returns the most positive representable integer value, and -1.0 returns the most negative representable integer value.

GL_ATTRIB_STACK_DEPTH 


params returns one value, the depth of the attribute stack. If the stack is empty, zero is returned. See "glPushAttrib" .

GL_AUTO_NORMAL 


params returns a single Boolean value indicating whether 2-D map evaluation automatically generates surface normals. See "glMap2" .

GL_AUX_BUFFERS 


params returns one value, the number of auxiliary color buffers.

GL_BLEND 

params returns a single Boolean value indicating whether blending is enabled. See "glBlendFunc" .

GL_BLEND_DST 


params returns one value, the symbolic constant identifying the destination blend function. See "glBlendFunc" .

GL_BLEND_SRC 


params returns one value, the symbolic constant identifying the source blend function. See "glBlendFunc" .

GL_BLUE_BIAS 


params returns one value, the blue bias factor used during pixel transfers. See "glPixelTransfer" .

GL_BLUE_BITS 


params returns one value, the number of blue bitplanes in each color buffer.

GL_BLUE_SCALE 


params returns one value, the blue scale factor used during pixel transfers. See "glPixelTransfer" .

GL_CLIP_PLANEi 


params returns a single Boolean value indicating whether the specified clipping plane is enabled. See "glClipPlane" .

GL_COLOR_CLEAR_VALUE 


params returns four values: the red, green, blue, and alpha values used to clear the color buffers. Integer values, if requested, are linearly mapped from the internal floating-point representation such that 1.0 returns the most positive representable integer value, and -1.0 returns the most negative representable integer value. See "glClearColor" .

GL_COLOR_MATERIAL 


params returns a single Boolean value indicating whether one or more material parameters are tracking the current color. See "glColorMaterial" .

GL_COLOR_MATERIAL_FACE 


params returns one value, a symbolic constant indicating which materials have a parameter that is tracking the current color. See "glColorMaterial"

GL_COLOR_MATERIAL_PARAMETER 


params returns one value, a symbolic constant indicating which material parameters are tracking the current color. See "glColorMaterial" .

GL_COLOR_WRITEMASK 


params returns four Boolean values: the red, green, blue, and alpha write enables for the color buffers. See "glColorMask" .

GL_CULL_FACE 


params returns a single Boolean value indicating whether polygon culling is enabled. See "glCullFace" .

GL_CULL_FACE_MODE 


params returns one value, a symbolic constant indicating which polygon faces are to be culled. See "glCullFace" .

GL_CURRENT_COLOR 


params returns four values: the red, green, blue, and alpha values of the current color. Integer values, if requested, are linearly mapped from the internal floating-point representation such that 1.0 returns the most positive representable integer value, and -1.0 returns the most negative representable integer value. See "glColor" .

GL_CURRENT_INDEX 


params returns one value, the current color index. See "glIndex" .

GL_CURRENT_NORMAL 


params returns three values: the x, y, and z values of the current normal. Integer values, if requested, are linearly mapped from the internal floating-point representation such that 1.0 returns the most positive representable integer value, and -1.0 returns the most negative representable integer value. See "glNormal" .

GL_CURRENT_RASTER_COLOR 


params returns four values: the red, green, blue, and alpha values of the current raster position. Integer values, if requested, are linearly mapped from the internal floating-point representation such that 1.0 returns the most positive representable integer value, and -1.0 returns the most negative representable integer value. See "glRasterPos" .

GL_CURRENT_RASTER_DISTANCE 


params returns one value, the distance from the eye to the current raster position. See "glRasterPos" .

GL_CURRENT_RASTER_INDEX 


params returns one value, the color index of the current raster position. See "glRasterPos" .

GL_CURRENT_RASTER_POSITION 


params returns four values: the x, y, z, and w components of the current raster position. x, y, and z are in window coordinates, and w is in clip coordinates. See "glRasterPos" .

GL_CURRENT_RASTER_TEXTURE_COORDS 


params returns four values: the s, t, r, and q current raster texture coordinates. See "glRasterPos" and "glTexCoord" .

GL_CURRENT_RASTER_POSITION_VALID 


params returns a single Boolean value indicating whether the current raster position is valid. See "glRasterPos" .

GL_CURRENT_TEXTURE_COORDS 


params returns four values: the s, t, r, and q current texture coordinates. See "glTexCoord" .

GL_DEPTH_BIAS 


params returns one value, the depth bias factor used during pixel transfers. See "glPixelTransfer" .

GL_DEPTH_BITS 


params returns one value, the number of bitplanes in the depth buffer.

GL_DEPTH_CLEAR_VALUE 


params returns one value, the value that is used to clear the depth buffer. Integer values, if requested, are linearly mapped from the internal floating-point representation such that 1.0 returns the most positive representable integer value, and -1.0 returns the most negative representable integer value. See "glClearDepth" .

GL_DEPTH_FUNC 


params returns one value, the symbolic constant that indicates the depth comparison function. See "glDepthFunc" .

GL_DEPTH_RANGE 


params returns two values: the near and far mapping limits for the depth buffer. Integer values, if requested, are linearly mapped from the internal floating-point representation such that 1.0 returns the most positive representable integer value, and -1.0 returns the most negative representable integer value. See "glDepthRange" .

GL_DEPTH_SCALE 


params returns one value, the depth scale factor used during pixel transfers. See "glPixelTransfer" .

GL_DEPTH_TEST 


params returns a single Boolean value indicating whether depth testing of fragments is enabled. See "glDepthFunc" and "glDepthRange" .

GL_DEPTH_WRITEMASK 


params returns a single Boolean value indicating if the depth buffer is enabled for writing. See "glDepthMask" .

GL_DITHER 


params returns a single Boolean value indicating whether dithering of fragment colors and indices is enabled.

GL_DOUBLEBUFFER 


params returns a single Boolean value indicating whether double buffering is supported.

GL_DRAW_BUFFER 


params returns one value, a symbolic constant indicating which buffers are being drawn to. See "glDrawBuffer" .

GL_EDGE_FLAG 


params returns a single Boolean value indication whether the current edge flag is true or false. See "glEdgeFlag" .

GL_FOG 

params returns a single Boolean value indicating whether fogging is enabled. See "glFog" .

GL_FOG_COLOR 


params returns four values: the red, green, blue, and alpha components of the fog color. Integer values, if requested, are linearly mapped from the internal floating-point representation such that 1.0 returns the most positive representable integer value, and -1.0 returns the most negative representable integer value. See "glFog" .

GL_FOG_DENSITY 


params returns one value, the fog density parameter. See "glFog" .

GL_FOG_END 


params returns one value, the end factor for the linear fog equation. See "glFog" .

GL_FOG_HINT 


params returns one value, a symbolic constant indicating the mode of the fog hint. See "glHint" .

GL_FOG_INDEX 


params returns one value, the fog color index. See "glFog" .

GL_FOG_MODE 


params returns one value, a symbolic constant indicating which fog equation is selected. See "glFog" .

GL_FOG_START 


params returns one value, the start factor for the linear fog equation. See "glFog" .

GL_FRONT_FACE 


params returns one value, a symbolic constant indicating whether clockwise or counterclockwise polygon winding is treated as front-facing. See "glFrontFace" .

GL_GREEN_BIAS 


params returns one value, the green bias factor used during pixel transfers.

GL_GREEN_BITS 


params returns one value, the number of green bitplanes in each color buffer.

GL_GREEN_SCALE 


params returns one value, the green scale factor used during pixel transfers. See "glPixelTransfer" .

GL_INDEX_BITS 


params returns one value, the number of bitplanes in each color index buffer.

GL_INDEX_CLEAR_VALUE 


params returns one value, the color index used to clear the color index buffers. See "glClearIndex" .

GL_INDEX_MODE 


params returns a single Boolean value indicating whether the GL is in color index mode (true) or RGBA mode (false).

GL_INDEX_OFFSET 


params returns one value, the offset added to color and stencil indices during pixel transfers. See "glPixelTransfer" .

GL_INDEX_SHIFT 


params returns one value, the amount that color and stencil indices are shifted during pixel transfers. See "glPixelTransfer" .

GL_INDEX_WRITEMASK 


params returns one value, a mask indicating which bitplanes of each color index buffer can be written. See "glIndexMask" .

GL_LIGHTi 

params returns a single Boolean value indicating whether the specified light is enabled. See "glLight" and "glLightModel" .

GL_LIGHTING 


params returns a single Boolean value indicating whether lighting is enabled. See "glLightModel" .

GL_LIGHT_MODEL_AMBIENT 


params returns four values: the red, green, blue, and alpha components of the ambient intensity of the entire scene. Integer values, if requested, are linearly mapped from the internal floating-point representation such that 1.0 returns the most positive representable integer value, and -1.0 returns the most negative representable integer value. See "glLightModel" .

GL_LIGHT_MODEL_LOCAL_VIEWER 


params returns a single Boolean value indicating whether specular reflection calculations treat the viewer as being local to the scene. See "glLightModel" .

GL_LIGHT_MODEL_TWO_SIDE 


params returns a single Boolean value indicating whether separate materials are used to compute lighting for front- and back-facing polygons. See "glLightModel" .

GL_LINE_SMOOTH 


params returns a single Boolean value indicating whether antialiasing of lines is enabled. See "glLineWidth" .

GL_LINE_SMOOTH_HINT 


params returns one value, a symbolic constant indicating the mode of the line antialiasing hint. See "glHint" .

GL_LINE_STIPPLE 


params returns a single Boolean value indicating whether stippling of lines is enabled. See "glLineStipple" .

GL_LINE_STIPPLE_PATTERN 


params returns one value, the 16-bit line stipple pattern. See "glLineStipple" .

GL_LINE_STIPPLE_REPEAT 


params returns one value, the line stipple repeat factor. See "glLineStipple" .

GL_LINE_WIDTH 


params returns one value, the line width as specified with glLineWidth.

GL_LINE_WIDTH_GRANULARITY 


params returns one value, the width difference between adjacent supported widths for antialiased lines. See "glLineWidth" .

GL_LINE_WIDTH_RANGE 


params returns two values: the smallest and largest supported widths for antialiased lines. See "glLineWidth" .

GL_LIST_BASE 


params returns one value, the base offset added to all names in arrays presented to glCallLists. See "glListBase" .

GL_LIST_INDEX 


params returns one value, the name of the display list currently under construction. Zero is returned if no display list is currently under construction. See "glNewList" .

GL_LIST_MODE 


params returns one value, a symbolic constant indicating the construction mode of the display list currently being constructed. See "glNewList" .

GL_LOGIC_OP 


params returns a single Boolean value indicating whether fragment indexes are merged into the framebuffer using a logical operation. See "glLogicOp" .

GL_LOGIC_OP_MODE 


params returns one value, a symbolic constant indicating the selected logic operational mode. See "glLogicOp" .

GL_MAP1_COLOR_4 


params returns a single Boolean value indicating whether 1D evaluation generates colors. See "glMap1" .

GL_MAP1_GRID_DOMAIN 


params returns two values: the endpoints of the 1-D map's grid domain. See "glMapGrid" .

GL_MAP1_GRID_SEGMENTS 


params returns one value, the number of partitions in the 1-D map's grid domain. See "glMapGrid" .

GL_MAP1_INDEX 


params returns a single Boolean value indicating whether 1D evaluation generates color indices. See "glMap1" .

GL_MAP1_NORMAL 


params returns a single Boolean value indicating whether 1D evaluation generates normals. See "glMap1" .

GL_MAP1_TEXTURE_COORD_1 


params returns a single Boolean value indicating whether 1D evaluation generates 1D texture coordinates. See "glMap1" .

GL_MAP1_TEXTURE_COORD_2 


params returns a single Boolean value indicating whether 1D evaluation generates 2D texture coordinates. See "glMap1" .

GL_MAP1_TEXTURE_COORD_3 


params returns a single Boolean value indicating whether 1D evaluation generates 3D texture coordinates. See "glMap1" .

GL_MAP1_TEXTURE_COORD_4 


params returns a single Boolean value indicating whether 1D evaluation generates 4D texture coordinates. See "glMap1" .

GL_MAP1_VERTEX_3 


params returns a single Boolean value indicating whether 1D evaluation generates 3D vertex coordinates. See "glMap1" .

GL_MAP1_VERTEX_4 


params returns a single Boolean value indicating whether 1D evaluation generates 4D vertex coordinates. See "glMap1" .

GL_MAP2_COLOR_4 


params returns a single Boolean value indicating whether 2D evaluation generates colors. See "glMap2" .

GL_MAP2_GRID_DOMAIN 


params returns four values: the endpoints of the 2-D map's i and j grid domains. See "glMapGrid" .

GL_MAP2_GRID_SEGMENTS 


params returns two values: the number of partitions in the 2-D map's i and j grid domains. See "glMapGrid" .

GL_MAP2_INDEX 


params returns a single Boolean value indicating whether 2D evaluation generates color indices. See "glMap2" .

GL_MAP2_NORMAL 


params returns a single Boolean value indicating whether 2D evaluation generates normals. See "glMap2" .

GL_MAP2_TEXTURE_COORD_1 


params returns a single Boolean value indicating whether 2D evaluation generates 1D texture coordinates. See "glMap2" .

GL_MAP2_TEXTURE_COORD_2 


params returns a single Boolean value indicating whether 2D evaluation generates 2D texture coordinates. See "glMap2" .

GL_MAP2_TEXTURE_COORD_3 


params returns a single Boolean value indicating whether 2D evaluation generates 3D texture coordinates. See "glMap2" .

GL_MAP2_TEXTURE_COORD_4 


params returns a single Boolean value indicating whether 2D evaluation generates 4D texture coordinates. See "glMap2" .

GL_MAP2_VERTEX_3 


params returns a single Boolean value indicating whether 2D evaluation generates 3D vertex coordinates. See "glMap2" .

GL_MAP2_VERTEX_4 


params returns a single Boolean value indicating whether 2D evaluation generates 4D vertex coordinates. See "glMap2" .

GL_MAP_COLOR 


params returns a single Boolean value indicating if colors and color indices are to be replaced by table lookup during pixel transfers. See "glPixelTransfer" .

GL_MAP_STENCIL 


params returns a single Boolean value indicating if stencil indices are to be replaced by table lookup during pixel transfers. See "glPixelTransfer" .

GL_MATRIX_MODE 


params returns one value, a symbolic constant indicating which matrix stack is currently the target of all matrix operations. See "glMatrixMode" .

GL_MAX_ATTRIB_STACK_DEPTH 


params returns one value, the maximum supported depth of the attribute stack. See "glPushAttrib" .

GL_MAX_CLIP_PLANES 


params returns one value, the maximum number of application-defined clipping planes. See "glClipPlane" .

GL_MAX_EVAL_ORDER 


params returns one value, the maximum equation order supported by 1-D and 2-D evaluators. See "glMap1" and "glMap2" .

GL_MAX_LIGHTS 


params returns one value, the maximum number of lights. See "glLight" .

GL_MAX_LIST_NESTING 


params returns one value, the maximum recursion depth allowed during display-list traversal. See "glCallList" .

GL_MAX_MODELVIEW_STACK_DEPTH 


params returns one value, the maximum supported depth of the modelview matrix stack. See "glPushMatrix" .

GL_MAX_NAME_STACK_DEPTH 


params returns one value, the maximum supported depth of the selection name stack. See "glPushName" .

GL_MAX_PIXEL_MAP_TABLE 


params returns one value, the maximum supported size of a glPixelMap lookup table. See "glPixelMap" .

GL_MAX_PROJECTION_STACK_DEPTH 


params returns one value, the maximum supported depth of the projection matrix stack. See "glPushMatrix" .

GL_MAX_TEXTURE_SIZE 


params returns one value, the maximum width or height of any texture image (without borders). See "glTexImage1D" and "glTexImage2D" .

GL_MAX_TEXTURE_STACK_DEPTH 


params returns one value, the maximum supported depth of the texture matrix stack. See "glPushMatrix" .

GL_MAX_VIEWPORT_DIMS 


params returns two values: the maximum supported width and height of the viewport. See "glViewport" .

GL_MODELVIEW_MATRIX 


params returns sixteen values: the modelview matrix on the top of the modelview matrix stack. See "glPushMatrix" .

GL_MODELVIEW_STACK_DEPTH 


params returns one value, the number of matrices on the modelview matrix stack. See "glPushMatrix" .

GL_NAME_STACK_DEPTH 


params returns one value, the number of names on the selection name stack. See "glPushMatrix" .

GL_NORMALIZE 


params returns a single Boolean value indicating whether normals are automatically scaled to unit length after they have been transformed to eye coordinates. See "glNormal" .

GL_PACK_ALIGNMENT 


params returns one value, the byte alignment used for writing pixel data to memory. See "glPixelStore" .

GL_PACK_LSB_FIRST 


params returns a single Boolean value indicating whether single-bit pixels being written to memory are written first to the least significant bit of each unsigned byte. See "glPixelStore" .

GL_PACK_ROW_LENGTH 


params returns one value, the row length used for writing pixel data to memory. See "glPixelStore" .

GL_PACK_SKIP_PIXELS 


params returns one value, the number of pixel locations skipped before the first pixel is written into memory. See "glPixelStore" .

GL_PACK_SKIP_ROWS 


params returns one value, the number of rows of pixel locations skipped before the first pixel is written into memory. See "glPixelStore" .

GL_PACK_SWAP_BYTES 


params returns a single Boolean value indicating whether the bytes of two-byte and four-byte pixel indices and components are swapped before being written to memory. See "glPixelStore"

GL_PERSPECTIVE_CORRECTION_HINT 


params returns one value, a symbolic constant indicating the mode of the perspective correction hint. See "glHint" .

GL_PIXEL_MAP_A_TO_A_SIZE 


params returns one value, the size of the alpha-to-alpha pixel translation table. See "glPixelMap" .

GL_PIXEL_MAP_B_TO_B_SIZE 


params returns one value, the size of the blue-to-blue pixel translation table. See "glPixelMap" .

GL_PIXEL_MAP_G_TO_G_SIZE 


params returns one value, the size of the green-to-green pixel translation table. See "glPixelMap" .

GL_PIXEL_MAP_I_TO_A_SIZE 


params returns one value, the size of the index-to-alpha pixel translation table. See "glPixelMap" .

GL_PIXEL_MAP_I_TO_B_SIZE 


params returns one value, the size of the index-to-blue pixel translation table. See "glPixelMap" .

GL_PIXEL_MAP_I_TO_G_SIZE 


params returns one value, the size of the index-to-green pixel translation table. See "glPixelMap" .

GL_PIXEL_MAP_I_TO_I_SIZE 


params returns one value, the size of the index-to-index pixel translation table. See "glPixelMap" .

GL_PIXEL_MAP_I_TO_R_SIZE 


params returns one value, the size of the index-to-red pixel translation table. See "glPixelMap"

GL_PIXEL_MAP_R_TO_R_SIZE 


params returns one value, the size of the red-to-red pixel translation table. See "glPixelMap" .

GL_PIXEL_MAP_S_TO_S_SIZE 


params returns one value, the size of the stencil-to-stencil pixel translation table. See "glPixelMap" .

GL_POINT_SIZE 


params returns one value, the point size as specified by glPointSize.

GL_POINT_SIZE_GRANULARITY 


params returns one value, the size difference between adjacent supported sizes for antialiased points. See "glPointSize" .

GL_POINT_SIZE_RANGE 


params returns two values: the smallest and largest supported sizes for antialiased points. See "glPointSize" .

GL_POINT_SMOOTH 


params returns a single Boolean value indicating whether antialiasing of points is enabled. See "glPointSize" .

GL_POINT_SMOOTH_HINT 


params returns one value, a symbolic constant indicating the mode of the point antialiasing hint. See "glHint" .

GL_POLYGON_MODE 


params returns two values: symbolic constants indicating whether front-facing and back-facing polygons are rasterized as points, lines, or filled polygons. See "glPolygonMode" .

GL_POLYGON_SMOOTH 


params returns a single Boolean value indicating whether antialiasing of polygons is enabled. See "glPolygonMode" .

GL_POLYGON_SMOOTH_HINT 


params returns one value, a symbolic constant indicating the mode of the polygon antialiasing hint. See "glHint" .

GL_POLYGON_STIPPLE 


params returns a single Boolean value indicating whether stippling of polygons is enabled. See "glPolygonStipple" .

GL_PROJECTION_MATRIX 


params returns sixteen values: the projection matrix on the top of the projection matrix stack. See "glPushMatrix" .

GL_PROJECTION_STACK_DEPTH 


params returns one value, the number of matrices on the projection matrix stack. See "glPushMatrix" .

GL_READ_BUFFER 


params returns one value, a symbolic constant indicating which color buffer is selected for reading. See "glReadPixels" and "glAccum" .

GL_RED_BIAS 


params returns one value, the red bias factor used during pixel transfers.

GL_RED_BITS 


params returns one value, the number of red bitplanes in each color buffer.

GL_RED_SCALE 


params returns one value, the red scale factor used during pixel transfers. See "glPixelTransfer" .

GL_RENDER_MODE 


params returns one value, a symbolic constant indicating whether the GL is in render, select, or feedback mode. See "glRenderMode" .

GL_RGBA_MODE 


params returns a single Boolean value indicating whether the GL is in RGBA mode (true) or color index mode (false). See "glColor" .

GL_SCISSOR_BOX 


params returns four values: the x and y window coordinates of the scissor box, follow by its width and height. See "glScissor" .

GL_SCISSOR_TEST 


params returns a single Boolean value indicating whether scissoring is enabled. See "glScissor" .

GL_SHADE_MODEL 


params returns one value, a symbolic constant indicating whether the shading mode is flat or smooth. See "glShadeModel" .

GL_STENCIL_BITS 


params returns one value, the number of bitplanes in the stencil buffer.

GL_STENCIL_CLEAR_VALUE 


params returns one value, the index to which the stencil bitplanes are cleared. See "glClearStencil" .

GL_STENCIL_FAIL 


params returns one value, a symbolic constant indicating what action is taken when the stencil test fails. See "glStencilOp" .

GL_STENCIL_FUNC 


params returns one value, a symbolic constant indicating what function is used to compare the stencil reference value with the stencil buffer value. See "glStencilFunc" .

GL_STENCIL_PASS_DEPTH_FAIL 


params returns one value, a symbolic constant indicating what action is taken when the stencil test passes, but the depth test fails. See "glStencilOp" .

GL_STENCIL_PASS_DEPTH_PASS 


params returns one value, a symbolic constant indicating what action is taken when the stencil test passes and the depth test passes. See "glStencilOp" .

GL_STENCIL_REF 


params returns one value, the reference value that is compared with the contents of the stencil buffer. See "glStencilFunc" .

GL_STENCIL_TEST 


params returns a single Boolean value indicating whether stencil testing of fragments is enabled. See "glStencilFunc" and "glStencilOp" .

GL_STENCIL_VALUE_MASK 


params returns one value, the mask that is used to mask both the stencil reference value and the stencil buffer value before they are compared. See "glStencilFunc" .

GL_STENCIL_WRITEMASK 


params returns one value, the mask that controls writing of the stencil bitplanes. See "glStencilMask" .

GL_STEREO 


params returns a single Boolean value indicating whether stereo buffers (left and right) are supported.

GL_SUBPIXEL_BITS 


params returns one value, an estimate of the number of bits of subpixel resolution that are used to position rasterized geometry in window coordinates.

GL_TEXTURE_1D 


params returns a single Boolean value indicating whether 1D texture mapping is enabled. See "glTexImage1D" .

GL_TEXTURE_2D 


params returns a single Boolean value indicating whether 2D texture mapping is enabled. See "glTexImage2D" .

GL_TEXTURE_ENV_COLOR 


params returns four values: the red, green, blue, and alpha values of the texture environment color. Integer values, if requested, are linearly mapped from the internal floating-point representation such that 1.0 returns the most positive representable integer value, and -1.0 returns the most negative representable integer value. See "glTexEnv" .

GL_TEXTURE_ENV_MODE 


params returns one value, a symbolic constant indicating what texture environment function is currently selected. See "glTexEnv" .

GL_TEXTURE_GEN_S 


params returns a single Boolean value indicating whether automatic generation of the S texture coordinate is enabled. See "glTexGen" .

GL_TEXTURE_GEN_T 


params returns a single Boolean value indicating whether automatic generation of the T texture coordinate is enabled. See "glTexGen" .

GL_TEXTURE_GEN_R 


params returns a single Boolean value indicating whether automatic generation of the R texture coordinate is enabled. See "glTexGen" .

GL_TEXTURE_GEN_Q 


params returns a single Boolean value indicating whether automatic generation of the Q texture coordinate is enabled. See "glTexGen" .

GL_TEXTURE_MATRIX 


params returns sixteen values: the texture matrix on the top of the texture matrix stack. See "glPushMatrix" .

GL_TEXTURE_STACK_DEPTH 


params returns one value, the number of matrices on the texture matrix stack. See "glPushMatrix" .

GL_UNPACK_ALIGNMENT 


params returns one value, the byte alignment used for reading pixel data from memory. See "glPixelStore" .

GL_UNPACK_LSB_FIRST 


params returns a single Boolean value indicating whether single-bit pixels being read from memory are read first from the least significant bit of each unsigned byte. See "glPixelStore" .

GL_UNPACK_ROW_LENGTH 


params returns one value, the row length used for reading pixel data from memory. See "glPixelStore" .

GL_UNPACK_SKIP_PIXELS 


params returns one value, the number of pixel locations skipped before the first pixel is read from memory. See "glPixelStore" .

GL_UNPACK_SKIP_ROWS 


params returns one value, the number of rows of pixel locations skipped before the first pixel is read from memory. See "glPixelStore" .

GL_UNPACK_SWAP_BYTES 


params returns a single Boolean value indicating whether the bytes of two-byte and four-byte pixel indices and components are swapped after being read from memory. See "glPixelStore" .

GL_VIEWPORT 


params returns four values: the x and y window coordinates of the viewport, follow by its width and height. See "glViewport" .

GL_ZOOM_X 


params returns one value, the x pixel zoom factor. See "glPixelZoom" .

GL_ZOOM_Y 


params returns one value, the y pixel zoom factor. See "glPixelZoom" .

Many of the Boolean parameters can also be queried more easily using glIsEnabled.

ERRORS

GL_INVALID_ENUM is generated if pname is not an accepted value.

GL_INVALID_OPERATION is generated if glGet is called between a call to glBegin and the corresponding call to glEnd.

glGetClipPlane

NAME

glGetClipPlane - return the coefficients of the specified clipping plane

C SPECIFICATION

void glGetClipPlane( GLenum plane, GLdouble *equation )

PARAMETERS

plane 

Specifies a clipping plane. The number of clipping planes depends on the implementation, but at least six clipping planes are supported. They are identified by symbolic names of the form GL_CLIP_PLANEi where 0 ≤ i < GL_MAX_CLIP_PLANES.

equation 

Returns four double-precision values that are the coefficients of the plane equation of plane in eye coordinates.

DESCRIPTION

glGetClipPlane returns in equation the four coefficients of the plane equation for plane.

NOTES

It is always the case that GL_CLIP_PLANEi = GL_CLIP_PLANE0 + i.

If an error is generated, no change is made to the contents of equation.

ERRORS

GL_INVALID_ENUM is generated if plane is not an accepted value.

GL_INVALID_OPERATION is generated if glGetClipPlane is called between a call to glBegin and the corresponding call to glEnd.

SEE ALSO

"glClipPlane"

glGetError

NAME

glGetError - return error information

C SPECIFICATION

GLenum glGetError( void )

DESCRIPTION

glGetError returns the value of the error flag. Each detectable error is assigned a numeric code and symbolic name. When an error occurs, the error flag is set to the appropriate error code value. No other errors are recorded until glGetError is called, the error code is returned, and the flag is reset to GL_NO_ERROR. If a call to glGetError returns GL_NO_ERROR, there has been no detectable error since the last call to glGetError, or since the GL was initialized.

To allow for distributed implementations, there may be several error flags. If any single error flag has recorded an error, the value of that flag is returned and that flag is reset to GL_NO_ERROR when glGetError is called. If more than one flag has recorded an error, glGetError returns and clears an arbitrary error flag value. Thus, glGetError should always be called in a loop, until it returns GL_NO_ERROR, if all error flags are to be reset.

Initially, all error flags are set to GL_NO_ERROR.

The currently defined errors are as follows:

GL_NO_ERROR 


No error has been recorded. The value of this symbolic constant is guaranteed to be zero.

GL_INVALID_ENUM 


An unacceptable value is specified for an enumerated argument. The offending command is ignored, having no side effect other than to set the error flag.

GL_INVALID_VALUE 


A numeric argument is out of range. The offending command is ignored, having no side effect other than to set the error flag.

GL_INVALID_OPERATION 


The specified operation is not allowed in the current state. The offending command is ignored, having no side effect other than to set the error flag.

GL_STACK_OVERFLOW 


This command would cause a stack overflow. The offending command is ignored, having no side effect other than to set the error flag.

GL_STACK_UNDERFLOW 


This command would cause a stack underflow. The offending command is ignored, having no side effect other than to set the error flag.

GL_OUT_OF_MEMORY 


There is not enough memory left to execute the command. The state of the GL is undefined, except for the state of the error flags, after this error is recorded.

When an error flag is set, results of a GL operation are undefined only if GL_OUT_OF_MEMORY has occurred. In all other cases, the command generating the error is ignored and has no effect on the GL state or frame buffer contents.

ERRORS

GL_INVALID_OPERATION is generated if glGetError is called between a call to glBegin and the corresponding call to glEnd.

glGetLight

NAME

glGetLightfv, glGetLightiv - return light source parameter values

C SPECIFICATION

void glGetLightfv( GLenum light, GLenum pname, GLfloat *params )
void glGetLightiv( GLenum light, GLenum pname, GLint *params )

PARAMETERS

light 

Specifies a light source. The number of possible lights depends on the implementation, but at least eight lights are supported. They are identified by symbolic names of the form GL_LIGHTi where 0 ≤ i < GL_MAX_LIGHTS.

pname 

Specifies a light source parameter for light. Accepted symbolic names are GL_AMBIENT, GL_DIFFUSE, GL_SPECULAR, GL_POSITION, GL_SPOT_DIRECTION, GL_SPOT_EXPONENT, GL_SPOT_CUTOFF, GL_CONSTANT_ATTENUATION, GL_LINEAR_ATTENUATION , and GL_QUADRATIC_ATTENUATION.

params 

Returns the requested data.

DESCRIPTION

glGetLight returns in params the value or values of a light source parameter. light names the light and is a symbolic name of the form GL_LIGHTi for 0≤i<GL_MAX_LIGHTS, where GL_MAX_LIGHTS is an implementation dependent constant that is greater than or equal to eight. pname specifies one of ten light source parameters, again by symbolic name.

The parameters are as follows:

GL_AMBIENT 


params returns four integer or floating-point values representing the ambient intensity of the light source. Integer values, when requested, are linearly mapped from the internal floating-point representation such that 1.0 maps to the most positive representable integer value, and -1.0 maps to the most negative representable integer value. If the internal value is outside the range [-1,1], the corresponding integer return value is undefined.

GL_DIFFUSE 


params returns four integer or floating-point values representing the diffuse intensity of the light source. Integer values, when requested, are linearly mapped from the internal floating-point representation such that 1.0 maps to the most positive representable integer value, and -1.0 maps to the most negative representable integer value. If the internal value is outside the range [-1,1], the corresponding integer return value is undefined.

GL_SPECULAR 


params returns four integer or floating-point values representing the specular intensity of the light source. Integer values, when requested, are linearly mapped from the internal floating-point representation such that 1.0 maps to the most positive representable integer value, and -1.0 maps to the most negative representable integer value. If the internal value is outside the range [-1,1], the corresponding integer return value is undefined.

GL_POSITION 


params returns four integer or floating-point values representing the position of the light source. Integer values, when requested, are computed by rounding the internal floating-point values to the nearest integer value. The returned values are those maintained in eye coordinates. They will not be equal to the values specified using glLight, unless the modelview matrix was identity at the time glLight was called.

GL_SPOT_DIRECTION 


params returns three integer or floating-point values representing the direction of the light source. Integer values, when requested, are computed by rounding the internal floating-point values to the nearest integer value. The returned values are those maintained in eye coordinates. They will not be equal to the values specified using glLight, unless the modelview matrix was identity at the time glLight was called. Although spot direction is normalized before being used in the lighting equation, the returned values are the transformed versions of the specified values prior to normalization.

GL_SPOT_EXPONENT 


params returns a single integer or floating-point value representing the spot exponent of the light. An integer value, when requested, is computed by rounding the internal floating-point representation to the nearest integer.

GL_SPOT_CUTOFF 


params returns a single integer or floating-point value representing the spot cutoff angle of the light. An integer value, when requested, is computed by rounding the internal floating-point representation to the nearest integer.

GL_CONSTANT_ATTENUATION 


params returns a single integer or floating-point value representing the constant (not distance related) attenuation of the light. An integer value, when requested, is computed by rounding the internal floating-point representation to the nearest integer.

GL_LINEAR_ATTENUATION  


params returns a single integer or floating-point value representing the linear attenuation of the light. An integer value, when requested, is computed by rounding the internal floating-point representation to the nearest integer.

GL_QUADRATIC_ATTENUATION 


params returns a single integer or floating-point value representing the quadratic attenuation of the light. An integer value, when requested, is computed by rounding the internal floating-point representation to the nearest integer.

NOTES

It is always the case that GL_LIGHTi = GL_LIGHT0 + i.

If an error is generated, no change is made to the contents of params.

ERRORS

GL_INVALID_ENUM is generated if light or pname is not an accepted value.

GL_INVALID_OPERATION is generated if glGetLight is called between a call to glBegin and the corresponding call to glEnd.

SEE ALSO

"glLight"

glGetMap

NAME

glGetMapdv, glGetMapfv, glGetMapiv - return evaluator parameters

C SPECIFICATION

void glGetMapdv( GLenum target, GLenum query, GLdouble *v )
void glGetMapfv( GLenum target, GLenum query, GLfloat *v )
void glGetMapiv( GLenum target, GLenum query, GLint *v )

PARAMETERS

target 

Specifies the symbolic name of a map. Accepted values are GL_MAP1_COLOR_4, GL_MAP1_INDEX, GL_MAP1_NORMAL, GL_MAP1_TEXTURE_COORD_1, GL_MAP1_TEXTURE_COORD_2, GL_MAP1_TEXTURE_COORD_3, GL_MAP1_TEXTURE_COORD_4, GL_MAP1_VERTEX_3, GL_MAP1_VERTEX_4, GL_MAP2_COLOR_4 , GL_MAP2_INDEX, GL_MAP2_NORMAL, GL_MAP2_TEXTURE_COORD_1, GL_MAP2_TEXTURE_COORD_2, GL_MAP2_TEXTURE_COORD_3, GL_MAP2_TEXTURE_COORD_4, GL_MAP2_VERTEX_3, and GL_MAP2_VERTEX_4.

query 

Specifies which parameter to return. Symbolic names GL_COEFF, GL_ORDER, and GL_DOMAIN are accepted.

v 

Returns the requested data.

DESCRIPTION

glMap1 and glMap2 define evaluators. glGetMap returns evaluator parameters. target chooses a map, query selects a specific parameter, and v points to storage where the values will be returned.

The acceptable values for the target parameter are described in the glMap1 and glMap2 reference pages.

query can assume the following values:

GL_COEFF 

v returns the control points for the evaluator function. One-dimensional evaluators return order control points, and two-dimensional evaluators return uorder × vorder control points. Each control point consists of one, two, three, or four integer, single-precision floating-point, or double-precision floating-point values, depending on the type of the evaluator. Two-dimensional control points are returned in row-major order, incrementing the uorder index quickly, and the vorder index after each row. Integer values, when requested, are computed by rounding the internal floating-point values to the nearest integer values.

GL_ORDER 

v returns the order of the evaluator function. One-dimensional evaluators return a single value, order. Two-dimensional evaluators return two values, uorder and vorder.

GL_DOMAIN 


v returns the linear u and v mapping parameters. One-dimensional evaluators return two values, u1 and u2, as specified by glMap1. Two-dimensional evaluators return four values (u1, u2, v1, and v2) as specified by glMap2. Integer values, when requested, are computed by rounding the internal floating-point values to the nearest integer values.

NOTES

If an error is generated, no change is made to the contents of v.

ERRORS

GL_INVALID_ENUM is generated if either target or query is not an accepted value.

GL_INVALID_OPERATION is generated if glGetMap is called between a call to glBegin and the corresponding call to glEnd.

glGetMaterial

NAME

glGetMaterialfv, glGetMaterialiv - return material parameters

C SPECIFICATION

void glGetMaterialfv( GLenum face, GLenum pname, GLfloat *params )
void glGetMaterialiv( GLenum face, GLenum pname, GLint *params )

PARAMETERS

face 

Specifies which of the two materials is being queried. GL_FRONT or GL_BACK are accepted, representing the front and back materials, respectively.

pname 

Specifies the material parameter to return. GL_AMBIENT, GL_DIFFUSE, GL_SPECULAR, GL_EMISSION, GL_SHININESS, and GL_COLOR_INDEXES are accepted.

params 

Returns the requested data.

DESCRIPTION

glGetMaterial returns in params the value or values of parameter pname of material face. Six parameters are defined:

GL_AMBIENT 


params returns four integer or floating-point values representing the ambient reflectance of the material. Integer values, when requested, are linearly mapped from the internal floating-point representation such that 1.0 maps to the most positive representable integer value, and -1.0 maps to the most negative representable integer value. If the internal value is outside the range [-1,1], the corresponding integer return value is undefined.

GL_DIFFUSE 


params returns four integer or floating-point values representing the diffuse reflectance of the material. Integer values, when requested, are linearly mapped from the internal floating-point representation such that 1.0 maps to the most positive representable integer value, and -1.0 maps to the most negative representable integer value. If the internal value is outside the range [-1,1], the corresponding integer return value is undefined.

GL_SPECULAR 


params returns four integer or floating-point values representing the specular reflectance of the material. Integer values, when requested, are linearly mapped from the internal floating-point representation such that 1.0 maps to the most positive representable integer value, and -1.0 maps to the most negative representable integer value. If the internal value is outside the range [-1,1], the corresponding integer return value is undefined.

GL_EMISSION 


params returns four integer or floating-point values representing the emitted light intensity of the material. Integer values, when requested, are linearly mapped from the internal floating-point representation such that 1.0 maps to the most positive representable integer value, and -1.0 maps to the most negative representable integer value. If the internal value is outside the range [-1,1], the corresponding integer return value is undefined.

GL_SHININESS 


params returns one integer or floating-point value representing the specular exponent of the material. Integer values, when requested, are computed by rounding the internal floating-point value to the nearest integer value.

GL_COLOR_INDEXES 


params returns three integer or floating-point values representing the ambient, diffuse, and specular indices of the material. These indices are used only for color index lighting. (The other parameters are all used only for RGBA lighting.) Integer values, when requested, are computed by rounding the internal floating-point values to the nearest integer values.

NOTES

If an error is generated, no change is made to the contents of params.

ERRORS

GL_INVALID_ENUM is generated if face or pname is not an accepted value.

GL_INVALID_OPERATION is generated if glGetMaterial is called between a call to glBegin and the corresponding call to glEnd.

SEE ALSO

"glMaterial"

glGetPixelMap

NAME

glGetPixelMapfv, glGetPixelMapuiv, glGetPixelMapusv - return the specified pixel map

C SPECIFICATION

void glGetPixelMapfv( GLenum map, GLfloat *values )
void glGetPixelMapuiv( GLenum map, GLuint *values )
void glGetPixelMapusv( GLenum map, GLushort *values )

PARAMETERS

map 

Specifies the name of the pixel map to return. Accepted values are GL_PIXEL_MAP_I_TO_I, GL_PIXEL_MAP_S_TO_S, GL_PIXEL_MAP_I_TO_R, GL_PIXEL_MAP_I_TO_G, GL_PIXEL_MAP_I_TO_B, GL_PIXEL_MAP_I_TO_A, GL_PIXEL_MAP_R_TO_R, GL_PIXEL_MAP_G_TO_G, GL_PIXEL_MAP_B_TO_B, and GL_PIXEL_MAP_A_TO_A.

values 

Returns the pixel map contents.

DESCRIPTION

Please see the "glPixelMap" reference page for a description of the acceptable values for the map parameter. glGetPixelMap returns in values the contents of the pixel map specified in map. Pixel maps are used during the execution of glReadPixels, glDrawPixels, glCopyPixels, glTexImage1D, and glTexImage2D to map color indices, stencil indices, color components, and depth components to other values.

Unsigned integer values, if requested, are linearly mapped from the internal fixed or floating-point representation such that 1.0 maps to the largest representable integer value, and 0.0 maps to zero. Return unsigned integer values are undefined if the map value was not in the range [0,1].

To determine the required size of map, call glGet with the appropriate symbolic constant.

NOTES

If an error is generated, no change is made to the contents of values.

ERRORS

GL_INVALID_ENUM is generated if map is not an accepted value.

GL_INVALID_OPERATION is generated if glGetPixelMap is called between a call to glBegin and the corresponding call to glEnd.

ASSOCIATED GETS

glGet with argument GL_PIXEL_MAP_I_TO_I_SIZE
glGet with argument GL_PIXEL_MAP_S_TO_S_SIZE
glGet with argument GL_PIXEL_MAP_I_TO_R_SIZE
glGet with argument GL_PIXEL_MAP_I_TO_G_SIZE
glGet with argument GL_PIXEL_MAP_I_TO_B_SIZE
glGet with argument GL_PIXEL_MAP_I_TO_A_SIZE
glGet with argument GL_PIXEL_MAP_R_TO_R_SIZE
glGet with argument GL_PIXEL_MAP_G_TO_G_SIZE
glGet with argument GL_PIXEL_MAP_B_TO_B_SIZE
glGet with argument GL_PIXEL_MAP_A_TO_A_SIZE
glGet with argument GL_MAX_PIXEL_MAP_TABLE

glGetPolygonStipple

NAME

glGetPolygonStipple - return the polygon stipple pattern

C SPECIFICATION

void glGetPolygonStipple( GLubyte *mask )

PARAMETERS

mask 

Returns the stipple pattern.

DESCRIPTION

glGetPolygonStipple returns to mask a 32×32 polygon stipple pattern. The pattern is packed into memory as if glReadPixels with both height and width of 32, type of GL_BITMAP, and format of GL_COLOR_INDEX were called, and the stipple pattern were stored in an internal 32×32 color index buffer. Unlike glReadPixels, however, pixel transfer operations (shift, offset, pixel map) are not applied to the returned stipple image.

NOTES

If an error is generated, no change is made to the contents of mask.

ERRORS

GL_INVALID_OPERATION is generated if glGetPolygonStipple is called between a call to glBegin and the corresponding call to glEnd.

glGetString

NAME

glGetString - returns a string describing the current GL connection

C SPECIFICATION

const GLubyte * glGetString( GLenum name )

PARAMETERS

name 

Specifies a symbolic constant, one of GL_VENDOR, GL_RENDERER, GL_VERSION, or GL_EXTENSIONS.

DESCRIPTION

glGetString returns a pointer to a static string describing some aspect of the current GL connection. name can be one of the following:

GL_VENDOR 


Returns the company responsible for this GL implementation. This name does not change from release to release.

GL_RENDERER 


Returns the name of the renderer. This name is typically specific to a particular configuration of a hardware platform. It does not change from release to release.

GL_VERSION 


Returns a version or release number.

GL_EXTENSIONS 


Returns a space-separated list of supported extensions to GL.

Because GL does not include queries for the performance characteristics of an implementation, it is expected that some applications will be written to recognize known platforms and will modify their GL usage based on known performance characteristics of these platforms. Strings GL_VENDOR and GL_RENDERER together uniquely specify a platform, and will not change from release to release. They should be used by such platform recognition algorithms.

The format and contents of the string that glGetString returns depend on the implementation, except that extension names will not include space characters and will be separated by space characters in the GL_EXTENSIONS string, and that all strings are null-terminated.

NOTES

If an error is generated, glGetString returns zero.

ERRORS

GL_INVALID_ENUM is generated if name is not an accepted value.

GL_INVALID_OPERATION is generated if glGetString is called between a call to glBegin and the corresponding call to glEnd.

glGetTexEnv

NAME

glGetTexEnvfv, glGetTexEnviv - return texture environment parameters

C SPECIFICATION

void glGetTexEnvfv( GLenum target, GLenum pname, GLfloat *params )
void glGetTexEnviv( GLenum target, GLenum pname, GLint *params )

PARAMETERS

target 

Specifies a texture environment. Must be GL_TEXTURE_ENV.

pname 

Specifies the symbolic name of a texture environment parameter. Accepted values are GL_TEXTURE_ENV_MODE and GL_TEXTURE_ENV_COLOR.

params 

Returns the requested data.

DESCRIPTION

glGetTexEnv returns in params selected values of a texture environment that was specified with glTexEnv. target specifies a texture environment. Currently, only one texture environment is defined and supported: GL_TEXTURE_ENV.

pname names a specific texture environment parameter. The two parameters are as follows:

GL_TEXTURE_ENV_MODE 


params returns the single-valued texture environment mode, a symbolic constant.

GL_TEXTURE_ENV_COLOR 


params returns four integer or floating-point values that are the texture environment color. Integer values, when requested, are linearly mapped from the internal floating-point representation such that 1.0 maps to the most positive representable integer, and -1.0 maps to the most negative representable integer.

NOTES

If an error is generated, no change is made to the contents of params.

ERRORS

GL_INVALID_ENUM is generated if target or pname is not an accepted value.

GL_INVALID_OPERATION is generated if glGetTexEnv is called between a call to glBegin and the corresponding call to glEnd.

SEE ALSO

"glTexEnv"

glGetTexGen

NAME

glGetTexGendv, glGetTexGenfv, glGetTexGeniv - return texture coordinate generation parameters

C SPECIFICATION

void glGetTexGendv( GLenum coord, GLenum pname, GLdouble *params )
void glGetTexGenfv( GLenum coord, GLenum pname, GLfloat *params )
void glGetTexGeniv( GLenum coord, GLenum pname, GLint *params )

PARAMETERS

coord 

Specifies a texture coordinate. Must be GL_S, GL_T, GL_R, or GL_Q.

pname 

Specifies the symbolic name of the value(s) to be returned. Must be either GL_TEXTURE_GEN_MODE or the name of one of the texture generation plane equations: GL_OBJECT_PLANE or GL_EYE_PLANE.

params 

Returns the requested data.

DESCRIPTION

glGetTexGen returns in params selected parameters of a texture coordinate generation function that was specified using glTexGen. coord names one of the (s ,t ,r ,q) texture coordinates, using the symbolic constant GL_S, GL_T, GL_R, or GL_Q.

pname specifies one of three symbolic names:

GL_TEXTURE_GEN_MODE 


params returns the single-valued texture generation function, a symbolic constant.

GL_OBJECT_PLANE 


params returns the four plane equation coefficients that specify object linear-coordinate generation. Integer values, when requested, are mapped directly from the internal floating-point representation.

GL_EYE_PLANE 


params returns the four plane equation coefficients that specify eye linear-coordinate generation. Integer values, when requested, are mapped directly from the internal floating-point representation. The returned values are those maintained in eye coordinates. They are not equal to the values specified using glTexGen, unless the modelview matrix was identity at the time glTexGen was called.

NOTES

If an error is generated, no change is made to the contents of params.

ERRORS

GL_INVALID_ENUM is generated if coord or pname is not an accepted value.

GL_INVALID_OPERATION is generated if glGetTexGen is called between a call to glBegin and the corresponding call to glEnd.

SEE ALSO

"glTexGen"

glGetTexImage

NAME

glGetTexImage - return a texture image

C SPECIFICATION

void glGetTexImage( GLenum target, GLint level, GLenum format, GLenum type, GLvoid *pixels )

PARAMETERS

target 

Specifies which texture is to be obtained. GL_TEXTURE_1D and GL_TEXTURE_2D are accepted.

level 

Specifies the level-of-detail number of the desired image. Level 0 is the base image level. Level n is the nth mipmap reduction image.

format 

Specifies a pixel format for the returned data. The supported formats are GL_RED, GL_GREEN, GL_BLUE, GL_ALPHA, GL_RGB, GL_RGBA, GL_LUMINANCE, and GL_LUMINANCE_ALPHA.

type 

Specifies a pixel type for the returned data. The supported types are GL_UNSIGNED_BYTE, GL_BYTE, GL_UNSIGNED_SHORT, GL_SHORT, GL_UNSIGNED_INT, GL_INT, and GL_FLOAT.

pixels 

Returns the texture image. Should be a pointer to an array of the type specified by type.

DESCRIPTION

glGetTexImage returns a texture image into pixels. target specifies whether the desired texture image is one specified by glTexImage1D (GL_TEXTURE_1D) or by glTexImage2D (GL_TEXTURE_2D). level specifies the level-of-detail number of the desired image. format and type specify the format and type of the desired image array. Please see the reference pages "glTexImage1D" and "glDrawPixels" for a description of the acceptable values for the format and type parameters, respectively.

Operation of glGetTexImage is best understood by considering the selected internal four-component texture image to be an RGBA color buffer the size of the image. The semantics of glGetTexImage are then identical to those of glReadPixels called with the same format and type, with x and y set to zero, width set to the width of the texture image (including border if one was specified), and height set to one for 1-D images, or to the height of the texture image (including border if one was specified) for 2-D images. Because the internal texture image is an RGBA image, pixel formats GL_COLOR_INDEX, GL_STENCIL_INDEX, and GL_DEPTH_COMPONENT are not accepted, and pixel type GL_BITMAP is not accepted.

If the selected texture image does not contain four components, the following mappings are applied. Single-component textures are treated as RGBA buffers with red set to the single-component value, and green, blue, and alpha set to zero. Two-component textures are treated as RGBA buffers with red set to the value of component zero, alpha set to the value of component one, and green and blue set to zero. Finally, three-component textures are treated as RGBA buffers with red set to component zero, green set to component one, blue set to component two, and alpha set to zero.

To determine the required size of pixels, use glGetTexLevelParameter to ascertain the dimensions of the internal texture image, then scale the required number of pixels by the storage required for each pixel, based on format and type. Be sure to take the pixel storage parameters into account, especially GL_PACK_ALIGNMENT.

NOTES

If an error is generated, no change is made to the contents of pixels.

ERRORS

GL_INVALID_ENUM is generated if target, format, or type is not an accepted value.

GL_INVALID_VALUE is generated if level is less than zero or greater than log2 max, where max is the returned value of GL_MAX_TEXTURE_SIZE.

GL_INVALID_OPERATION is generated if glGetTexImage is called between a call to glBegin and the corresponding call to glEnd.

ASSOCIATED GETS

glGetTexLevelParameter with argument GL_TEXTURE_WIDTH
glGetTexLevelParameter
with argument GL_TEXTURE_HEIGHT
glGetTexLevelParameter
with argument GL_TEXTURE_BORDER
glGetTexLevelParameter
with argument GL_TEXTURE_COMPONENTS
glGet
with arguments GL_PACK_ALIGNMENT and others

glGetTexLevelParameter

NAME

glGetTexLevelParameterfv, glGetTexLevelParameteriv - return texture parameter values for a specific level of detail

C SPECIFICATION

void glGetTexLevelParameterfv( GLenum target, GLint level, GLenum pname, GLfloat *params )

void glGetTexLevelParameteriv( GLenum target, GLint level, GLenum pname, GLint *params )

PARAMETERS

target 

Specifies the symbolic name of the target texture, either GL_TEXTURE_1D or GL_TEXTURE_2D.

level 

Specifies the level-of-detail number of the desired image. Level 0 is the base image level. Level n is the nth mipmap reduction image.

pname 

Specifies the symbolic name of a texture parameter. GL_TEXTURE_WIDTH, GL_TEXTURE_HEIGHT, GL_TEXTURE_COMPONENTS, and GL_TEXTURE_BORDER are accepted.

params 

Returns the requested data.

DESCRIPTION

glGetTexLevelParameter returns in params texture parameter values for a specific level-of-detail value, specified as level. target defines the target texture, either GL_TEXTURE_1D or GL_TEXTURE_2D, to specify one- or two-dimensional texturing. pname specifies the texture parameter whose value or values will be returned.

The accepted parameter names are as follows:

GL_TEXTURE_WIDTH 


params returns a single value, the width of the texture image. This value includes the border of the texture image.

GL_TEXTURE_HEIGHT 


params returns a single value, the height of the texture image. This value includes the border of the texture image.

GL_TEXTURE_COMPONENTS 


params returns a single value, the number of components in the texture image.

GL_TEXTURE_BORDER 


params returns a single value, the width in pixels of the border of the texture image.

NOTES

If an error is generated, no change is made to the contents of params.

ERRORS

GL_INVALID_ENUM is generated if target or pname is not an accepted value.

GL_INVALID_VALUE is generated if level is less than zero or greater than log2 max, where max is the returned value of GL_MAX_TEXTURE_SIZE.

GL_INVALID_OPERATION is generated if glGetTexLevelParameter is called between a call to glBegin and the corresponding call to glEnd.

glGetTexParameter

NAME

glGetTexParameterfv, glGetTexParameteriv - return texture parameter values

C SPECIFICATION

void glGetTexParameterfv( GLenum target, GLenum pname, GLfloat *params )
void glGetTexParameteriv( GLenum target, GLenum pname, GLint *params )

PARAMETERS

target 

Specifies the symbolic name of the target texture. GL_TEXTURE_1D and GL_TEXTURE_2D are accepted.

pname 

Specifies the symbolic name of a texture parameter. GL_TEXTURE_MAG_FILTER, GL_TEXTURE_MIN_FILTER, GL_TEXTURE_WRAP_S, GL_TEXTURE_WRAP_T, and GL_TEXTURE_BORDER_COLOR are accepted.

params 

Returns the texture parameters.

DESCRIPTION

glGetTexParameter returns in params the value or values of the texture parameter specified as pname. target defines the target texture, either GL_TEXTURE_1D or GL_TEXTURE_2D, to specify one- or two-dimensional texturing. pname accepts the same symbols as glTexParameter, with the same interpretations:

GL_TEXTURE_MAG_FILTER 


Returns the single-valued texture magnification filter, a symbolic constant.

GL_TEXTURE_MIN_FILTER 


Returns the single-valued texture minification filter, a symbolic constant.

GL_TEXTURE_WRAP_S 


Returns the single-valued wrapping function for texture coordinate s, a symbolic constant.

GL_TEXTURE_WRAP_T 


Returns the single-valued wrapping function for texture coordinate t, a symbolic constant.

GL_TEXTURE_BORDER_COLOR 


Returns four integer or floating-point numbers that comprise the RGBA color of the texture border. Floating-point values are returned in the range [0,1]. Integer values are returned as a linear mapping of the internal floating-point representation such that 1.0 maps to the most positive representable integer and -1.0 maps to the most negative representable integer.

NOTES

If an error is generated, no change is made to the contents of params.

ERRORS

GL_INVALID_ENUM is generated if target or pname is not an accepted value.

GL_INVALID_OPERATION is generated if glGetTexParameter is called between a call to glBegin and the corresponding call to glEnd.

glHint

NAME

glHint - specify implementation-specific hints

C SPECIFICATION

void glHint( GLenum target, GLenum mode )

PARAMETERS

target 

Specifies a symbolic constant indicating the behavior to be controlled. GL_FOG_HINT, GL_LINE_SMOOTH_HINT, GL_PERSPECTIVE_CORRECTION_HINT, GL_POINT_SMOOTH_HINT, and GL_POLYGON_SMOOTH_HINT are accepted.

mode 

Specifies a symbolic constant indicating the desired behavior. GL_FASTEST, GL_NICEST, and GL_DONT_CARE are accepted.

DESCRIPTION

Certain aspects of GL behavior, when there is room for interpretation, can be controlled with hints. A hint is specified with two arguments. target is a symbolic constant indicating the behavior to be controlled, and mode is another symbolic constant indicating the desired behavior. mode can be one of the following:

GL_FASTEST 

The most efficient option should be chosen.

GL_NICEST 

The most correct, or highest quality, option should be chosen.

GL_DONT_CARE 


The client doesn't have a preference.

Though the implementation aspects that can be hinted are well defined, the interpretation of the hints depends on the implementation. The hint aspects that can be specified with target, along with suggested semantics, are as follows:

GL_FOG_HINT 


Indicates the accuracy of fog calculation. If per-pixel fog calculation is not efficiently supported by the GL implementation, hinting GL_DONT_CARE or GL_FASTEST can result in per-vertex calculation of fog effects.

GL_LINE_SMOOTH_HINT 


Indicates the sampling quality of antialiased lines. Hinting GL_NICEST can result in more pixel fragments being generated during rasterization, if a larger filter function is applied.

GL_PERSPECTIVE_CORRECTION_HINT 


Indicates the quality of color and texture coordinate interpolation. If perspective-corrected parameter interpolation is not efficiently supported by the GL implementation, hinting GL_DONT_CARE or GL_FASTEST can result in simple linear interpolation of colors and/or texture coordinates.

GL_POINT_SMOOTH_HINT 


Indicates the sampling quality of antialiased points. Hinting GL_NICEST can result in more pixel fragments being generated during rasterization, if a larger filter function is applied.

GL_POLYGON_SMOOTH_HINT 


Indicates the sampling quality of antialiased polygons. Hinting GL_NICEST can result in more pixel fragments being generated during rasterization, if a larger filter function is applied.

NOTES

The interpretation of hints depends on the implementation. glHint can be ignored.

ERRORS

GL_INVALID_ENUM is generated if either target or mode is not an accepted value.

GL_INVALID_OPERATION is generated if glHint is called between a call to glBegin and the corresponding call to glEnd.

glIndex

NAME

glIndexd, glIndexf, glIndexi, glIndexs, glIndexdv, glIndexfv, glIndexiv, glIndexsv - set the current color index

C SPECIFICATION

void glIndexd( GLdouble c )
void glIndexf( GLfloat c )
void glIndexi( GLint c )
void glIndexs( GLshort c )

PARAMETERS

c 

Specifies the new value for the current color index.

C SPECIFICATION

void glIndexdv( const GLdouble *c )
void glIndexfv( const GLfloat *c )
void glIndexiv( const GLint *c )
void glIndexsv( const GLshort *c )

PARAMETERS

c 

Specifies a pointer to a one-element array that contains the new value for the current color index.

DESCRIPTION

glIndex updates the current (single-valued) color index. It takes one argument: the new value for the current color index.

The current index is stored as a floating-point value. Integer values are converted directly to floating-point values, with no special mapping.

Index values outside the representable range of the color index buffer are not clamped. However, before an index is dithered (if enabled) and written to the frame buffer, it is converted to fixed-point format. Any bits in the integer portion of the resulting fixed-point value that do not correspond to bits in the frame buffer are masked out.

NOTES

The current index can be updated at any time. In particular, glIndex can be called between a call to glBegin and the corresponding call to glEnd.

ASSOCIATED GETS

glGet with argument GL_CURRENT_INDEX

SEE ALSO

"glColor"

glIndexMask

NAME

glIndexMask - control the writing of individual bits in the color index buffers

C SPECIFICATION

void glIndexMask( GLuint mask )

PARAMETERS

mask 

Specifies a bit mask to enable and disable the writing of individual bits in the color index buffers. Initially, the mask is all ones.

DESCRIPTION

glIndexMask controls the writing of individual bits in the color index buffers. The least significant n bits of mask, where n is the number of bits in a color index buffer, specify a mask. Wherever a one appears in the mask, the corresponding bit in the color index buffer (or buffers) is made writable. Where a zero appears, the bit is write-protected.

This mask is used only in color index mode, and it affects only the buffers currently selected for writing (see "glDrawBuffer" .) Initially, all bits are enabled for writing.

ERRORS

GL_INVALID_OPERATION is generated if glIndexMask is called between a call to glBegin and the corresponding call to glEnd.

ASSOCIATED GETS

glGet with argument GL_INDEX_WRITEMASK

glInitNames

NAME

glInitNames - initialize the name stack

C SPECIFICATION

void glInitNames( void )

DESCRIPTION

The name stack is used during selection mode to allow sets of rendering commands to be uniquely identified. It consists of an ordered set of unsigned integers. glInitNames causes the name stack to be initialized to its default empty state.

The name stack is always empty while the render mode is not GL_SELECT. Calls to glInitNames while the render mode is not GL_SELECT are ignored.

ERRORS

GL_INVALID_OPERATION is generated if glInitNames is called between a call to glBegin and the corresponding call to glEnd.

ASSOCIATED GETS

glGet with argument GL_NAME_STACK_DEPTH
glGet with argument GL_MAX_NAME_STACK_DEPTH

glIsEnabled

NAME

glIsEnabled - test whether a capability is enabled

C SPECIFICATION

GLboolean glIsEnabled( GLenum cap )

PARAMETERS

cap 

Specifies a symbolic constant indicating a GL capability.

DESCRIPTION

glIsEnabled returns GL_TRUE if cap is an enabled capability and returns GL_FALSE otherwise. The following capabilities are accepted for cap:

GL_ALPHA_TEST  

See "glAlphaFunc" .

GL_AUTO_NORMAL 

See "glEvalCoord" .

GL_BLEND 

See "glBlendFunc" .

GL_CLIP_PLANEi 

See "glClipPlane" .

GL_COLOR_MATERIAL  

See "glColorMaterial" .

GL_CULL_FACE 

See "glCullFace" .

GL_DEPTH_TEST  

See "glDepthFunc" and "glDepthRange" .

GL_DITHER  

See "glEnable" .

GL_FOG 

See "glFog" .

GL_LIGHTi  

See "glLightModel" and "glLight" .

GL_LIGHTING 

See "glMaterial" , "glLightModel" , and "glLight" .

GL_LINE_SMOOTH 

See "glLineWidth" .

GL_LINE_STIPPLE 

See "glLineStipple" .

GL_LOGIC_OP 

See "glLogicOp" .

GL_MAP1_COLOR_4 

See "glMap1" .

GL_MAP1_INDEX 

See "glMap1" .

GL_MAP1_NORMAL 

See "glMap1" .

GL_MAP1_TEXTURE_COORD_1 

See "glMap1" .

GL_MAP1_TEXTURE_COORD_2 

See "glMap1" .

GL_MAP1_TEXTURE_COORD_3 

See "glMap1" .

GL_MAP1_TEXTURE_COORD_4 

See "glMap1" .

GL_MAP1_VERTEX_3 

See "glMap1" .

GL_MAP1_VERTEX_4 

See "glMap1" .

GL_MAP2_COLOR_4 

See "glMap2" .

GL_MAP2_INDEX 

See "glMap2" .

GL_MAP2_NORMAL 

See "glMap2" .

GL_MAP2_TEXTURE_COORD_1 

See "glMap2" .

GL_MAP2_TEXTURE_COORD_2 

See "glMap2" .

GL_MAP2_TEXTURE_COORD_3 

See "glMap2" .

GL_MAP2_TEXTURE_COORD_4 

See "glMap2" .

GL_MAP2_VERTEX_3 

See "glMap2" .

GL_MAP2_VERTEX_4 

See "glMap2" .

GL_NORMALIZE 

See "glNormal" .

GL_POINT_SMOOTH 

See "glPointSize" .

GL_POLYGON_SMOOTH 

See "glPolygonMode" .

GL_POLYGON_STIPPLE 

See "glPolygonStipple" .

GL_SCISSOR_TEST 

See "glScissor" .

GL_STENCIL_TEST 

See "glStencilFunc" and "glStencilOp" .

GL_TEXTURE_1D 

See "glTexImage1D" .

GL_TEXTURE_2D 

See "glTexImage2D" .

GL_TEXTURE_GEN_Q 

See "glTexGen" .

GL_TEXTURE_GEN_R 

See "glTexGen" .

GL_TEXTURE_GEN_S 

See "glTexGen" .

GL_TEXTURE_GEN_T 

See "glTexGen" .

NOTES

If an error is generated, glIsEnabled returns zero.

ERRORS

GL_INVALID_ENUM is generated if cap is not an accepted value.

GL_INVALID_OPERATION is generated if glIsEnabled is called between a call to glBegin and the corresponding call to glEnd.

SEE ALSO

"glEnable"

glIsList

NAME

glIsList - test for display-list existence

C SPECIFICATION

GLboolean glIsList( GLuint list )

PARAMETERS

list 

Specifies a potential display-list name.

DESCRIPTION

glIsList returns GL_TRUE if list is the name of a display list and returns GL_FALSE otherwise.

ERRORS

GL_INVALID_OPERATION is generated if glIsList is called between a call to glBegin and the corresponding call to glEnd.

glLight

NAME

glLightf, glLighti, glLightfv, glLightiv - set light source parameters

C SPECIFICATION

void glLightf( GLenum light, GLenum pname, GLfloat param )

void glLighti( GLenum light, GLenum pname, GLint param )

PARAMETERS

light 

Specifies a light. The number of lights is depends on the implementation, but at least eight lights are supported. They are identified by symbolic names of the form GL_LIGHTi where 0 ≤ i < GL_MAX_LIGHTS.

pname 

Specifies a single-valued light source parameter for light. GL_SPOT_EXPONENT, GL_SPOT_CUTOFF, GL_CONSTANT_ATTENUATION, GL_LINEAR_ATTENUATION , and GL_QUADRATIC_ATTENUATION are accepted.

param 

Specifies the value that parameter pname of light source light will be set to.

C SPECIFICATION

void glLightfv( GLenum light, GLenum pname, const GLfloat *params )

void glLightiv( GLenum light, GLenum pname, const GLint *params )

PARAMETERS

light 

Specifies a light. The number of lights depends on the implementation, but at least eight lights are supported. They are identified by symbolic names of the form GL_LIGHTi where 0 ≤ i < GL_MAX_LIGHTS.

pname 

Specifies a light source parameter for light. GL_AMBIENT, GL_DIFFUSE, GL_SPECULAR, GL_POSITION, GL_SPOT_DIRECTION, GL_SPOT_EXPONENT, GL_SPOT_CUTOFF, GL_CONSTANT_ATTENUATION, GL_LINEAR_ATTENUATION, and GL_QUADRATIC_ATTENUATION are accepted.

params 

Specifies a pointer to the value or values that parameter pname of light source light will be set to.

DESCRIPTION

glLight sets the values of individual light source parameters. light names the light and is a symbolic name of the form GL_LIGHTi, where 0 ≤ i < GL_MAX_LIGHTS. pname specifies one of ten light source parameters, again by symbolic name. params is either a single value or a pointer to an array that contains the new values.

Lighting calculation is enabled and disabled using glEnable and glDisable with argument GL_LIGHTING. When lighting is enabled, light sources that are enabled contribute to the lighting calculation. Light source i is enabled and disabled using glEnable and glDisable with argument GL_LIGHTi.

The ten light parameters are as follows:

GL_AMBIENT  


params contains four integer or floating-point values that specify the ambient RGBA intensity of the light. Integer values are mapped linearly such that the most positive representable value maps to 1.0, and the most negative representable value maps to -1.0. Floating-point values are mapped directly. Neither integer nor floating-point values are clamped. The default ambient light intensity is (0.0, 0.0, 0.0, 1.0).

GL_DIFFUSE  


params contains four integer or floating-point values that specify the diffuse RGBA intensity of the light. Integer values are mapped linearly such that the most positive representable value maps to 1.0, and the most negative representable value maps to -1.0. Floating-point values are mapped directly. Neither integer nor floating-point values are clamped. The default diffuse intensity is (0.0, 0.0, 0.0, 1.0) for all lights other than light zero. The default diffuse intensity of light zero is (1.0, 1.0, 1.0, 1.0).

GL_SPECULAR  


params contains four integer or floating-point values that specify the specular RGBA intensity of the light. Integer values are mapped linearly such that the most positive representable value maps to 1.0, and the most negative representable value maps to -1.0. Floating-point values are mapped directly. Neither integer nor floating-point values are clamped. The default specular intensity is (0.0, 0.0, 0.0, 1.0) for all lights other than light zero. The default specular intensity of light zero is (1.0, 1.0, 1.0, 1.0).

GL_POSITION  


params contains four integer or floating-point values that specify the position of the light in homogeneous object coordinates. Both integer and floating-point values are mapped directly. Neither integer nor floating-point values are clamped.

 

The position is transformed by the modelview matrix when glLight is called (just as if it were a point), and it is stored in eye coordinates. If the w component of the position is 0.0, the light is treated as a directional source. Diffuse and specular lighting calculations take the light's direction, but not its actual position, into account, and attenuation is disabled. Otherwise, diffuse and specular lighting calculations are based on the actual location of the light in eye coordinates, and attenuation is enabled. The default position is (0,0,1,0); thus, the default light source is directional, parallel to, and in the direction of the -z axis.

GL_SPOT_DIRECTION 


params contains three integer or floating-point values that specify the direction of the light in homogeneous object coordinates. Both integer and floating-point values are mapped directly. Neither integer nor floating-point values are clamped.

 

The spot direction is transformed by the inverse of the modelview matrix when glLight is called (just as it it were a normal), and it is stored in eye coordinates. It is significant only when GL_SPOT_CUTOFF is not 180, which it is by default. The default direction is (0,0,-1).

GL_SPOT_EXPONENT 


params is a single integer or floating-point value that specifies the intensity distribution of the light. Integer and floating-point values are mapped directly. Only values in the range [0,128] are accepted.

 

Effective light intensity is attenuated by the cosine of the angle between the direction of the light and the direction from the light to the vertex being lighted, raised to the power of the spot exponent. Thus, higher spot exponents result in a more focused light source, regardless of the spot cutoff angle (see next paragraph). The default spot exponent is 0, resulting in uniform light distribution.

GL_SPOT_CUTOFF 

params is a single integer or floating-point value that specifies the maximum spread angle of a light source. Integer and floating-point values are mapped directly. Only values in the range [0,90], and the special value 180, are accepted. If the angle between the direction of the light and the direction from the light to the vertex being lighted is greater than the spot cutoff angle, the light is completely masked. Otherwise, its intensity is controlled by the spot exponent and the attenuation factors. The default spot cutoff is 180, resulting in uniform light distribution.

GL_CONSTANT_ATTENUATION 


GL_LINEAR_ATTENUATION  


GL_QUADRATIC_ATTENUATION 


params is a single integer or floating-point value that specifies one of the three light attenuation factors. Integer and floating-point values are mapped directly. Only nonnegative values are accepted. If the light is positional, rather than directional, its intensity is attenuated by the reciprocal of the sum of: the constant factor, the linear factor times the distance between the light and the vertex being lighted, and the quadratic factor times the square of the same distance. The default attenuation factors are (1,0,0), resulting in no attenuation.

NOTES

It is always the case that GL_LIGHTi = GL_LIGHT0 + i.

ERRORS

GL_INVALID_ENUM is generated if either light or pname is not an accepted value.

GL_INVALID_VALUE is generated if a spot exponent value is specified outside the range [0,128], or if spot cutoff is specified outside the range [0,90] (except for the special value 180), or if a negative attenuation factor is specified.

GL_INVALID_OPERATION is generated if glLight is called between a call to glBegin and the corresponding call to glEnd.

ASSOCIATED GETS

glGetLight
glIsEnabled with argument GL_LIGHTING

glLightModel

NAME

glLightModelf, glLightModeli, glLightModelfv, glLightModeliv - set the lighting model parameters

C SPECIFICATION

void glLightModelf( GLenum pname, GLfloat param )

void glLightModeli( GLenum pname, GLint param )

PARAMETERS

pname 

Specifies a single-valued lighting model parameter. GL_LIGHT_MODEL_LOCAL_VIEWER and GL_LIGHT_MODEL_TWO_SIDE are accepted.

param 

Specifies the value that param will be set to.

C SPECIFICATION

void glLightModelfv( GLenum pname, const GLfloat *params )

void glLightModeliv( GLenum pname, const GLint *params )

PARAMETERS

pname 

Specifies a lighting model parameter. GL_LIGHT_MODEL_AMBIENT, GL_LIGHT_MODEL_LOCAL_VIEWER, and GL_LIGHT_MODEL_TWO_SIDE are accepted.

params 

Specifies a pointer to the value or values that params will be set to.

DESCRIPTION

glLightModel sets the lighting model parameter. pname names a parameter and params gives the new value. There are three lighting model parameters:

GL_LIGHT_MODEL_AMBIENT  


params contains four integer or floating-point values that specify the ambient RGBA intensity of the entire scene. Integer values are mapped linearly such that the most positive representable value maps to 1.0, and the most negative representable value maps to -1.0. Floating-point values are mapped directly. Neither integer nor floating-point values are clamped. The default ambient scene intensity is (0.2, 0.2, 0.2, 1.0).

GL_LIGHT_MODEL_LOCAL_VIEWER  


params is a single integer or floating-point value that specifies how specular reflection angles are computed. If params is 0 (or 0.0), specular reflection angles take the view direction to be parallel to and in the direction of the -z axis, regardless of the location of the vertex in eye coordinates. Otherwise specular reflections are computed from the origin of the eye coordinate system. The default is 0.

GL_LIGHT_MODEL_TWO_SIDE  


params is a single integer or floating-point value that specifies whether one- or two-sided lighting calculations are done for polygons. It has no effect on the lighting calculations for points, lines, or bitmaps. If params is 0 (or 0.0), one-sided lighting is specified, and only the front material parameters are used in the lighting equation. Otherwise, two-sided lighting is specified. In this case, vertices of back-facing polygons are lighted using the back material parameters, and have their normals reversed before the lighting equation is evaluated. Vertices of front-facing polygons are always lighted using the front material parameters, with no change to their normals. The default is 0.

In RGBA mode, the lighted color of a vertex is the sum of the material emission intensity, the product of the material ambient reflectance and the lighting model full-scene ambient intensity, and the contribution of each enabled light source. Each light source contributes the sum of three terms: ambient, diffuse, and specular. The ambient light source contribution is the product of the material ambient reflectance and the light's ambient intensity. The diffuse light source contribution is the product of the material diffuse reflectance, the light's diffuse intensity, and the dot product of the vertex's normal with the normalized vector from the vertex to the light source. The specular light source contribution is the product of the material specular reflectance, the light's specular intensity, and the dot product of the normalized vertex-to-eye and vertex-to-light vectors, raised to the power of the shininess of the material. All three light source contributions are attenuated equally based on the distance from the vertex to the light source and on light source direction, spread exponent, and spread cutoff angle. All dot products are replaced with zero if they evaluate to a negative value.

The alpha component of the resulting lighted color is set to the alpha value of the material diffuse reflectance.

In color index mode, the value of the lighted index of a vertex ranges from the ambient to the specular values passed to glMaterial using GL_COLOR_INDEXES. Diffuse and specular coefficients, computed with a (.30, .59, .11) weighting of the lights' colors, the shininess of the material, and the same reflection and attenuation equations as in the RGBA case, determine how much above ambient the resulting index is.

ERRORS

GL_INVALID_ENUM is generated if pname is not an accepted value.

GL_INVALID_OPERATION is generated if glLightModel is called between a call to glBegin and the corresponding call to glEnd.

ASSOCIATED GETS

glGet with argument GL_LIGHT_MODEL_AMBIENT
glGet
with argument GL_LIGHT_MODEL_LOCAL_VIEWER
glGet
with argument GL_LIGHT_MODEL_TWO_SIDE
glIsEnabled
with argument GL_LIGHTING

glLineStipple

NAME

glLineStipple - specify the line stipple pattern

C SPECIFICATION

void glLineStipple( GLint factor, GLushort pattern )

PARAMETERS

factor 

Specifies a multiplier for each bit in the line stipple pattern. If factor is 3, for example, each bit in the pattern will be used three times before the next bit in the pattern is used. factor is clamped to the range [1, 255] and defaults to one.

pattern 

Specifies a 16-bit integer whose bit pattern determines which fragments of a line will be drawn when the line is rasterized. Bit zero is used first, and the default pattern is all ones.

DESCRIPTION

Line stippling masks out certain fragments produced by rasterization; those fragments will not be drawn. The masking is achieved by using three parameters: the 16-bit line stipple pattern pattern, the repeat count factor, and an integer stipple counter s.

Counter s is reset to zero whenever glBegin is called, and before each line segment of a glBegin(GL_LINES)/glEnd sequence is generated. It is incremented after each fragment of a unit width aliased line segment is generated, or after each i fragments of an i width line segment are generated. The i fragments associated with count s are masked out if

pattern bit (s factor) mod 16 

is zero, otherwise these fragments are sent to the frame buffer. Bit zero of pattern is the least significant bit.

Antialiased lines are treated as a sequence of 1 × width rectangles for purposes of stippling. Rectangle s is rasterized or not based on the fragment rule described for aliased lines, counting rectangles rather than groups of fragments.

Line stippling is enabled or disabled using glEnable and glDisable with argument GL_LINE_STIPPLE. When enabled, the line stipple pattern is applied as described above. When disabled, it is as if the pattern were all ones. Initially, line stippling is disabled.

ERRORS

GL_INVALID_OPERATION is generated if glLineStipple is called between a call to glBegin and the corresponding call to glEnd.

ASSOCIATED GETS

glGet with argument GL_LINE_STIPPLE_PATTERN
glGet
with argument GL_LINE_STIPPLE_REPEAT
glIsEnabled
with argument GL_LINE_STIPPLE

glLineWidth

NAME

glLineWidth - specify the width of rasterized lines

C SPECIFICATION

void glLineWidth( GLfloat width )

PARAMETERS

width 

Specifies the width of rasterized lines. The default is 1.0.

DESCRIPTION

glLineWidth specifies the rasterized width of both aliased and antialiased lines. Using a line width other than 1.0 has different effects, depending on whether line antialiasing is enabled. Line antialiasing is controlled by calling glEnable and glDisable with argument GL_LINE_SMOOTH.

If line antialiasing is disabled, the actual width is determined by rounding the supplied width to the nearest integer. (If the rounding results in the value 0, it is as if the line width were 1.) If | Δx | | Δy |, i pixels are filled in each column that is rasterized, where i is the rounded value of width. Otherwise, i pixels are filled in each row that is rasterized.

If antialiasing is enabled, line rasterization produces a fragment for each pixel square that intersects the region lying within the rectangle having width equal to the current line width, length equal to the actual length of the line, and centered on the mathematical line segment. The coverage value for each fragment is the window coordinate area of the intersection of the rectangular region with the corresponding pixel square. This value is saved and used in the final rasterization step.

Not all widths can be supported when line antialiasing is enabled. If an unsupported width is requested, the nearest supported width is used. Only width 1.0 is guaranteed to be supported; others depend on the implementation. The range of supported widths and the size difference between supported widths within the range can be queried by calling glGet with arguments GL_LINE_WIDTH_RANGE and GL_LINE_WIDTH_GRANULARITY.

NOTES

The line width specified by glLineWidth is always returned when GL_LINE_WIDTH is queried. Clamping and rounding for aliased and antialiased lines have no effect on the specified value.

Non-antialiased line width may be clamped to an implementation-dependent maximum. Although this maximum cannot be queried, it must be no less than the maximum value for antialiased lines, rounded to the nearest integer value.

ERRORS

GL_INVALID_VALUE is generated if width is less than or equal to zero.

GL_INVALID_OPERATION is generated if glLineWidth is called between a call to glBegin and the corresponding call to glEnd.

ASSOCIATED GETS

glGet with argument GL_LINE_WIDTH
glGet
with argument GL_LINE_WIDTH_RANGE
glGet
with argument GL_LINE_WIDTH_GRANULARITY
glIsEnabled
with argument GL_LINE_SMOOTH

SEE ALSO

"glEnable"

glListBase

NAME

glListBase - set the display-list base for glCallLists

C SPECIFICATION

void glListBase( GLuint base )

PARAMETERS

base 

Specifies an integer offset that will be added to glCallLists offsets to generate display-list names. Initial value is zero.

DESCRIPTION

glCallLists specifies an array of offsets. Display-list names are generated by adding base to each offset. Names that reference valid display lists are executed; the others are ignored.

ERRORS

GL_INVALID_OPERATION is generated if glListBase is called between a call to glBegin and the corresponding call to glEnd.

ASSOCIATED GETS

glGet with argument GL_LIST_BASE

SEE ALSO

"glCallLists"

glLoadIdentity

NAME

glLoadIdentity - replace the current matrix with the identity matrix

C SPECIFICATION

void glLoadIdentity( void )

DESCRIPTION

glLoadIdentity replaces the current matrix with the identity matrix. It is semantically equivalent to calling glLoadMatrix with the identity matrix

but in some cases it is more efficient.

ERRORS

GL_INVALID_OPERATION is generated if glLoadIdentity is called between a call to glBegin and the corresponding call to glEnd.

ASSOCIATED GETS

glGet with argument GL_MATRIX_MODE
glGet
with argument GL_MODELVIEW_MATRIX
glGet
with argument GL_PROJECTION_MATRIX
glGet
with argument GL_TEXTURE_MATRIX

glLoadMatrix

NAME

glLoadMatrixd, glLoadMatrixf - replace the current matrix with an arbitrary matrix

C SPECIFICATION

void glLoadMatrixd( const GLdouble *m )

void glLoadMatrixf( const GLfloat *m )

PARAMETERS

m 

Specifies a pointer to a 4×4 matrix stored in column-major order as sixteen consecutive values.

DESCRIPTION

glLoadMatrix replaces the current matrix with the one specified in m. The current matrix is the projection matrix, modelview matrix, or texture matrix, determined by the current matrix mode (see "glMatrixMode" ).

m points to a 4×4 matrix of single- or double-precision floating-point values stored in column-major order. That is, the matrix is stored as follows:

ERRORS

GL_INVALID_OPERATION is generated if glLoadMatrix is called between a call to glBegin and the corresponding call to glEnd.

ASSOCIATED GETS

glGet with argument GL_MATRIX_MODE
glGet
with argument GL_MODELVIEW_MATRIX
glGet
with argument GL_PROJECTION_MATRIX
glGet
with argument GL_TEXTURE_MATRIX

glLoadName

NAME

glLoadName - load a name onto the name stack

C SPECIFICATION

void glLoadName( GLuint name )

PARAMETERS

name 

Specifies a name that will replace the top value on the name stack.

DESCRIPTION

The name stack is used during selection mode to allow sets of rendering commands to be uniquely identified. It consists of an ordered set of unsigned integers. glLoadName causes name to replace the value on the top of the name stack, which is initially empty.

The name stack is always empty while the render mode is not GL_SELECT. Calls to glLoadName while the render mode is not GL_SELECT are ignored.

ERRORS

GL_INVALID_OPERATION is generated if glLoadName is called while the name stack is empty.

GL_INVALID_OPERATION is generated if glLoadName is called between a call to glBegin and the corresponding call to glEnd.

ASSOCIATED GETS

glGet with argument GL_NAME_STACK_DEPTH
glGet
with argument GL_MAX_NAME_STACK_DEPTH

glLogicOp

NAME

glLogicOp - specify a logical pixel operation for color index rendering

C SPECIFICATION

void glLogicOp( GLenum opcode )

PARAMETERS

opcode 

Specifies a symbolic constant that selects a logical operation. The following symbols are accepted: GL_CLEAR, GL_SET, GL_COPY, GL_COPY_INVERTED, GL_NOOP, GL_INVERT, GL_AND, GL_NAND, GL_OR, GL_NOR, GL_XOR, GL_EQUIV, GL_AND_REVERSE, GL_AND_INVERTED, GL_OR_REVERSE, and GL_OR_INVERTED.

DESCRIPTION

glLogicOp specifies a logical operation that, when enabled, is applied between the incoming color index and the color index at the corresponding location in the frame buffer. The logical operation is enabled or disabled with glEnable and glDisable using the symbolic constant GL_LOGIC_OP.

opcode is a symbolic constant chosen from the list below. In the explanation of the logical operations, s represents the incoming color index and d represents the index in the frame buffer. Standard C-language operators are used. As these bitwise operators suggest, the logical operation is applied independently to each bit pair of the source and destination indices.

opcode

resulting value

GL_CLEAR

0

GL_SET

1

GL_COPY

s

GL_COPY_INVERTED

!s

GL_NOOP

d

GL_INVERT

!d

GL_AND

s & d

GL_NAND

!(s & d)

GL_OR

s | d

GL_NOR

!(s | d)

GL_XOR

s ^ d

GL_EQUIV

!(s ^ d)

GL_AND_REVERSE

s & !d

GL_AND_INVERTED

!s & d

GL_OR_REVERSE

s | !d

GL_OR_INVERTED

!s | d


NOTES

Logical pixel operations are not applied to RGBA color buffers.

When more than one color index buffer is enabled for drawing, logical operations are done separately for each enabled buffer, using for the destination index the contents of that buffer (see "glDrawBuffer" ).

opcode must be one of the sixteen accepted values. Other values result in an error.

ERRORS

GL_INVALID_ENUM is generated if opcode is not an accepted value.

GL_INVALID_OPERATION is generated if glLogicOp is called between a call to glBegin and the corresponding call to glEnd.

ASSOCIATED GETS

glGet with argument GL_LOGIC_OP_MODE
glIsEnabled
with argument GL_LOGIC_OP

glMap1

NAME

glMap1d, glMap1f - define a one-dimensional evaluator

C SPECIFICATION

void glMap1d( GLenum target, GLdouble u1, GLdouble u2, GLint stride, GLint order, const GLdouble *points )

void glMap1f( GLenum target, GLfloat u1, GLfloat u2, GLint stride, GLint order, const GLfloat *points )

PARAMETERS

target 

Specifies the kind of values that are generated by the evaluator. Symbolic constants GL_MAP1_VERTEX_3, GL_MAP1_VERTEX_4, GL_MAP1_INDEX, GL_MAP1_COLOR_4, GL_MAP1_NORMAL, GL_MAP1_TEXTURE_COORD_1, GL_MAP1_TEXTURE_COORD_2, GL_MAP1_TEXTURE_COORD_3, and GL_MAP1_TEXTURE_COORD_4 are accepted.

u1, u2 

Specify a linear mapping of u, as presented to glEvalCoord1, to u^, the variable that is evaluated by the equations specified by this command.

stride 

Specifies the number of floats or doubles between the beginning of one control point and the beginning of the next one in the data structure referenced in points. This allows control points to be embedded in arbitrary data structures. The only constraint is that the values for a particular control point must occupy contiguous memory locations.

order 

Specifies the number of control points. Must be positive.

points 

Specifies a pointer to the array of control points.

DESCRIPTION

Evaluators provide a way to use polynomial or rational polynomial mapping to produce vertices, normals, texture coordinates, and colors. The values produced by an evaluator are sent to further stages of GL processing just as if they had been presented using glVertex, glNormal, glTexCoord, and glColor commands, except that the generated values do not update the current normal, texture coordinates, or color.

All polynomial or rational polynomial splines of any degree (up to the maximum degree supported by the GL implementation) can be described using evaluators. These include almost all splines used in computer graphics, including B-splines, Bezier curves, Hermite splines, and so on.

Evaluators define curves based on Bernstein polynomials. Define p (ű ) as

where Ri is a control point and Bin ( u^ ) is the ith Bernstein polynomial of degree n (order = n + 1):

Recall that

glMap1 is used to define the basis and to specify what kind of values are produced. Once defined, a map can be enabled and disabled by calling glEnable and glDisable with the map name, one of the nine predefined values for target described below. glEvalCoord1 evaluates the one-dimensional maps that are enabled. When glEvalCoord1 presents a value u, the Bernstein functions are evaluated using u^, where

target is a symbolic constant that indicates what kind of control points are provided in points, and what output is generated when the map is evaluated. It can assume one of nine predefined values:

GL_MAP1_VERTEX_3 


Each control point is three floating-point values representing x, y, and z. Internal glVertex3 commands are generated when the map is evaluated.

GL_MAP1_VERTEX_4 


Each control point is four floating-point values representing x, y, z, and w. Internal glVertex4 commands are generated when the map is evaluated.

GL_MAP1_INDEX 


Each control point is a single floating-point value representing a color index. Internal glIndex commands are generated when the map is evaluated. The current index is not updated with the value of these glIndex commands, however.

GL_MAP1_COLOR_4 


Each control point is four floating-point values representing red, green, blue, and alpha. Internal glColor4 commands are generated when the map is evaluated. The current color is not updated with the value of these glColor4 commands, however.

GL_MAP1_NORMAL 


Each control point is three floating-point values representing the x, y, and z components of a normal vector. Internal glNormal commands are generated when the map is evaluated. The current normal is not updated with the value of these glNormal commands, however.

GL_MAP1_TEXTURE_COORD_1 


Each control point is a single floating-point value representing the s texture coordinate. Internal glTexCoord1 commands are generated when the map is evaluated. The current texture coordinates are not updated with the value of these glTexCoord commands, however.

GL_MAP1_TEXTURE_COORD_2 


Each control point is two floating-point values representing the s and t texture coordinates. Internal glTexCoord2 commands are generated when the map is evaluated. The current texture coordinates are not updated with the value of these glTexCoord commands, however.

GL_MAP1_TEXTURE_COORD_3 


Each control point is three floating-point values representing the s, t, and r texture coordinates. Internal glTexCoord3 commands are generated when the map is evaluated. The current texture coordinates are not updated with the value of these glTexCoord commands, however.

GL_MAP1_TEXTURE_COORD_4 


Each control point is four floating-point values representing the s, t, r, and q texture coordinates. Internal glTexCoord4 commands are generated when the map is evaluated. The current texture coordinates are not updated with the value of these glTexCoord commands, however.

stride, order, and points define the array addressing for accessing the control points. points is the location of the first control point, which occupies one, two, three, or four contiguous memory locations, depending on which map is being defined. order is the number of control points in the array. stride tells how many float or double locations to advance the internal memory pointer to reach the next control point.

NOTES

As is the case with all GL commands that accept pointers to data, it is as if the contents of points were copied by glMap1 before it returned. Changes to the contents of points have no effect after glMap1 is called.

ERRORS

GL_INVALID_ENUM is generated if target is not an accepted value.

GL_INVALID_VALUE is generated if u1 is equal to u2.

GL_INVALID_VALUE is generated if stride is less than the number of values in a control point.

GL_INVALID_VALUE is generated if order is less than one or greater than GL_MAX_EVAL_ORDER.

GL_INVALID_OPERATION is generated if glMap1 is called between a call to glBegin and the corresponding call to glEnd.

ASSOCIATED GETS

glGetMap
glGet with argument GL_MAX_EVAL_ORDER
glIsEnabled with argument GL_MAP1_VERTEX_3
glIsEnabled with argument GL_MAP1_VERTEX_4
glIsEnabled with argument GL_MAP1_INDEX
glIsEnabled with argument GL_MAP1_COLOR_4
glIsEnabled with argument GL_MAP1_NORMAL
glIsEnabled with argument GL_MAP1_TEXTURE_COORD_1
glIsEnabled with argument GL_MAP1_TEXTURE_COORD_2
glIsEnabled with argument GL_MAP1_TEXTURE_COORD_3
glIsEnabled with argument GL_MAP1_TEXTURE_COORD_4

glMap2

NAME

glMap2d, glMap2f - define a two-dimensional evaluator

C SPECIFICATION

void glMap2d( GLenum target, GLdouble u1, GLdouble u2, GLintustride, GLint uorder, GLdouble v1, GLdouble v2, GLnt vstride, GLint vorder, const GLdouble *points )

void glMap2f( GLenum target, GLfloat u1, GLfloat u2, GLint ustride, GLint uorder, GLfloat v1, GLfloat v2, GLint vstride, GLint vorder, const GLfloat *points )

PARAMETERS

target 

Specifies the kind of values that are generated by the evaluator. Symbolic constants GL_MAP2_VERTEX_3, GL_MAP2_VERTEX_4, GL_MAP2_INDEX, GL_MAP2_COLOR_4, GL_MAP2_NORMAL, GL_MAP2_TEXTURE_COORD_1, GL_MAP2_TEXTURE_COORD_2, GL_MAP2_TEXTURE_COORD_3, and GL_MAP2_TEXTURE_COORD_4 are accepted.

u1, u2 

Specify a linear mapping of u, as presented to glEvalCoord2, to u^, one of the two variables that is evaluated by the equations specified by this command.

ustride 

Specifies the number of floats or doubles between the beginning of control point Rij and the beginning of control point R (i+1) j , where i and j are the u and v control point indices, respectively. This allows control points to be embedded in arbitrary data structures. The only constraint is that the values for a particular control point must occupy contiguous memory locations.

uorder 

Specifies the dimension of the control point array in the u axis. Must be positive.

v1, v2 

Specify a linear mapping of v, as presented to glEvalCoord2, to v^, one of the two variables that is evaluated by the equations specified by this command.

vstride 

Specifies the number of floats or doubles between the beginning of control point Rij and the beginning of control point R i (j+1) , where i and j are the u and v control point indices, respectively. This allows control points to be embedded in arbitrary data structures. The only constraint is that the values for a particular control point must occupy contiguous memory locations.

vorder 

Specifies the dimension of the control point array in the v axis. Must be positive.

points 

Specifies a pointer to the array of control points.

DESCRIPTION

Evaluators provide a way to use polynomial or rational polynomial mapping to produce vertices, normals, texture coordinates, and colors. The values produced by an evaluator are sent on to further stages of GL processing just as if they had been presented using glVertex, glNormal, glTexCoord, and glColor commands, except that the generated values do not update the current normal, texture coordinates, or color.

All polynomial or rational polynomial splines of any degree (up to the maximum degree supported by the GL implementation) can be described using evaluators. These include almost all surfaces used in computer graphics, including B-spline surfaces, NURBS surfaces, Bezier surfaces, and so on.

Evaluators define surfaces based on bivariate Bernstein polynomials. Define

as

where Rij is a control point, Bin ( u^) is the ith Bernstein polynomial of degree

n (uorder = n + 1)

and Bjm ( v^ ) is the jth Bernstein polynomial of degree m (vorder = m + 1)

Recall that

glMap2 is used to define the basis and to specify what kind of values are produced. Once defined, a map can be enabled and disabled by calling glEnable and glDisable with the map name, one of the nine predefined values for target, described below. When glEvalCoord2 presents values u and v, the bivariate Bernstein polynomials are evaluated using u^ and v^, where

target is a symbolic constant that indicates what kind of control points are provided in points, and what output is generated when the map is evaluated. It can assume one of nine predefined values:

GL_MAP2_VERTEX_3 


Each control point is three floating-point values representing x, y, and z. Internal glVertex3 commands are generated when the map is evaluated.

GL_MAP2_VERTEX_4 


Each control point is four floating-point values representing x, y, z, and w. Internal glVertex4 commands are generated when the map is evaluated.

GL_MAP2_INDEX 


Each control point is a single floating-point value representing a color index. Internal glIndex commands are generated when the map is evaluated. The current index is not updated with the value of these glIndex commands, however.

GL_MAP2_COLOR_4 


Each control point is four floating-point values representing red, green, blue, and alpha. Internal glColor4 commands are generated when the map is evaluated. The current color is not updated with the value of these glColor4 commands, however.

GL_MAP2_NORMAL 


Each control point is three floating-point values representing the x, y, and z components of a normal vector. Internal glNormal commands are generated when the map is evaluated. The current normal is not updated with the value of these glNormal commands, however.

GL_MAP2_TEXTURE_COORD_1 


Each control point is a single floating-point value representing the s texture coordinate. Internal glTexCoord1 commands are generated when the map is evaluated. The current texture coordinates are not updated with the value of these glTexCoord commands, however.

GL_MAP2_TEXTURE_COORD_2 


Each control point is two floating-point values representing the s and t texture coordinates. Internal glTexCoord2 commands are generated when the map is evaluated. The current texture coordinates are not updated with the value of these glTexCoord commands, however.

GL_MAP2_TEXTURE_COORD_3 


Each control point is three floating-point values representing the s, t, and r texture coordinates. Internal glTexCoord3 commands are generated when the map is evaluated. The current texture coordinates are not updated with the value of these glTexCoord commands, however.

GL_MAP2_TEXTURE_COORD_4 


Each control point is four floating-point values representing the s, t, r, and q texture coordinates. Internal glTexCoord4 commands are generated when the map is evaluated. The current texture coordinates are not updated with the value of these glTexCoord commands, however.

ustride, uorder, vstride, vorder, and points define the array addressing for accessing the control points. points is the location of the first control point, which occupies one, two, three, or four contiguous memory locations, depending on which map is being defined. There are uorder × vorder control points in the array. ustride tells how many float or double locations are skipped to advance the internal memory pointer from control point Ri j to control point R(i+1) j . vstride tells how many float or double locations are skipped to advance the internal memory pointer from control point Ri j to control point Ri (j+1) .

NOTES

As is the case with all GL commands that accept pointers to data, it is as if the contents of points were copied by glMap2 before it returned. Changes to the contents of points have no effect after glMap2 is called.

ERRORS

GL_INVALID_ENUM is generated if target is not an accepted value.

GL_INVALID_VALUE is generated if u1 is equal to u2, or if v1 is equal to v2.

GL_INVALID_VALUE is generated if either ustride or vstride is less than the number of values in a control point.

GL_INVALID_VALUE is generated if either uorder or vorder is less than one or greater than GL_MAX_EVAL_ORDER.

GL_INVALID_OPERATION is generated if glMap2 is called between a call to glBegin and the corresponding call to glEnd.

ASSOCIATED GETS

glGetMap
glGet
with argument GL_MAX_EVAL_ORDER
glIsEnabled
with argument GL_MAP2_VERTEX_3
glIsEnabled
with argument GL_MAP2_VERTEX_4
glIsEnabled
with argument GL_MAP2_INDEX
glIsEnabled
with argument GL_MAP2_COLOR_4
glIsEnabled
with argument GL_MAP2_NORMAL
glIsEnabled
with argument GL_MAP2_TEXTURE_COORD_1
glIsEnabled
with argument GL_MAP2_TEXTURE_COORD_2
glIsEnabled
with argument GL_MAP2_TEXTURE_COORD_3
glIsEnabled with argument GL_MAP2_TEXTURE_COORD_4

glMapGrid

NAME

glMapGrid1d, glMapGrid1f, glMapGrid2d, glMapGrid2f - define a one- or two-dimensional mesh

C SPECIFICATION

void glMapGrid1d( GLint un, GLdouble u1, GLdouble u2 )

void glMapGrid1f( GLint un, GLfloat u1, GLfloat u2 )

void glMapGrid2d( GLint un, GLdouble u1, GLdouble u2, GLint vn, GLdouble v1, GLdouble v2 )

void glMapGrid2f( GLint un, GLfloat u1, GLfloat u2, GLint vn, GLfloat v1, GLfloat v2 )

PARAMETERS

un 

Specifies the number of partitions in the grid range interval [u1, u2]. Must be positive.

u1, u2 

Specify the mappings for integer grid domain values i=0 and i=un.

vn 

Specifies the number of partitions in the grid range interval [v1, v2] (glMapGrid2 only).

v1, v2 

Specify the mappings for integer grid domain values j=0 and j=vn (glMapGrid2 only).

DESCRIPTION

glMapGrid and glEvalMesh are used in tandem to efficiently generate and evaluate a series of evenly spaced map domain values. glEvalMesh steps through the integer domain of a one- or two-dimensional grid, whose range is the domain of the evaluation maps specified by glMap1 and glMap2.

glMapGrid1 and glMapGrid2 specify the linear grid mappings between the i (or i and j) integer grid coordinates, to the u (or u and v) floating-point evaluation map coordinates. See "glMap1" and "glMap2" for details of how u and v coordinates are evaluated.

glMapGrid1 specifies a single linear mapping such that integer grid coordinate 0 maps exactly to u1, and integer grid coordinate un maps exactly to u2. All other integer grid coordinates i are mapped such that

u=i(u2-u1)/un+u1

glMapGrid2 specifies two such linear mappings. One maps integer grid coordinate i=0 exactly to u1, and integer grid coordinate i=un exactly to u2. The other maps integer grid coordinate j=0 exactly to v1, and integer grid coordinate j=vn exactly to v2. Other integer grid coordinates i and j are mapped such that

u=i(u2-u1)/un+u1

v=j(v2-v1)/vn+v1

The mappings specified by glMapGrid are used identically by glEvalMesh and glEvalPoint.

ERRORS

GL_INVALID_VALUE is generated if either un or vn is not positive.

GL_INVALID_OPERATION is generated if glMapGrid is called between a call to glBegin and the corresponding call to glEnd.

ASSOCIATED GETS

glGet with argument GL_MAP1_GRID_DOMAIN
glGet
with argument GL_MAP2_GRID_DOMAIN
glGet
with argument GL_MAP1_GRID_SEGMENTS
glGet
with argument GL_MAP2_GRID_SEGMENTS

glMaterial

NAME

glMaterialf, glMateriali, glMaterialfv, glMaterialiv - specify material parameters for the lighting model

C SPECIFICATION

void glMaterialf( GLenum face, GLenum pname, GLfloat param )

void glMateriali( GLenum face, GLenum pname, GLint param )

PARAMETERS

face 

Specifies which face or faces are being updated. Must be one of GL_FRONT, GL_BACK, or GL_FRONT_AND_BACK.

pname 

Specifies the single-valued material parameter of the face or faces that is being updated. Must be GL_SHININESS.

param 

Specifies the value that parameter GL_SHININESS will be set to.

C SPECIFICATION

void glMaterialfv( GLenum face, GLenum pname, const GLfloat *params )

void glMaterialiv( GLenum face, GLenum pname, const GLint *params )

PARAMETERS

face 

Specifies which face or faces are being updated. Must be one of GL_FRONT, GL_BACK, or GL_FRONT_AND_BACK.

pname 

Specifies the material parameter of the face or faces that is being updated. Must be one of GL_AMBIENT, GL_DIFFUSE, GL_SPECULAR, GL_EMISSION, GL_SHININESS, GL_AMBIENT_AND_DIFFUSE, or GL_COLOR_INDEXES.

params 

Specifies a pointer to the value or values that pname will be set to.

DESCRIPTION

glMaterial assigns values to material parameters. There are two matched sets of material parameters. One, the front-facing set, is used to shade points, lines, bitmaps, and all polygons (when two-sided lighting is disabled), or just front-facing polygons (when two-sided lighting is enabled). The other set, back-facing, is used to shade back-facing polygons only when two-sided lighting is enabled. Refer to the glLightModel reference page for details concerning one- and two-sided lighting calculations.

glMaterial takes three arguments. The first, face, specifies whether the GL_FRONT materials, the GL_BACK materials, or both GL_FRONT_AND_BACK materials will be modified. The second, pname, specifies which of several parameters in one or both sets will be modified. The third, params, specifies what value or values will be assigned to the specified parameter.

Material parameters are used in the lighting equation that is optionally applied to each vertex. The equation is discussed in the glLightModel reference page. The parameters that can be specified using glMaterial, and their interpretations by the lighting equation, are as follows:

GL_AMBIENT  


params contains four integer or floating-point values that specify the ambient RGBA reflectance of the material. Integer values are mapped linearly such that the most positive representable value maps to 1.0, and the most negative representable value maps to -1.0. Floating-point values are mapped directly. Neither integer nor floating-point values are clamped. The default ambient reflectance for both front- and back-facing materials is (0.2, 0.2, 0.2, 1.0).

GL_DIFFUSE  


params contains four integer or floating-point values that specify the diffuse RGBA reflectance of the material. Integer values are mapped linearly such that the most positive representable value maps to 1.0, and the most negative representable value maps to -1.0. Floating-point values are mapped directly. Neither integer nor floating-point values are clamped. The default diffuse reflectance for both front- and back-facing materials is (0.8, 0.8, 0.8, 1.0).

GL_SPECULAR  


params contains four integer or floating-point values that specify the specular RGBA reflectance of the material. Integer values are mapped linearly such that the most positive representable value maps to 1.0, and the most negative representable value maps to -1.0. Floating-point values are mapped directly. Neither integer nor floating-point values are clamped. The default specular reflectance for both front- and back-facing materials is (0.0, 0.0, 0.0, 1.0).

GL_EMISSION  


params contains four integer or floating-point values that specify the RGBA emitted light intensity of the material. Integer values are mapped linearly such that the most positive representable value maps to 1.0, and the most negative representable value maps to -1.0. Floating-point values are mapped directly. Neither integer nor floating-point values are clamped. The default emission intensity for both front- and back-facing materials is (0.0, 0.0, 0.0, 1.0).

GL_SHININESS  


params is a single integer or floating-point value that specifies the RGBA specular exponent of the material. Integer and floating-point values are mapped directly. Only values in the range [0,128] are accepted. The default specular exponent for both front- and back-facing materials is 0.

GL_AMBIENT_AND_DIFFUSE 


Equivalent to calling glMaterial twice with the same parameter values, once with GL_AMBIENT and once with GL_DIFFUSE.

GL_COLOR_INDEXES 


params contains three integer or floating-point values specifying the color indices for ambient, diffuse, and specular lighting. These three values, and GL_SHININESS, are the only material values used by the color index mode lighting equation. Refer to the glLightModel reference page for a discussion of color index lighting.

NOTES

The material parameters can be updated at any time. In particular, glMaterial can be called between a call to glBegin and the corresponding call to glEnd. If only a single material parameter is to be changed per vertex, however, glColorMaterial is preferred over glMaterial (see "glColorMaterial" ).

ERRORS

GL_INVALID_ENUM is generated if either face or pname is not an accepted value.

GL_INVALID_VALUE is generated if a specular exponent outside the range [0,128] is specified.

ASSOCIATED GETS

glGetMaterial

glMatrixMode

NAME

glMatrixMode - specify which matrix is the current matrix

C SPECIFICATION

void glMatrixMode( GLenum mode )

PARAMETERS

mode 

Specifies which matrix stack is the target for subsequent matrix operations. Three values are accepted: GL_MODELVIEW, GL_PROJECTION, and GL_TEXTURE.

DESCRIPTION

glMatrixMode sets the current matrix mode. mode can assume one of three values:

GL_MODELVIEW 


Applies subsequent matrix operations to the modelview matrix stack.

GL_PROJECTION 


Applies subsequent matrix operations to the projection matrix stack.

GL_TEXTURE 


Applies subsequent matrix operations to the texture matrix stack.

ERRORS

GL_INVALID_ENUM is generated if mode is not an accepted value.

GL_INVALID_OPERATION is generated if glMatrixMode is called between a call to glBegin and the corresponding call to glEnd.

ASSOCIATED GETS

glGet with argument GL_MATRIX_MODE

glMultMatrix

NAME

glMultMatrixd, glMultMatrixf - multiply the current matrix by an arbitrary matrix

C SPECIFICATION

void glMultMatrixd( const GLdouble *m )

void glMultMatrixf( const GLfloat *m )

PARAMETERS

m 

Specifies a pointer a to 4×4 matrix stored in column-major order as sixteen consecutive values.

DESCRIPTION

glMultMatrix multiplies the current matrix with the one specified in m. That is, if M is the current matrix and T is the matrix passed to glMultMatrix, then M is replaced with MT.

The current matrix is the projection matrix, modelview matrix, or texture matrix, determined by the current matrix mode (see "glMatrixMode" ).

m points to a 4×4 matrix of single- or double-precision floating-point values stored in column-major order. That is, the matrix is stored as

ERRORS

GL_INVALID_OPERATION is generated if glMultMatrix is called between a call to glBegin and the corresponding call to glEnd.

ASSOCIATED GETS

glGet with argument GL_MATRIX_MODE
glGet
with argument GL_MODELVIEW_MATRIX
glGet
with argument GL_PROJECTION_MATRIX
glGet
with argument GL_TEXTURE_MATRIX

glNewList

NAME

glNewList, glEndList - create or replace a display list

C SPECIFICATION

void glNewList( GLuint list, GLenum mode )

PARAMETERS

list 

Specifies the display list name.

mode 

Specifies the compilation mode, which can be GL_COMPILE or GL_COMPILE_AND_EXECUTE.

C SPECIFICATION

void glEndList( void )

DESCRIPTION

Display lists are groups of GL commands that have been stored for subsequent execution. The display lists are created with glNewList. All subsequent commands are placed in the display list, in the order issued, until glEndList is called.

glNewList has two arguments. The first argument, list, is a positive integer that becomes the unique name for the display list. Names can be created and reserved with glGenLists and tested for uniqueness with glIsList. The second argument, mode, is a symbolic constant that can assume one of two values:

GL_COMPILE 

Commands are merely compiled.

GL_COMPILE_AND_EXECUTE 


Commands are executed as they are compiled into the display list.

Certain commands are not compiled into the display list, but are executed immediately, regardless of the display-list mode. These commands are glIsList, glGenLists, glDeleteLists, glFeedbackBuffer, glSelectBuffer, glRenderMode, glReadPixels, glPixelStore, glFlush, glFinish, glIsEnabled, and all of the glGet routines.

When glEndList is encountered, the display-list definition is completed by associating the list with the unique name list (specified in the glNewList command). If a display list with name list already exists, it is replaced only when glEndList is called.

NOTES

glCallList and glCallLists can be entered into display lists. The commands in the display list or lists executed by glCallList or glCallLists are not included in the display list being created, even if the list creation mode is GL_COMPILE_AND_EXECUTE.

ERRORS

GL_INVALID_VALUE is generated if list is zero.

GL_INVALID_ENUM is generated if mode is not an accepted value.

GL_INVALID_OPERATION is generated if glEndList is called without a preceding glNewList, or if glNewList is called while a display list is being defined.

GL_INVALID_OPERATION is generated if glNewList is called between a call to glBegin and the corresponding call to glEnd.

ASSOCIATED GETS

glIsList

glNormal

NAME

glNormal3b, glNormal3d, glNormal3f, glNormal3i, glNormal3s, glNormal3bv, glNormal3dv, glNormal3fv, glNormal3iv, glNormal3sv - set the current normal vector

C SPECIFICATION

void glNormal3b( GLbyte nx, GLbyte ny, GLbyte nz )
void glNormal3d( GLdouble nx, GLdouble ny, GLdouble nz )
void glNormal3f( GLfloat nx, GLfloat ny, GLfloat nz )
void glNormal3i( GLint nx, GLint ny, GLint nz )
void glNormal3s( GLshort nx, GLshort ny, GLshort nz )

PARAMETERS

nx, ny, nz 

Specify the x, y, and z coordinates of the new current normal. The initial value of the current normal is (0,0,1).

C SPECIFICATION

void glNormal3bv( const GLbyte *v )
void glNormal3dv( const GLdouble *v )
void glNormal3fv( const GLfloat *v )
void glNormal3iv( const GLint *v )
void glNormal3sv( const GLshort *v )

PARAMETERS

v 

Specifies a pointer to an array of three elements: the x, y, and z coordinates of the new current normal.

DESCRIPTION

The current normal is set to the given coordinates whenever glNormal is issued. Byte, short, or integer arguments are converted to floating-point format with a linear mapping that maps the most positive representable integer value to 1.0, and the most negative representable integer value to -1.0.

Normals specified with glNormal need not have unit length. If normalization is enabled, then normals specified with glNormal are normalized after transformation. Normalization is controlled using glEnable and glDisable with the argument GL_NORMALIZE. By default, normalization is disabled.

NOTES

The current normal can be updated at any time. In particular, glNormal can be called between a call to glBegin and the corresponding call to glEnd.

ASSOCIATED GETS

glGet with argument GL_CURRENT_NORMAL
glIsEnable
with argument GL_NORMALIZE

glOrtho

NAME

glOrtho - multiply the current matrix by an orthographic matrix

C SPECIFICATION

void glOrtho( GLdouble left, GLdouble right, GLdouble bottom, GLdouble top, GLdouble near, GLdouble far )

PARAMETERS

left, right 

Specify the coordinates for the left and right vertical clipping planes.

bottom, top 

Specify the coordinates for the bottom and top horizontal clipping planes.

near, far 

Specify the distances to the nearer and farther depth clipping planes. These distances are negative if the plane is to be behind the viewer.

DESCRIPTION

glOrtho describes a perspective matrix that produces a parallel projection. (left, bottom, -near) and (right, top, -near) specify the points on the near clipping plane that are mapped to the lower left and upper right corners of the window, respectively, assuming that the eye is located at (0, 0, 0). -far specifies the location of the far clipping plane. Both near and far can be either positive or negative. The corresponding matrix is

where

The current matrix is multiplied by this matrix with the result replacing the current matrix. That is, if M is the current matrix and O is the ortho matrix, then M is replaced with M o O.

Use glPushMatrix and glPopMatrix to save and restore the current matrix stack.

ERRORS

GL_INVALID_OPERATION is generated if glOrtho is called between a call to glBegin and the corresponding call to glEnd.

ASSOCIATED GETS

glGet with argument GL_MATRIX_MODE
glGet
with argument GL_MODELVIEW_MATRIX
glGet
with argument GL_PROJECTION_MATRIX
glGet
with argument GL_TEXTURE_MATRIX

glPassThrough

NAME

glPassThrough - place a marker in the feedback buffer

C SPECIFICATION

void glPassThrough( GLfloat token )

PARAMETERS

token 

Specifies a marker value to be placed in the feedback buffer following a GL_PASS_THROUGH_TOKEN.

DESCRIPTION

Feedback is a GL render mode. The mode is selected by calling glRenderMode with GL_FEEDBACK. When the GL is in feedback mode, no pixels are produced by rasterization. Instead, information about primitives that would have been rasterized is fed back to the application using the GL. See "glFeedbackBuffer" for a description of the feedback buffer and the values in it.

glPassThrough inserts a user-defined marker in the feedback buffer when it is executed in feedback mode. token is returned as if it were a primitive; it is indicated with its own unique identifying value: GL_PASS_THROUGH_TOKEN. The order of glPassThrough commands with respect to the specification of graphics primitives is maintained.

NOTES

glPassThrough is ignored if the GL is not in feedback mode.

ERRORS

GL_INVALID_OPERATION is generated if glPassThrough is called between a call to glBegin and the corresponding call to glEnd.

ASSOCIATED GETS

glGet with argument GL_RENDER_MODE

glPixelMap

NAME

glPixelMapfv, glPixelMapuiv, glPixelMapusv - set up pixel transfer maps

C SPECIFICATION

void glPixelMapfv( GLenum map, GLint mapsize, const GLfloat *values )
void glPixelMapuiv( GLenum map, GLint mapsize, const GLuint *values )
void glPixelMapusv( GLenum map, GLint mapsize, const GLushort *values )

PARAMETERS

map 

Specifies a symbolic map name. Must be one of the following: GL_PIXEL_MAP_I_TO_I, GL_PIXEL_MAP_S_TO_S, GL_PIXEL_MAP_I_TO_R, GL_PIXEL_MAP_I_TO_G, GL_PIXEL_MAP_I_TO_B, GL_PIXEL_MAP_I_TO_A, GL_PIXEL_MAP_R_TO_R, GL_PIXEL_MAP_G_TO_G, GL_PIXEL_MAP_B_TO_B, or GL_PIXEL_MAP_A_TO_A.

mapsize 

Specifies the size of the map being defined.

values 

Specifies an array of mapsize values.

DESCRIPTION

glPixelMap sets up translation tables, or maps, used by glDrawPixels, glReadPixels, glCopyPixels, glTexImage1D, and glTexImage2D. Use of these maps is described completely in the glPixelTransfer reference page, and partly in the reference pages for the pixel and texture image commands. Only the specification of the maps is described in this reference page.

map is a symbolic map name, indicating one of ten maps to set. mapsize specifies the number of entries in the map, and values is a pointer to an array of mapsize map values.

The ten maps are as follows:

GL_PIXEL_MAP_I_TO_I 


Maps color indices to color indices.

GL_PIXEL_MAP_S_TO_S 


Maps stencil indices to stencil indices.

GL_PIXEL_MAP_I_TO_R 


Maps color indices to red components.

GL_PIXEL_MAP_I_TO_G 


Maps color indices to green components.

GL_PIXEL_MAP_I_TO_B 


Maps color indices to blue components.

GL_PIXEL_MAP_I_TO_A 


Maps color indices to alpha components.

GL_PIXEL_MAP_R_TO_R 


Maps red components to red components.

GL_PIXEL_MAP_G_TO_G 


Maps green components to green components.

GL_PIXEL_MAP_B_TO_B 


Maps blue components to blue components.

GL_PIXEL_MAP_A_TO_A 


Maps alpha components to alpha components.

The entries in a map can be specified as single-precision floating-point numbers, unsigned short integers, or unsigned long integers. Maps that store color component values (all but GL_PIXEL_MAP_I_TO_I and GL_PIXEL_MAP_S_TO_S) retain their values in floating-point format, with unspecified mantissa and exponent sizes. Floating-point values specified by glPixelMapfv are converted directly to the internal floating-point format of these maps, then clamped to the range [0,1]. Unsigned integer values specified by glPixelMapusv and glPixelMapuiv are converted linearly such that the largest representable integer maps to 1.0, and zero maps to 0.0.

Maps that store indices, GL_PIXEL_MAP_I_TO_I and GL_PIXEL_MAP_S_TO_S, retain their values in fixed-point format, with an unspecified number of bits to the right of the binary point. Floating-point values specified by glPixelMapfv are converted directly to the internal fixed-point format of these maps. Unsigned integer values specified by glPixelMapusv and glPixelMapuiv specify integer values, with all zeros to the right of the binary point.

The table below shows the initial sizes and values for each of the maps. Maps that are indexed by either color or stencil indices must have mapsize = 2n for some n or results are undefined. The maximum allowable size for each map depends on the implementation and can be determined by calling glGet with argument GL_MAX_PIXEL_MAP_TABLE. The single maximum applies to all maps, and it is at least 32.

map

lookup index

lookup value

initial size

initial value

 

GL_PIXEL_MAP_I_TO_I

color index

color index

1

0.0

 

GL_PIXEL_MAP_S_TO_S

stencil index

stencil index

1

0

 

GL_PIXEL_MAP_I_TO_R

color index

R

1

0.0

 

GL_PIXEL_MAP_I_TO_G

color index

G

1

0.0

 

GL_PIXEL_MAP_I_TO_B

color index

B

1

0.0

 

GL_PIXEL_MAP_I_TO_A

color index

A

1

0.0

 

GL_PIXEL_MAP_R_TO_R

R

R

1

0.0

 

GL_PIXEL_MAP_G_TO_G

G

G

1

0.0

 

GL_PIXEL_MAP_B_TO_B

B

B

1

0.0

 

GL_PIXEL_MAP_A_TO_A

A

A

1

0.0


ERRORS

GL_INVALID_ENUM is generated if map is not an accepted value.

GL_INVALID_VALUE is generated if mapsize is negative or larger than GL_MAX_PIXEL_MAP_TABLE.

GL_INVALID_VALUE is generated if map is GL_PIXEL_MAP_I_TO_I, GL_PIXEL_MAP_S_TO_S, GL_PIXEL_MAP_I_TO_R, GL_PIXEL_MAP_I_TO_G, GL_PIXEL_MAP_I_TO_B, or GL_PIXEL_MAP_I_TO_A, and mapsize is not a power of two.

GL_INVALID_OPERATION is generated if glPixelMap is called between a call to glBegin and the corresponding call to glEnd.

ASSOCIATED GETS

glGetPixelMap
glGet
with argument GL_PIXEL_MAP_I_TO_I_SIZE
glGet
with argument GL_PIXEL_MAP_S_TO_S_SIZE
glGet
with argument GL_PIXEL_MAP_I_TO_R_SIZE
glGet
with argument GL_PIXEL_MAP_I_TO_G_SIZE
glGet
with argument GL_PIXEL_MAP_I_TO_B_SIZE
glGet
with argument GL_PIXEL_MAP_I_TO_A_SIZE
glGet
with argument GL_PIXEL_MAP_R_TO_R_SIZE
glGet
with argument GL_PIXEL_MAP_G_TO_G_SIZE glGet with argument GL_PIXEL_MAP_B_TO_B_SIZE

glGet with argument GL_PIXEL_MAP_A_TO_A_SIZE
glGet with argument GL_MAX_PIXEL_MAP_TABLE

glPixelStore

NAME

glPixelStoref, glPixelStorei - set pixel storage modes

C SPECIFICATION

void glPixelStoref( GLenum pname, GLfloat param )
void glPixelStorei( GLenum pname, GLint param )

PARAMETERS

pname 

Specifies the symbolic name of the parameter to be set. Six values affect the packing of pixel data into memory: GL_PACK_SWAP_BYTES, GL_PACK_LSB_FIRST, GL_PACK_ROW_LENGTH, GL_PACK_SKIP_PIXELS, GL_PACK_SKIP_ROWS, and GL_PACK_ALIGNMENT. Six more affect the unpacking of pixel data from memory: GL_UNPACK_SWAP_BYTES, GL_UNPACK_LSB_FIRST, GL_UNPACK_ROW_LENGTH, GL_UNPACK_SKIP_PIXELS, GL_UNPACK_SKIP_ROWS, and GL_UNPACK_ALIGNMENT.

param 

Specifies the value that pname is set to.

DESCRIPTION

glPixelStore sets pixel storage modes that affect the operation of subsequent glDrawPixels and glReadPixels as well as the unpacking of polygon stipple patterns (see "glPolygonStipple" ), bitmaps (see "glBitmap" ), and texture patterns (see "glTexImage1D" and "glTexImage2D" ).

pname is a symbolic constant indicating the parameter to be set, and param is the new value. Six of the twelve storage parameters affect how pixel data is returned to client memory, and are therefore significant only for glReadPixels commands. They are as follows:

GL_PACK_SWAP_BYTES 


If true, byte ordering for multibyte color components, depth components, color indices, or stencil indices is reversed. That is, if a four-byte component is made up of bytes b0, b1, b2, b3, it is stored in memory as b3, b2, b1, b0 if GL_PACK_SWAP_BYTES is true. GL_PACK_SWAP_BYTES has no effect on the memory order of components within a pixel, only on the order of bytes within components or indices. For example, the three components of a GL_RGB format pixel are always stored with red first, green second, and blue third, regardless of the value of GL_PACK_SWAP_BYTES.

GL_PACK_LSB_FIRST 


If true, bits are ordered within a byte from least significant to most significant; otherwise, the first bit in each byte is the most significant one. This parameter is significant for bitmap data only.

GL_PACK_ROW_LENGTH 


If greater than zero, GL_PACK_ROW_LENGTH defines the number of pixels in a row. If the first pixel of a row is placed at location p in memory, then the location of the first pixel of the next row is obtained by skipping

 

components or indices, where n is the number of components or indices in a pixel, l is the number of pixels in a row (GL_PACK_ROW_LENGTH if it is greater than zero, the width argument to the pixel routine otherwise), a is the value of GL_PACK_ALIGNMENT, and s is the size, in bytes, of a single component (if a < s, then it is as if a = s). In the case of 1-bit values, the location of the next row is obtained by skipping

 

components or indices.

 

The word component in this description refers to the nonindex values red, green, blue, alpha, and depth. Storage format GL_RGB, for example, has three components per pixel: first red, then green, and finally blue.

GL_PACK_SKIP_PIXELS and GL_PACK_SKIP_ROWS 


These values are provided as a convenience to the programmer; they provide no functionality that cannot be duplicated simply by incrementing the pointer passed to glReadPixels. Setting GL_PACK_SKIP_PIXELS to i is equivalent to incrementing the pointer by i n components or indices, where n is the number of components or indices in each pixel. Setting GL_PACK_SKIP_ROWS to j is equivalent to incrementing the pointer by j k components or indices, where k is the number of components or indices per row, as computed above in the GL_PACK_ROW_LENGTH section.

GL_PACK_ALIGNMENT 


Specifies the alignment requirements for the start of each pixel row in memory. The allowable values are 1 (byte-alignment), 2 (rows aligned to even-numbered bytes), 4 (word alignment), and 8 (rows start on double-word boundaries).

The other six of the twelve storage parameters affect how pixel data is read from client memory. These values are significant for glDrawPixels, glTexImage1D, glTexImage2D, glBitmap, and glPolygonStipple. They are as follows:

GL_UNPACK_SWAP_BYTES 


If true, byte ordering for multibyte color components, depth components, color indices, or stencil indices is reversed. That is, if a four-byte component is made up of bytes b0, b1, b2, b3, it is taken from memory as b3, b2, b1, b0 if GL_UNPACK_SWAP_BYTES is true. GL_UNPACK_SWAP_BYTES has no effect on the memory order of components within a pixel, only on the order of bytes within components or indices. For example, the three components of a GL_RGB format pixel are always stored with red first, green second, and blue third, regardless of the value of GL_UNPACK_SWAP_BYTES.

GL_UNPACK_LSB_FIRST 


If true, bits are ordered within a byte from least significant to most significant; otherwise, the first bit in each byte is the most significant one. This is significant for bitmap data only.

GL_UNPACK_ROW_LENGTH 


If greater than zero, GL_UNPACK_ROW_LENGTH defines the number of pixels in a row. If the first pixel of a row is placed at location p in memory, then the location of the first pixel of the next row is obtained by skipping

 

components or indices, where n is the number of components or indices in a pixel, l is the number of pixels in a row (GL_UNPACK_ROW_LENGTH if it is greater than zero, the width argument to the pixel routine otherwise), a is the value of GL_UNPACK_ALIGNMENT, and s is the size, in bytes, of a single component (if a < s, then it is as if a = s). In the case of 1-bit values, the location of the next row is obtained by skipping

 

components or indices.

 

The word component in this description refers to the nonindex values red, green, blue, alpha, and depth. Storage format GL_RGB, for example, has three components per pixel: first red, then green, and finally blue.

GL_UNPACK_SKIP_PIXELS and GL_UNPACK_SKIP_ROWS 


These values are provided as a convenience to the programmer; they provide no functionality that cannot be duplicated simply by incrementing the pointer passed to glDrawPixels, glTexImage1D, glTexImage2D, glBitmap, or glPolygonStipple. Setting GL_UNPACK_SKIP_PIXELS to i is equivalent to incrementing the pointer by i n components or indices, where n is the number of components or indices in each pixel. Setting GL_UNPACK_SKIP_ROWS to j is equivalent to incrementing the pointer by j k components or indices, where k is the number of components or indices per row, as computed above in the GL_UNPACK_ROW_LENGTH section.

GL_UNPACK_ALIGNMENT 


Specifies the alignment requirements for the start of each pixel row in memory. The allowable values are 1 (byte-alignment), 2 (rows aligned to even-numbered bytes), 4 (word alignment), and 8 (rows start on double-word boundaries).

The following table gives the type, initial value, and range of valid values for each of the storage parameters that can be set with glPixelStore.

pname

type

initial value

valid range

GL_PACK_SWAP_BYTES

Boolean

false

true or false

GL_PACK_LSB_FIRST

Boolean

false

true or false

GL_PACK_ROW_LENGTH

integer

0

[0, inf)

GL_PACK_SKIP_ROWS

integer

0

[0, inf)

GL_PACK_SKIP_PIXELS

integer

0

[0, inf)

GL_PACK_ALIGNMENT

integer

4

1, 2, 4, or 8

GL_UNPACK_SWAP_BYTES

Boolean

false

true or false

GL_UNPACK_LSB_FIRST

Boolean

false

true or false

GL_UNPACK_ROW_LENGTH

integer

0

[0, inf)

GL_UNPACK_SKIP_ROWS

integer

0

[0, inf)

GL_UNPACK_SKIP_PIXELS

integer

0

[0, inf)

GL_UNPACK_ALIGNMENT

integer

4

1, 2, 4, or 8

glPixelStoref can be used to set any pixel store parameter. If the parameter type is Boolean, then if param is 0.0, the parameter is false; otherwise it is set to true. If pname is a integer type parameter, param is rounded to the nearest integer.

Likewise, glPixelStorei can also be used to set any of the pixel store parameters. Boolean parameters are set to false if param is 0 and true otherwise. param is converted to floating point before being assigned to real-valued parameters.

NOTES

The pixel storage modes in effect when glDrawPixels, glReadPixels, glTexImage1D, glTexImage2D, glBitmap, or glPolygonStipple is placed in a display list control the interpretation of memory data. The pixel storage modes in effect when a display list is executed are not significant.

ERRORS

GL_INVALID_ENUM is generated if pname is not an accepted value.

GL_INVALID_VALUE is generated if a negative row length, pixel skip, or row skip value is specified, or if alignment is specified as other than 1, 2, 4, or 8.

GL_INVALID_OPERATION is generated if glPixelStore is called between a call to glBegin and the corresponding call to glEnd.

ASSOCIATED GETS

glGet with argument GL_PACK_SWAP_BYTES
glGet
with argument GL_PACK_LSB_FIRST
glGet
with argument GL_PACK_ROW_LENGTH
glGet
with argument GL_PACK_SKIP_ROWS
glGet
with argument GL_PACK_SKIP_PIXELS
glGet
with argument GL_PACK_ALIGNMENT
glGet
with argument GL_UNPACK_SWAP_BYTES
glGet
with argument GL_UNPACK_LSB_FIRST
glGet
with argument GL_UNPACK_ROW_LENGTH
glGet
with argument GL_UNPACK_SKIP_ROWS
glGet
with argument GL_UNPACK_SKIP_PIXELS
glGet
with argument GL_UNPACK_ALIGNMENT

glPixelTransfer

NAME

glPixelTransferf, glPixelTransferi - set pixel transfer modes

C SPECIFICATION

void glPixelTransferf( GLenum pname, GLfloat param )
void glPixelTransferi( GLenum pname, GLint param )

PARAMETERS

pname 

Specifies the symbolic name of the pixel transfer parameter to be set. Must be one of the following: GL_MAP_COLOR, GL_MAP_STENCIL, GL_INDEX_SHIFT, GL_INDEX_OFFSET, GL_RED_SCALE, GL_RED_BIAS, GL_GREEN_SCALE, GL_GREEN_BIAS, GL_BLUE_SCALE, GL_BLUE_BIAS, GL_ALPHA_SCALE, GL_ALPHA_BIAS, GL_DEPTH_SCALE, or GL_DEPTH_BIAS.

param 

Specifies the value that pname is set to.

DESCRIPTION

glPixelTransfer sets pixel transfer modes that affect the operation of subsequent glDrawPixels, glReadPixels, glCopyPixels, glTexImage1D, and glTexImage2D commands. The algorithms that are specified by pixel transfer modes operate on pixels after they are read from the frame buffer (glReadPixels and glCopyPixels) or unpacked from client memory (glDrawPixels, glTexImage1D, and glTexImage2D). Pixel transfer operations happen in the same order, and in the same manner, regardless of the command that resulted in the pixel operation. Pixel storage modes (see "glPixelStore" ) control the unpacking of pixels being read from client memory, and the packing of pixels being written back into client memory.

Pixel transfer operations handle four fundamental pixel types: color, color index, depth, and stencil. Color pixels are made up of four floating-point values with unspecified mantissa and exponent sizes, scaled such that 0.0 represents zero intensity and 1.0 represents full intensity. Color indices comprise a single fixed-point value, with unspecified precision to the right of the binary point. Depth pixels comprise a single floating-point value, with unspecified mantissa and exponent sizes, scaled such that 0.0 represents the minimum depth buffer value, and 1.0 represents the maximum depth buffer value. Finally, stencil pixels comprise a single fixed-point value, with unspecified precision to the right of the binary point.

The pixel transfer operations performed on the four basic pixel types are as follows:

Color 

Each of the four color components is multiplied by a scale factor, then added to a bias factor. That is, the red component is multiplied by GL_RED_SCALE, then added to GL_RED_BIAS; the green component is multiplied by GL_GREEN_SCALE, then added to GL_GREEN_BIAS; the blue component is multiplied by GL_BLUE_SCALE, then added to GL_BLUE_BIAS; and the alpha component is multiplied by GL_ALPHA_SCALE, then added to GL_ALPHA_BIAS. After all four color components are scaled and biased, each is clamped to the range [0,1]. All color scale and bias values are specified with glPixelTransfer.

 

If GL_MAP_COLOR is true, each color component is scaled by the size of the corresponding color-to-color map, then replaced by the contents of that map indexed by the scaled component. That is, the red component is scaled by GL_PIXEL_MAP_R_TO_R_SIZE, then replaced by the contents of GL_PIXEL_MAP_R_TO_R indexed by itself. The green component is scaled by GL_PIXEL_MAP_G_TO_G_SIZE, then replaced by the contents of GL_PIXEL_MAP_G_TO_G indexed by itself. The blue component is scaled by GL_PIXEL_MAP_B_TO_B_SIZE, then replaced by the contents of GL_PIXEL_MAP_B_TO_B indexed by itself. And the alpha component is scaled by GL_PIXEL_MAP_A_TO_A_SIZE, then replaced by the contents of GL_PIXEL_MAP_A_TO_A indexed by itself. All components taken from the maps are then clamped to the range [0,1]. GL_MAP_COLOR is specified with glPixelTransfer. The contents of the various maps are specified with glPixelMap.

Color index 

Each color index is shifted left by GL_INDEX_SHIFT bits, filling with zeros any bits beyond the number of fraction bits carried by the fixed-point index. If GL_INDEX_SHIFT is negative, the shift is to the right, again zero filled. Then GL_INDEX_OFFSET is added to the index. GL_INDEX_SHIFT and GL_INDEX_OFFSET are specified with glPixelTransfer.

 

From this point, operation diverges depending on the required format of the resulting pixels. If the resulting pixels are to be written to a color index buffer, or if they are being read back to client memory in GL_COLOR_INDEX format, the pixels continue to be treated as indices. If GL_MAP_COLOR is true, each index is masked by 2n - 1, where n is GL_PIXEL_MAP_I_TO_I_SIZE, then replaced by the contents of GL_PIXEL_MAP_I_TO_I indexed by the masked value. GL_MAP_COLOR is specified with glPixelTransfer. The contents of the index map are specified with glPixelMap.

 

If the resulting pixels are to be written to an RGBA color buffer, or if they are being read back to client memory in a format other than GL_COLOR_INDEX, the pixels are converted from indices to colors by referencing the four maps GL_PIXEL_MAP_I_TO_R, GL_PIXEL_MAP_I_TO_G, GL_PIXEL_MAP_I_TO_B, and GL_PIXEL_MAP_I_TO_A. Before being dereferenced, the index is masked by 2n - 1, where n is GL_PIXEL_MAP_I_TO_R_SIZE for the red map, GL_PIXEL_MAP_I_TO_G_SIZE for the green map, GL_PIXEL_MAP_I_TO_B_SIZE for the blue map, and GL_PIXEL_MAP_I_TO_A_SIZE for the alpha map. All components taken from the maps are then clamped to the range [0,1]. The contents of the four maps are specified with glPixelMap.

Depth 

Each depth value is multiplied by GL_DEPTH_SCALE, added to GL_DEPTH_BIAS, then clamped to the range [0,1].

Stencil 

Each index is shifted GL_INDEX_SHIFT bits just as a color index is, then added to GL_INDEX_OFFSET. If GL_MAP_STENCIL is true, each index is masked by 2n - 1, where n is GL_PIXEL_MAP_S_TO_S_SIZE, then replaced by the contents of GL_PIXEL_MAP_S_TO_S indexed by the masked value.

The following table gives the type, initial value, and range of valid values for each of the pixel transfer parameters that are set with glPixelTransfer.

pname

type

initial value

valid range

 

GL_MAP_COLOR

Boolean

false

true/false

 

GL_MAP_STENCIL

Boolean

false

true/false

 

GL_INDEX_SHIFT

integer

0

(-inf, inf)

GL_INDEX_OFFSET

integer

0

(-inf, inf)

GL_RED_SCALE

float

1.0

(-inf, inf)

GL_GREEN_SCALE

float

1.0

(-inf, inf)

GL_BLUE_SCALE

float

1.0

(-inf, inf)

GL_ALPHA_SCALE

float

1.0

(-inf, inf)

GL_DEPTH_SCALE

float

1.0

(-inf, inf)

GL_RED_BIAS

float

0.0

(-inf, inf)

GL_GREEN_BIAS

float

0.0

(-inf, inf)

GL_BLUE_BIAS

float

0.0

(-inf, inf)

GL_ALPHA_BIAS

float

0.0

(-inf, inf)

GL_DEPTH_BIAS

float

0.0

(-inf, inf)

glPixelTransferf can be used to set any pixel transfer parameter. If the parameter type is Boolean, 0.0 implies false and any other value implies true. If pname is an integer parameter, param is rounded to the nearest integer.

Likewise, glPixelTransferi can also be used to set any of the pixel transfer parameters. Boolean parameters are set to false if param is 0 and true otherwise. param is converted to floating point before being assigned to real-valued parameters.

NOTES

If a glDrawPixels, glReadPixels, glCopyPixels, glTexImage1D, or glTexImage2D command is placed in a display list (see "glNewList" and "glCallList" ), the pixel transfer mode settings in effect when the display list is executed are the ones that are used. They may be different from the settings when the command was compiled into the display list.

ERRORS

GL_INVALID_ENUM is generated if pname is not an accepted value.

GL_INVALID_OPERATION is generated if glPixelTransfer is called between a call to glBegin and the corresponding call to glEnd.

ASSOCIATED GETS

glGet with argument GL_MAP_COLOR
glGet
with argument GL_MAP_STENCIL
glGet
with argument GL_INDEX_SHIFT
glGet
with argument GL_INDEX_OFFSET
glGet
with argument GL_RED_SCALE
glGet
with argument GL_RED_BIAS
glGet
with argument GL_GREEN_SCALE
glGet
with argument GL_GREEN_BIAS
glGet with argument GL_BLUE_SCALE
glGet with argument GL_BLUE_BIAS
glGet
with argument GL_ALPHA_SCALE
glGet with argument GL_ALPHA_BIAS
glGet with argument GL_DEPTH_SCALE
glGet
with argument GL_DEPTH_BIAS

glPixelZoom

NAME

glPixelZoom - specify the pixel zoom factors

C SPECIFICATION

void glPixelZoom( GLfloat xfactor, GLfloat yfactor )

PARAMETERS

xfactor, yfactor 

Specify the x and y zoom factors for pixel write operations.

DESCRIPTION

glPixelZoom specifies values for the x and y zoom factors. During the execution of glDrawPixels or glCopyPixels, if (xr, yr) is the current raster position, and a given element is in the nth row and mth column of the pixel rectangle, then pixels whose centers are in the rectangle with corners at

(xr + n ·xfactor, yr + m ·yfactor)

(xr + (n+1) ·xfactor, yr + (m+1) ·yfactor)

are candidates for replacement. Any pixel whose center lies on the bottom or left edge of this rectangular region is also modified.

Pixel zoom factors are not limited to positive values. Negative zoom factors reflect the resulting image about the current raster position.

ERRORS

GL_INVALID_OPERATION is generated if glPixelZoom is called between a call to glBegin and the corresponding call to glEnd.

ASSOCIATED GETS

glGet with argument GL_ZOOM_X
glGet
with argument GL_ZOOM_Y

glPointSize

NAME

glPointSize - specify the diameter of rasterized points

C SPECIFICATION

void glPointSize( GLfloat size )

PARAMETERS

size 

Specifies the diameter of rasterized points. The default is 1.0.

DESCRIPTION

glPointSize specifies the rasterized diameter of both aliased and antialiased points. Using a point size other than 1.0 has different effects, depending on whether point antialiasing is enabled. Point antialiasing is controlled by calling glEnable and glDisable with argument GL_POINT_SMOOTH.

If point antialiasing is disabled, the actual size is determined by rounding the supplied size to the nearest integer. (If the rounding results in the value 0, it is as if the point size were 1.) If the rounded size is odd, then the center point ( x , y ) of the pixel fragment that represents the point is computed as

where w subscripts indicate window coordinates. All pixels that lie within the square grid of the rounded size centered at ( x , y ) make up the fragment. If the size is even, the center point is

and the rasterized fragment's centers are the half-integer window coordinates within the square of the rounded size centered at ( x , y ). All pixel fragments produced in rasterizing a nonantialiased point are assigned the same associated data, that of the vertex corresponding to the point.

If antialiasing is enabled, then point rasterization produces a fragment for each pixel square that intersects the region lying within the circle having diameter equal to the current point size and centered at the point's ( xw , yw ). The coverage value for each fragment is the window coordinate area of the intersection of the circular region with the corresponding pixel square. This value is saved and used in the final rasterization step. The data associated with each fragment is the data associated with the point being rasterized.

Not all sizes are supported when point antialiasing is enabled. If an unsupported size is requested, the nearest supported size is used. Only size 1.0 is guaranteed to be supported; others depend on the implementation. The range of supported sizes and the size difference between supported sizes within the range can be queried by calling glGet with arguments GL_POINT_SIZE_RANGE and GL_POINT_SIZE_GRANULARITY.

NOTES

The point size specified by glPointSize is always returned when GL_POINT_SIZE is queried. Clamping and rounding for aliased and antialiased points have no effect on the specified value.

Non-antialiased point size may be clamped to an implementation-dependent maximum. Although this maximum cannot be queried, it must be no less than the maximum value for antialiased points, rounded to the nearest integer value.

ERRORS

GL_INVALID_VALUE is generated if size is less than or equal to zero.

GL_INVALID_OPERATION is generated if glPointSize is called between a call to glBegin and the corresponding call to glEnd.

ASSOCIATED GETS

glGet with argument GL_POINT_SIZE
glGet with argument GL_POINT_SIZE_RANGE
glGet with argument GL_POINT_SIZE_GRANULARITY
glIsEnabled with argument GL_POINT_SMOOTH

SEE ALSO

"glEnable" , glPointSmooth

glPolygonMode

NAME

glPolygonMode - select a polygon rasterization mode

C SPECIFICATION

void glPolygonMode( GLenum face, GLenum mode )

PARAMETERS

face 

Specifies the polygons that mode applies to. Must be GL_FRONT for front-facing polygons, GL_BACK for back-facing polygons, or GL_FRONT_AND_BACK for front- and back-facing polygons.

mode 

Specifies the way polygons will be rasterized. Accepted values are GL_POINT, GL_LINE, and GL_FILL. The default is GL_FILL for both front- and back-facing polygons.

DESCRIPTION

glPolygonMode controls the interpretation of polygons for rasterization. face describes which polygons mode applies to: front-facing polygons (GL_FRONT), back-facing polygons (GL_BACK), or both (GL_FRONT_AND_BACK). The polygon mode affects only the final rasterization of polygons. In particular, a polygon's vertices are lit and the polygon is clipped and possibly culled before these modes are applied.

Three modes are defined and can be specified in mode:

GL_POINT 

Polygon vertices that are marked as the start of a boundary edge are drawn as points. Point attributes such as GL_POINT_SIZE and GL_POINT_SMOOTH control the rasterization of the points. Polygon rasterization attributes other than GL_POLYGON_MODE have no effect.

GL_LINE 

Boundary edges of the polygon are drawn as line segments. They are treated as connected line segments for line stippling; the line stipple counter and pattern are not reset between segments (see "glLineStipple" ). Line attributes such as GL_LINE_WIDTH and GL_LINE_SMOOTH control the rasterization of the lines. Polygon rasterization attributes other than GL_POLYGON_MODE have no effect.

GL_FILL 

The interior of the polygon is filled. Polygon attributes such as GL_POLYGON_STIPPLE and GL_POLYGON_SMOOTH control the rasterization of the polygon.

EXAMPLES

To draw a surface with filled back-facing polygons and outlined front-facing polygons, call

glPolygonMode(GL_FRONT, GL_LINE);

NOTES

Vertices are marked as boundary or nonboundary with an edge flag. Edge flags are generated internally by the GL when it decomposes polygons, and they can be set explicitly using glEdgeFlag.

ERRORS

GL_INVALID_ENUM is generated if either face or mode is not an accepted value.

GL_INVALID_OPERATION is generated if glPolygonMode is called between a call to glBegin and the corresponding call to glEnd.

ASSOCIATED GETS

glGet with argument GL_POLYGON_MODE

glPolygonStipple

NAME

glPolygonStipple - set the polygon stippling pattern

C SPECIFICATION

void glPolygonStipple( const GLubyte *mask )

PARAMETERS

mask 

Specifies a pointer to a 32×32 stipple pattern that will be unpacked from memory in the same way that glDrawPixels unpacks pixels.

DESCRIPTION

Polygon stippling, like line stippling (see "glLineStipple" ), masks out certain fragments produced by rasterization, creating a pattern. Stippling is independent of polygon antialiasing.

mask is a pointer to a 32×32 stipple pattern that is stored in memory just like the pixel data supplied to a glDrawPixels with height and width both equal to 32, a pixel format of GL_COLOR_INDEX, and data type of GL_BITMAP. That is, the stipple pattern is represented as a 32×32 array of 1-bit color indices packed in unsigned bytes. glPixelStore parameters like GL_UNPACK_SWAP_BYTES and GL_UNPACK_LSB_FIRST affect the assembling of the bits into a stipple pattern. Pixel transfer operations (shift, offset, pixel map) are not applied to the stipple image, however.

Polygon stippling is enabled and disabled with glEnable and glDisable, using argument GL_POLYGON_STIPPLE. If enabled, a rasterized polygon fragment with window coordinates xw and yw is sent to the next stage of the GL if and only if the (xw mod 32)th bit in the (yw mod 32)th row of the stipple pattern is one. When polygon stippling is disabled, it is as if the stipple pattern were all ones.

ERRORS

GL_INVALID_OPERATION is generated if glPolygonStipple is called between a call to glBegin and the corresponding call to glEnd.

ASSOCIATED GETS

glGetPolygonStipple
glIsEnabled with argument GL_POLYGON_STIPPLE

glPushAttrib

NAME

glPushAttrib, glPopAttrib - push and pop the attribute stack

C SPECIFICATION

void glPushAttrib( GLbitfield mask )

PARAMETERS

mask 

Specifies a mask that indicates which attributes to save. Values for mask are listed in the table below.

C SPECIFICATION

void glPopAttrib( void )

DESCRIPTION

glPushAttrib takes one argument, a mask that indicates which groups of state variables to save on the attribute stack. Symbolic constants are used to set bits in the mask. mask is typically constructed by ORing several of these constants together. The special mask GL_ALL_ATTRIB_BITS can be used to save all stackable states.

The symbolic mask constants and their associated GL state are as follows (the second column lists which attributes are saved):

GL_ACCUM_BUFFER_BIT 


Accumulation buffer clear value

GL_COLOR_BUFFER_BIT  


GL_ALPHA_TEST enable bit
Alpha test function and reference value
GL_BLEND enable bit
Blending source and destination functions
GL_DITHER enable bit
GL_DRAW_BUFFER setting
GL_LOGIC_OP enable bit
Logic op function
Color mode and index mode clear values
Color mode and index mode writemasks

GL_CURRENT_BIT 


Current RGBA color
Current color index
Current normal vector
Current texture coordinates
Current raster position
GL_CURRENT_RASTER_POSITION_VALID flag
RGBA color associated with current raster position
Color index associated with current raster position
Texture coordinates associated with current raster position
GL_EDGE_FLAG flag

GL_DEPTH_BUFFER_BIT  


GL_DEPTH_TEST enable bit
Depth buffer test function
Depth buffer clear value
GL_DEPTH_WRITEMASK enable bit

GL_ENABLE_BIT  


GL_ALPHA_TEST flag
GL_AUTO_NORMAL flag
GL_BLEND flag
Enable bits for the user-definable clipping planes
GL_COLOR_MATERIAL
GL_CULL_FACE flag
GL_DEPTH_TEST flag
GL_DITHER flag
GL_FOG flag
GL_LIGHTi where 0 <= i<GL_MAX_LIGHTS
GL_LIGHTING
flag
GL_LINE_SMOOTH flag
GL_LINE_STIPPLE flag
GL_LOGIC_OP flag
GL_MAP1_x where x is a map type
GL_MAP2_x where x is a map type
GL_NORMALIZE flag
GL_POINT_SMOOTH flag
GL_POLYGON_SMOOTH flag
GL_POLYGON_STIPPLE flag
GL_SCISSOR_TEST flag
GL_STENCIL_TEST flag
GL_TEXTURE_1D flag
GL_TEXTURE_2D flag
Flags GL_TEXTURE_GEN_x where x is S, T, R, or Q

GL_EVAL_BIT 


GL_MAP1_x enable bits, where x is a map type
GL_MAP2_x enable bits, where x is a map type
1-D grid endpoints and divisions
2-D grid endpoints and divisions
GL_AUTO_NORMAL enable bit

GL_FOG_BIT 

GL_FOG enable flag
Fog color
Fog density
Linear fog start
Linear fog end
Fog index
GL_FOG_MODE value

GL_HINT_BIT 


GL_PERSPECTIVE_CORRECTION_HINT setting
GL_POINT_SMOOTH_HINT setting
GL_LINE_SMOOTH_HINT setting
GL_POLYGON_SMOOTH_HINT setting
GL_FOG_HINT setting

GL_LIGHTING_BIT 


GL_COLOR_MATERIAL enable bit
GL_COLOR_MATERIAL_FACE value
Color material parameters that are tracking the current color
Ambient scene color
GL_LIGHT_MODEL_LOCAL_VIEWER value
GL_LIGHT_MODEL_TWO_SIDE setting
GL_LIGHTING enable bit
Enable bit for each light
Ambient, diffuse, and specular intensity for each light
Direction, position, exponent, and cutoff angle for each light
Constant, linear, and quadratic attenuation factors for each light
Ambient, diffuse, specular, and emissive color for each material
Ambient, diffuse, and specular color indices for each material
Specular exponent for each material
GL_SHADE_MODEL setting

GL_LINE_BIT 

GL_LINE_SMOOTH flag
GL_LINE_STIPPLE enable bit
Line stipple pattern and repeat counter
Line width

GL_LIST_BIT 

GL_LIST_BASE setting

GL_PIXEL_MODE_BIT 


GL_RED_BIAS and GL_RED_SCALE settings
GL_GREEN_BIAS and GL_GREEN_SCALE values
GL_BLUE_BIAS and GL_BLUE_SCALE
GL_ALPHA_BIAS
and GL_ALPHA_SCALE
GL_DEPTH_BIAS
and GL_DEPTH_SCALE
GL_INDEX_OFFSET
and GL_INDEX_SHIFT values
GL_MAP_COLOR and GL_MAP_STENCIL flags
GL_ZOOM_X and GL_ZOOM_Y factors
GL_READ_BUFFER setting
GL_x where x is a pixal map table name
GL_x SIZE where x is a pixal map table name

GL_POINT_BIT  


GL_POINT_SMOOTH flag
Point size

GL_POLYGON_BIT  


GL_CULL_FACE enable bit
GL_CULL_FACE_MODE value
GL_FRONT_FACE indicator
GL_POLYGON_MODE setting
GL_POLYGON_SMOOTH flag
GL_POLYGON_STIPPLE enable bit

GL_POLYGON_STIPPLE_BIT  


Polygon stipple image

GL_SCISSOR_BIT  


GL_SCISSOR_TEST flag
Scissor box

GL_STENCIL_BUFFER_BIT 


GL_STENCIL_TEST enable bit
Stencil function and reference value
Stencil value mask
Stencil fail, pass, and depth buffer pass actions
Stencil buffer clear value
Stencil buffer writemask

GL_TEXTURE_BIT 


Enable bits for the four texture coordinates
Border color for each texture image
Minification function for each texture image
Magnification function for each texture image
Texture coordinates and wrap mode for each texture image
Color and mode for each texture environment
Enable bits GL_TEXTURE_GEN_x, x is S, T, R, and Q
GL_TEXTURE_GEN_MODE
setting for S, T, R, and Q
glTexGen
plane equations for S, T, R, and Q

GL_TRANSFORM_BIT 


Coefficients of the six clipping planes
Enable bits for the user-definable clipping planes
GL_MATRIX_MODE value
GL_NORMALIZE flag

GL_VIEWPORT_BIT 


Depth range (near and far)
Viewport origin and extent

glPopAttrib restores the values of the state variables saved with the last glPushAttrib command. Those not saved are left unchanged.

It is an error to push attributes onto a full stack, or to pop attributes off an empty stack. In either case, the error flag is set and no other change is made to GL state.

Initially, the attribute stack is empty.

NOTES

Not all values for GL state can be saved on the attribute stack. For example, pixel pack and unpack state, render mode state, and select and feedback state cannot be saved.

The depth of the attribute stack depends on the implementation, but it must be at least 16.

ERRORS

GL_STACK_OVERFLOW is generated if glPushAttrib is called while the attribute stack is full.

GL_STACK_UNDERFLOW is generated if glPopAttrib is called while the attribute stack is empty.

GL_INVALID_OPERATION is generated if glPushAttrib is called between a call to glBegin and the corresponding call to glEnd.

ASSOCIATED GETS

glGet with argument GL_ATTRIB_STACK_DEPTH.
glGet with argument GL_MAX_ATTRIB_STACK_DEPTH.

glPushMatrix

NAME

glPushMatrix, glPopMatrix - push and pop the current matrix stack

C SPECIFICATION

void glPushMatrix( void )

C SPECIFICATION

void glPopMatrix( void )

DESCRIPTION

There is a stack of matrices for each of the matrix modes. In GL_MODELVIEW mode, the stack depth is at least 32. In the other two modes, GL_PROJECTION and GL_TEXTURE, the depth is at least 2. The current matrix in any mode is the matrix on the top of the stack for that mode.

glPushMatrix pushes the current matrix stack down by one, duplicating the current matrix. That is, after a glPushMatrix call, the matrix on the top of the stack is identical to the one below it.

glPopMatrix pops the current matrix stack, replacing the current matrix with the one below it on the stack.

Initially, each of the stacks contains one matrix, an identity matrix.

It is an error to push a full matrix stack, or to pop a matrix stack that contains only a single matrix. In either case, the error flag is set and no other change is made to GL state.

ERRORS

GL_STACK_OVERFLOW is generated if glPushMatrix is called while the current matrix stack is full.

GL_STACK_UNDERFLOW is generated if glPopMatrix is called while the current matrix stack contains only a single matrix.

GL_INVALID_OPERATION is generated if glPushMatrix is called between a call to glBegin and the corresponding call to glEnd.

ASSOCIATED GETS

glGet with argument GL_MATRIX_MODE
glGet
with argument GL_MODELVIEW_MATRIX
glGet
with argument GL_PROJECTION_MATRIX
glGet
with argument GL_TEXTURE_MATRIX
glGet
with argument GL_MODELVIEW_STACK_DEPTH
glGet
with argument GL_PROJECTION_STACK_DEPTH
glGet
with argument GL_TEXTURE_STACK_DEPTH
glGet
with argument GL_MAX_MODELVIEW_STACK_DEPTH
glGet
with argument GL_MAX_PROJECTION_STACK_DEPTH
glGet
with argument GL_MAX_TEXTURE_STACK_DEPTH

glPushName

NAME

glPushName, glPopName - push and pop the name stack

C SPECIFICATION

void glPushName( GLuint name )

PARAMETERS

name 

Specifies a name that will be pushed onto the name stack.

C SPECIFICATION

void glPopName( void )

DESCRIPTION

The name stack is used during selection mode to allow sets of rendering commands to be uniquely identified. It consists of an ordered set of unsigned integers. glPushName causes name to be pushed onto the name stack, which is initially empty. glPopName pops one name off the top of the stack.

It is an error to push a name onto a full stack, or to pop a name off an empty stack. It is also an error to manipulate the name stack between a call to glBegin and the corresponding call to glEnd. In any of these cases, the error flag is set and no other change is made to GL state.

The name stack is always empty while the render mode is not GL_SELECT. Calls to glPushName or glPopName while the render mode is not GL_SELECT are ignored.

ERRORS

GL_STACK_OVERFLOW is generated if glPushName is called while the name stack is full.

GL_STACK_UNDERFLOW is generated if glPopName is called while the name stack is empty.

GL_INVALID_OPERATION is generated if glPushName or glPopName is called between a call to glBegin and the corresponding call to glEnd.

ASSOCIATED GETS

glGet with argument GL_NAME_STACK_DEPTH
glGet
with argument GL_MAX_NAME_STACK_DEPTH

glRasterPos

NAME

glRasterPos2d, glRasterPos2f, glRasterPos2i, glRasterPos2s, glRasterPos3d, glRasterPos3f, glRasterPos3i, glRasterPos3s, glRasterPos4d, glRasterPos4f, glRasterPos4i, glRasterPos4s, glRasterPos2dv, glRasterPos2fv, glRasterPos2iv, glRasterPos2sv, glRasterPos3dv, glRasterPos3fv, glRasterPos3iv, glRasterPos3sv, glRasterPos4dv, glRasterPos4fv, glRasterPos4iv, glRasterPos4sv - specify the raster position for pixel operations

C SPECIFICATION

void glRasterPos2d( GLdouble x, GLdouble y )
void glRasterPos2f( GLfloat x, GLfloat y )
void glRasterPos2i( GLint x, GLint y )
void glRasterPos2s( GLshort x, GLshort y )
void glRasterPos3d( GLdouble x, GLdouble y, Ldouble z )
void glRasterPos3f( GLfloat x, GLfloat y, GLfloat z )
void glRasterPos3i( GLint x, GLint y, GLint z )
void glRasterPos3s( GLshort x, GLshort y, GLshort z )
void glRasterPos4d( GLdouble x, GLdouble y, GLdouble z, GLdouble w )
void glRasterPos4f( GLfloat x, GLfloat y, GLfloat z, GLfloat w )
void glRasterPos4i( GLint x, GLint y, GLint z, GLint w )
void glRasterPos4s( GLshort x, GLshort y GLshort z, GLshort w )

PARAMETERS

x, y, z, w 

Specify the x, y, z, and w object coordinates (if present) for the raster position.

C SPECIFICATION

void glRasterPos2dv( const GLdouble *v )
void glRasterPos2fv( const GLfloat *v )
void glRasterPos2iv( const GLint *v )
void glRasterPos2sv( const GLshort *v )
void glRasterPos3dv( const GLdouble *v )
void glRasterPos3fv( const GLfloat *v )
void glRasterPos3iv( const GLint *v )
void glRasterPos3sv( const GLshort *v )
void glRasterPos4dv( const GLdouble *v )
void glRasterPos4fv( const GLfloat *v )
void glRasterPos4iv( const GLint *v )
void glRasterPos4sv( const GLshort *v )

v 

Specifies a pointer to an array of two, three, or four elements, specifying x, y, z, and w coordinates, respectively.

DESCRIPTION

The GL maintains a 3-D position in window coordinates. This position, called the raster position, is maintained with subpixel accuracy. It is used to position pixel and bitmap write operations. See "glBitmap" , "glDrawPixels" , and "glCopyPixels" .

The current raster position consists of three window coordinates (x, y, z), a clip coordinate w value, an eye coordinate distance, a valid bit, and associated color data and texture coordinates. The w coordinate is a clip coordinate, because w is not projected to window coordinates. glRasterPos4 specifies object coordinates x, y, z, and w explicitly. glRasterPos3 specifies object coordinate x, y, and z explicitly, while w is implicitly set to one. glRasterPos2 uses the argument values for x and y while implicitly setting z and w to zero and one.

The object coordinates presented by glRasterPos are treated just like those of a glVertex command: They are transformed by the current modelview and projection matrices and passed to the clipping stage. If the vertex is not culled, then it is projected and scaled to window coordinates, which become the new current raster position, and the GL_CURRENT_RASTER_POSITION_VALID flag is set. If the vertex is culled, then the valid bit is cleared and the current raster position and associated color and texture coordinates are undefined.

The current raster position also includes some associated color data and texture coordinates. If lighting is enabled, then GL_CURRENT_RASTER_COLOR, in RGBA mode, or the GL_CURRENT_RASTER_INDEX, in color index mode, is set to the color produced by the lighting calculation (see "glLight" , "glLightModel" , and "glShadeModel" ). If lighting is disabled, current color (in RGBA mode, state variable GL_CURRENT_COLOR) or color index (in color index mode, state variable GL_CURRENT_INDEX) is used to update the current raster color.

Likewise, GL_CURRENT_RASTER_TEXTURE_COORDS is updated as a function of GL_CURRENT_TEXTURE_COORDS, based on the texture matrix and the texture generation functions (see "glTexGen" ). Finally, the distance from the origin of the eye coordinate system to the vertex as transformed by only the modelview matrix replaces GL_CURRENT_RASTER_DISTANCE.

Initially, the current raster position is (0,0,0,1), the current raster distance is 0, the valid bit is set, the associated RGBA color is (1,1,1,1), the associated color index is 1, and the associated texture coordinates are (0, 0, 0, 1). In RGBA mode, GL_CURRENT_RASTER_INDEX is always 1; in color index mode, the current raster RGBA color always maintains its initial value.

NOTES

The raster position is modified both by glRasterPos and by glBitmap.

When the raster position coordinates are invalid, drawing commands that are based on the raster position are ignored (that is, they do not result in changes to GL state).

ERRORS

GL_INVALID_OPERATION is generated if glRasterPos is called between a call to glBegin and the corresponding call to glEnd.

ASSOCIATED GETS

glGet with argument GL_CURRENT_RASTER_POSITION
glGet
with argument GL_CURRENT_RASTER_POSITION_VALID
glGet
with argument GL_CURRENT_RASTER_DISTANCE
glGet
with argument GL_CURRENT_RASTER_COLOR
glGet
with argument GL_CURRENT_RASTER_INDEX
glGet
with argument GL_CURRENT_RASTER_TEXTURE_COORDS

glReadBuffer

NAME

glReadBuffer - select a color buffer source for pixels

C SPECIFICATION

void glReadBuffer( GLenum mode )

PARAMETERS

mode 

Specifies a color buffer. Accepted values are GL_FRONT_LEFT, GL_FRONT_RIGHT, GL_BACK_LEFT, GL_BACK_RIGHT, GL_FRONT, GL_BACK, GL_LEFT, GL_RIGHT, and GL_AUXi, where i is between 0 and GL_AUX_BUFFERS -1.

DESCRIPTION

glReadBuffer specifies a color buffer as the source for subsequent glReadPixels and glCopyPixels commands. mode accepts one of twelve or more predefined values. (GL_AUX0 through GL_AUX3 are always defined.) In a fully configured system, GL_FRONT, GL_LEFT, and GL_FRONT_LEFT all name the front left buffer, GL_FRONT_RIGHT and GL_RIGHT name the front right buffer, and GL_BACK_LEFT and GL_BACK name the back left buffer. Nonstereo configurations have only a left buffer, or a front left and a back left buffer if double-buffered. Single-buffered configurations have only a front buffer, or a front left and a front right buffer if stereo. It is an error to specify a nonexistent buffer to glReadBuffer.

By default, mode is GL_FRONT in single-buffered configurations, and GL_BACK in double-buffered configurations.

ERRORS

GL_INVALID_ENUM is generated if mode is not one of the twelve (or more) accepted values.

GL_INVALID_OPERATION is generated if mode specifies a buffer that does not exist.

GL_INVALID_OPERATION is generated if glReadBuffer is called between a call to glBegin and the corresponding call to glEnd.

ASSOCIATED GETS

glGet with argument GL_READ_BUFFER

glReadPixels

NAME

glReadPixels - read a block of pixels from the frame buffer

C SPECIFICATION

void glReadPixels( GLint x, GLint y, GLsizei width, GLsizei height, GLenum format, GLenum type, GLvoid *pixels )

PARAMETERS

x, y 

Specify the window coordinates of the first pixel that is read from the frame buffer. This location is the lower left corner of a rectangular block of pixels.

width, height 

Specify the dimensions of the pixel rectangle. width and height of one correspond to a single pixel.

format 

Specifies the format of the pixel data. The following symbolic values are accepted: GL_COLOR_INDEX, GL_STENCIL_INDEX, GL_DEPTH_COMPONENT, GL_RED, GL_GREEN, GL_BLUE, GL_ALPHA, GL_RGB, GL_RGBA, GL_LUMINANCE, and GL_LUMINANCE_ALPHA.

type 

Specifies the data type of the pixel data. Must be one of GL_UNSIGNED_BYTE, GL_BYTE, GL_BITMAP, GL_UNSIGNED_SHORT, GL_SHORT, GL_UNSIGNED_INT, GL_INT, or GL_FLOAT.

pixels 

Returns the pixel data.

DESCRIPTION

glReadPixels returns pixel data from the frame buffer, starting with the pixel whose lower left corner is at location (x, y), into client memory starting at location pixels. Several parameters control the processing of the pixel data before it is placed into client memory. These parameters are set with three commands: glPixelStore, glPixelTransfer, and glPixelMap. This reference page describes the effects on glReadPixels of most, but not all of the parameters specified by these three commands.

glReadPixels returns values from each pixel with lower left-hand corner at (x + i, y + j) for 0≤i<width and 0≤j<height. This pixel is said to be the ith pixel in the jth row. Pixels are returned in row order from the lowest to the highest row, left to right in each row.

format specifies the format for the returned pixel values. Accepted values for format are as follows:

GL_COLOR_INDEX 


Color indices are read from the color buffer selected by glReadBuffer. Each index is converted to fixed point, shifted left or right depending on the value and sign of GL_INDEX_SHIFT, and added to GL_INDEX_OFFSET. If GL_MAP_COLOR is GL_TRUE, indices are replaced by their mappings in the table GL_PIXEL_MAP_I_TO_I.

GL_STENCIL_INDEX 


Stencil values are read from the stencil buffer. Each index is converted to fixed point, shifted left or right depending on the value and sign of GL_INDEX_SHIFT, and added to GL_INDEX_OFFSET. If GL_MAP_STENCIL is GL_TRUE, indices are replaced by their mappings in the table GL_PIXEL_MAP_S_TO_S.

GL_DEPTH_COMPONENT 


Depth values are read from the depth buffer. Each component is converted to floating point such that the minimum depth value maps to 0.0 and the maximum value maps to 1.0. Each component is then multiplied by GL_DEPTH_SCALE, added to GL_DEPTH_BIAS, and finally clamped to the range [0,1].

GL_RED 

GL_GREEN 

GL_BLUE 

GL_ALPHA 

GL_RGB 

GL_RGBA 

GL_LUMINANCE 

GL_LUMINANCE_ALPHA 


Processing differs depending on whether color buffers store color indices or RGBA color components. If color indices are stored, they are read from the color buffer selected by glReadBuffer. Each index is converted to fixed point, shifted left or right depending on the value and sign of GL_INDEX_SHIFT, and added to GL_INDEX_OFFSET. Indices are then replaced by the red, green, blue, and alpha values obtained by indexing the GL_PIXEL_MAP_I_TO_R, GL_PIXEL_MAP_I_TO_G, GL_PIXEL_MAP_I_TO_B, and GL_PIXEL_MAP_I_TO_A tables.

 

If RGBA color components are stored in the color buffers, they are read from the color buffer selected by glReadBuffer. Each color component is converted to floating point such that zero intensity maps to 0.0 and full intensity maps to 1.0. Each component is then multiplied by GL_c_SCALE and added to GL_c_BIAS, where c is GL_RED, GL_GREEN, GL_BLUE, and GL_ALPHA. Each component is clamped to the range [0,1]. Finally, if GL_MAP_COLOR is GL_TRUE, each color component c is replaced by its mapping in the table GL_PIXEL_MAP_c_TO_c, where c again is GL_RED, GL_GREEN, GL_BLUE, and GL_ALPHA. Each component is scaled to the size its corresponding table before the lookup is performed.

 

Finally, unneeded data is discarded. For example, GL_RED discards the green, blue, and alpha components, while GL_RGB discards only the alpha component. GL_LUMINANCE computes a single component value as the sum of the red, green, and blue components, and GL_LUMINANCE_ALPHA does the same, while keeping alpha as a second value.

The shift, scale, bias, and lookup factors described above are all specified by glPixelTransfer. The lookup table contents themselves are specified by glPixelMap.

The final step involves converting the indices or components to the proper format, as specified by type. If format is GL_COLOR_INDEX or GL_STENCIL_INDEX and type is not GL_FLOAT, each index is masked with the mask value given in the following table. If type is GL_FLOAT, then each integer index is converted to single-precision floating-point format.

If format is GL_RED, GL_GREEN, GL_BLUE, GL_ALPHA, GL_RGB, GL_RGBA, GL_LUMINANCE, or GL_LUMINANCE_ALPHA and type is not GL_FLOAT, each component is multiplied by the multiplier shown in the following table. If type is GL_FLOAT, then each component is passed as is (or converted to the client's single-precision floating-point format if it is different from the one used by the GL).

type

index mask

component conversion

GL_UNSIGNED_BYTE

28 - 1

(28 - 1) c

GL_BYTE

27 - 1

[(27 - 1) c - 1] / 2

GL_BITMAP

1

1

GL_UNSIGNED_SHORT

216 - 1

(216 - 1) c

GL_SHORT

215 - 1

[(215 - 1) c - 1] / 2

GL_UNSIGNED_INT

232 - 1

(232 - 1) c

GL_INT

231 - 1

[(231 - 1) c - 1] / 2

GL_FLOAT

none

c

Return values are placed in memory as follows. If format is GL_COLOR_INDEX, GL_STENCIL_INDEX, GL_DEPTH_COMPONENT, GL_RED, GL_GREEN, GL_BLUE, GL_ALPHA, or GL_LUMINANCE, a single value is returned and the data for the ith pixel in the jth row is placed in location (j) width + i. GL_RGB returns three values, GL_RGBA returns four values, and GL_LUMINANCE_ALPHA returns two values for each pixel, with all values corresponding to a single pixel occupying contiguous space in pixels. Storage parameters set by glPixelStore, such as GL_PACK_SWAP_BYTES and GL_PACK_LSB_FIRST, affect the way that data is written into memory. See "glPixelStore" for a description.

NOTES

Values for pixels that lie outside the window connected to the current GL context are undefined.

If an error is generated, no change is made to the contents of pixels.

ERRORS

GL_INVALID_ENUM is generated if format or type is not an accepted value.

GL_INVALID_VALUE is generated if either width or height is negative.

GL_INVALID_OPERATION is generated if format is GL_COLOR_INDEX and the color buffers store RGBA color components.

GL_INVALID_OPERATION is generated if format is GL_STENCIL_INDEX and there is no stencil buffer.

GL_INVALID_OPERATION is generated if format is GL_DEPTH_COMPONENT and there is no depth buffer.

GL_INVALID_OPERATION is generated if glReadPixels is called between a call to glBegin and the corresponding call to glEnd.

ASSOCIATED GETS

glGet with argument GL_INDEX_MODE

glRect

NAME

glRectd, glRectf, glRecti, glRects, glRectdv, glRectfv, glRectiv, glRectsv - draw a rectangle

C SPECIFICATION

void glRectd( GLdouble x1, GLdouble y1, GLdouble x2, GLdouble y2 )
void glRectf( GLfloat x1, GLfloat y1, GLfloat x2, GLfloat y2 )
void glRecti( GLint x1, GLint y1, GLint x2, GLint y2 )
void glRects( GLshort x1, GLshort y1, GLshort x2, GLshort y2 )

PARAMETERS

x1, y1 

Specify one vertex of a rectangle.

x2, y2 

Specify the opposite vertex of the rectangle.

C SPECIFICATION

void glRectdv( const GLdouble *v1, const GLdouble *v2 )
void glRectfv( const GLfloat *v1, const GLfloat *v2 )
void glRectiv( const GLint *v1, const GLint *v2 )
void glRectsv( const GLshort *v1, const GLshort *v2 )

PARAMETERS

v1 

Specifies a pointer to one vertex of a rectangle.

v2 

Specifies a pointer to the opposite vertex of the rectangle.

DESCRIPTION

glRect supports efficient specification of rectangles as two corner points. Each rectangle command takes four arguments, organized either as two consecutive pairs of (x,y) coordinates, or as two pointers to arrays, each containing an (x,y) pair. The resulting rectangle is defined in the z=0 plane.

glRect(x1, y1, x2, y2) is exactly equivalent to the following sequence:

glBegin(GL_POLYGON);
glVertex2(x1, y1);
glVertex2(x2, y1);
glVertex2(x2, y2);
glVertex2(x1, y2);
glEnd();

Note that if the second vertex is above and to the right of the first vertex, the rectangle is constructed with a counterclockwise winding.

ERRORS

GL_INVALID_OPERATION is generated if glRect is called between a call to glBegin and the corresponding call to glEnd.

SEE ALSO

"glBegin" , "glVertex"

glRenderMode

NAME

glRenderMode - set rasterization mode

C SPECIFICATION

GLint glRenderMode( GLenum mode )

PARAMETERS

mode 

Specifies the rasterization mode. Three values are accepted: GL_RENDER, GL_SELECT, and GL_FEEDBACK. The default value is GL_RENDER.

DESCRIPTION

glRenderMode sets the rasterization mode. It takes one argument, mode, which can assume one of three predefined values:

GL_RENDER 


Render mode. Primitives are rasterized, producing pixel fragments, which are written into the frame buffer. This is the normal mode and also the default mode.

GL_SELECT  


Selection mode. No pixel fragments are produced, and no change to the frame buffer contents is made. Instead, a record of the names of primitives that would have been drawn if the render mode was GL_RENDER is returned in a select buffer, which must be created (see "glSelectBuffer" ) before selection mode is entered.

GL_FEEDBACK 


Feedback mode. No pixel fragments are produced, and no change to the frame buffer contents is made. Instead, the coordinates and attributes of vertices that would have been drawn had the render mode been GL_RENDER is returned in a feedback buffer, which must be created (see "glFeedbackBuffer" ) before feedback mode is entered.

The return value of glRenderMode is determined by the render mode at the time glRenderMode is called, rather than by mode. The values returned for the three render modes are as follows:

GL_RENDER 


Zero.

GL_SELECT 


The number of hit records transferred to the select buffer.

GL_FEEDBACK 


The number of values (not vertices) transferred to the feedback buffer.

Refer to the glSelectBuffer and glFeedbackBuffer reference pages for more details concerning selection and feedback operation.

NOTES

If an error is generated, glRenderMode returns zero regardless of the current render mode.

ERRORS

GL_INVALID_ENUM is generated if mode is not one of the three accepted values.

GL_INVALID_OPERATION is generated if glSelectBuffer is called while the render mode is GL_SELECT, or if glRenderMode is called with argument GL_SELECT before glSelectBuffer is called at least once.

GL_INVALID_OPERATION is generated if glFeedbackBuffer is called while the render mode is GL_FEEDBACK, or if glRenderMode is called with argument GL_FEEDBACK before glFeedbackBuffer is called at least once.

GL_INVALID_OPERATION is generated if glRenderMode is called between a call to glBegin and the corresponding call to glEnd.

ASSOCIATED GETS

glGet with argument GL_RENDER_MODE

glRotate

NAME

glRotated, glRotatef - multiply the current matrix by a rotation matrix

C SPECIFICATION

void glRotated( GLdouble angle, GLdouble x, GLdouble y, GLdouble z )

void glRotatef( GLfloat angle, GLfloat x, GLfloat y, GLfloat z )

PARAMETERS

angle 

Specifies the angle of rotation, in degrees.

x, y, z 

Specify the x, y, and z coordinates of a vector, respectively.

DESCRIPTION

glRotate computes a matrix that performs a counterclockwise rotation of angle degrees about the vector from the origin through the point (x, y, z).

The current matrix (see "glMatrixMode" ) is multiplied by this rotation matrix, with the product replacing the current matrix. That is, if M is the current matrix and R is the translation matrix, then M is replaced with M o R.

If the matrix mode is either GL_MODELVIEW or GL_PROJECTION, all objects drawn after glRotate is called are rotated. Use glPushMatrix and glPopMatrix to save and restore the unrotated coordinate system.

ERRORS

GL_INVALID_OPERATION is generated if glRotate is called between a call to glBegin and the corresponding call to glEnd.

ASSOCIATED GETS

glGet with argument GL_MATRIX_MODE
glGet
with argument GL_MODELVIEW_MATRIX
glGet
with argument GL_PROJECTION_MATRIX
glGet
with argument GL_TEXTURE_MATRIX

glScale

NAME

glScaled, glScalef - multiply the current matrix by a general scaling matrix

C SPECIFICATION

void glScaled( GLdouble x, GLdouble y, GLdouble z )
void glScalef( GLfloat x, GLfloat y, GLfloat z )

PARAMETERS

x, y, z 

Specify scale factors along the x, y, and z axes, respectively.

DESCRIPTION

glScale produces a general scaling along the x, y, and z axes. The three arguments indicate the desired scale factors along each of the three axes. The resulting matrix is

The current matrix (see "glMatrixMode" ) is multiplied by this scale matrix, with the product replacing the current matrix. That is, if M is the current matrix and S is the scale matrix, then M is replaced with M o S.

If the matrix mode is either GL_MODELVIEW or GL_PROJECTION, all objects drawn after glScale is called are scaled. Use glPushMatrix and glPopMatrix to save and restore the unscaled coordinate system.

NOTES

If scale factors other than 1.0 are applied to the modelview matrix and lighting is enabled, automatic normalization of normals should probably also be enabled (glEnable and glDisable with argument GL_NORMALIZE).

ERRORS

GL_INVALID_OPERATION is generated if glScale is called between a call to glBegin and the corresponding call to glEnd.

ASSOCIATED GETS

glGet with argument GL_MATRIX_MODE
glGet
with argument GL_MODELVIEW_MATRIX
glGet
with argument GL_PROJECTION_MATRIX
glGet
with argument GL_TEXTURE_MATRIX

glScissor

NAME

glScissor - define the scissor box

C SPECIFICATION

void glScissor( GLint x, GLint y, GLsizei width, GLsizei height )

PARAMETERS

x, y  

Specify the lower left corner of the scissor box. Initially (0,0).

width, height 

Specify the width and height of the scissor box. When a GL context is first attached to a window, width and height are set to the dimensions of that window.

DESCRIPTION

The glScissor routine defines a rectangle, called the scissor box, in window coordinates. The first two arguments, x and y, specify the lower left corner of the box. width and height specify the width and height of the box.

The scissor test is enabled and disabled using glEnable and glDisable with argument GL_SCISSOR_TEST. While the scissor test is enabled, only pixels that lie within the scissor box can be modified by drawing commands. Window coordinates have integer values at the shared corners of frame buffer pixels, so glScissor(0,0,1,1) allows only the lower left pixel in the window to be modified, and glScissor(0,0,0,0) disallows modification to all pixels in the window.

When the scissor test is disabled, it is as though the scissor box includes the entire window.

ERRORS

GL_INVALID_VALUE is generated if either width or height is negative.

GL_INVALID_OPERATION is generated if glScissor is called between a call to glBegin and the corresponding call to glEnd.

ASSOCIATED GETS

glGet with argument GL_SCISSOR_BOX
glIsEnabled
with argument GL_SCISSOR_TEST

glSelectBuffer

NAME

glSelectBuffer - establish a buffer for selection mode values

C SPECIFICATION

void glSelectBuffer( GLsizei size, GLuint *buffer )

PARAMETERS

size 

Specifies the size of buffer.

buffer 

Returns the selection data.

DESCRIPTION

glSelectBuffer has two arguments: buffer is a pointer to an array of unsigned integers, and size indicates the size of the array. buffer returns values from the name stack (see "glInitNames" , "glLoadName" , "glPushName" ) when the rendering mode is GL_SELECT (see "glRenderMode" ). glSelectBuffer must be issued before selection mode is enabled, and it must not be issued while the rendering mode is GL_SELECT.

Selection is used by a programmer to determine which primitives are drawn into some region of a window. The region is defined by the current modelview and perspective matrices.

In selection mode, no pixel fragments are produced from rasterization. Instead, if a primitive intersects the clipping volume defined by the viewing frustum and the user-defined clipping planes, this primitive causes a selection hit. (With polygons, no hit occurs if the polygon is culled.) When a change is made to the name stack, or when glRenderMode is called, a hit record is copied to buffer if any hits have occurred since the last such event (name stack change or glRenderMode call). The hit record consists of the number of names in the name stack at the time of the event, followed by the minimum and maximum depth values of all vertices that hit since the previous event, followed by the name stack contents, bottom name first.

Returned depth values are mapped such that the largest unsigned integer value corresponds to window coordinate depth 1.0, and zero corresponds to window coordinate depth 0.0.

An internal index into buffer is reset to zero whenever selection mode is entered. Each time a hit record is copied into buffer, the index is incremented to point to the cell just past the end of the block of names - that is, to the next available cell. If the hit record is larger than the number of remaining locations in buffer, as much data as can fit is copied, and the overflow flag is set. If the name stack is empty when a hit record is copied, that record consists of zero followed by the minimum and maximum depth values.

Selection mode is exited by calling glRenderMode with an argument other than GL_SELECT. Whenever glRenderMode is called while the render mode is GL_SELECT, it returns the number of hit records copied to buffer, resets the overflow flag and the selection buffer pointer, and initializes the name stack to be empty. If the overflow bit was set when glRenderMode was called, a negative hit record count is returned.

NOTES

The contents of buffer are undefined until glRenderMode is called with an argument other than GL_SELECT.

glBegin/glEnd primitives and calls to glRasterPos can result in hits.

ERRORS

GL_INVALID_VALUE is generated if size is negative.

GL_INVALID_OPERATION is generated if glSelectBuffer is called while the render mode is GL_SELECT, or if glRenderMode is called with argument GL_SELECT before glSelectBuffer is called at least once.

GL_INVALID_OPERATION is generated if glSelectBuffer is called between a call to glBegin and the corresponding call to glEnd.

ASSOCIATED GETS

glGet with argument GL_NAME_STACK_DEPTH

glShadeModel

NAME

glShadeModel - select flat or smooth shading

C SPECIFICATION

void glShadeModel( GLenum mode )

PARAMETERS

mode 

Specifies a symbolic value representing a shading technique. Accepted values are GL_FLAT and GL_SMOOTH. The default is GL_SMOOTH.

DESCRIPTION

GL primitives can have either flat or smooth shading. Smooth shading, the default, causes the computed colors of vertices to be interpolated as the primitive is rasterized, typically assigning different colors to each resulting pixel fragment. Flat shading selects the computed color of just one vertex and assigns it to all the pixel fragments generated by rasterizing a single primitive. In either case, the computed color of a vertex is the result of lighting, if lighting is enabled, or it is the current color at the time the vertex was specified, if lighting is disabled.

Flat and smooth shading are indistinguishable for points. Counting vertices and primitives from one starting when glBegin is issued, each flat-shaded line segment i is given the computed color of vertex i + 1, its second vertex. Counting similarly from one, each flat-shaded polygon is given the computed color of the vertex listed in the following table. This is the last vertex to specify the polygon in all cases except single polygons, where the first vertex specifies the flat-shaded color.

primitive type of polygon i

vertex

Single polygon ( i ≡1 )

1

Triangle strip

i + 2

Triangle fan

i + 2

Independent triangle

3i

Quad strip

2i + 2

Independent quad

4i

Flat and smooth shading are specified by glShadeModel with mode set to GL_FLAT and GL_SMOOTH, respectively.

ERRORS

GL_INVALID_ENUM is generated if mode is any value other than GL_FLAT or GL_SMOOTH.

GL_INVALID_OPERATION is generated if glShadeModel is called between a call to glBegin and the corresponding call to glEnd.

ASSOCIATED GETS

glGet with argument GL_SHADE_MODEL

glStencilFunc

NAME

glStencilFunc - set function and reference value for stencil testing

C SPECIFICATION

void glStencilFunc( GLenum func, GLint ref, GLuint mask )

PARAMETERS

func 

Specifies the test function. Eight tokens are valid: GL_NEVER, GL_LESS, GL_LEQUAL, GL_GREATER, GL_GEQUAL, GL_EQUAL, GL_NOTEQUAL, and GL_ALWAYS.

ref 

Specifies the reference value for the stencil test. ref is clamped to the range [0,2n - 1], where n is the number of bitplanes in the stencil buffer.

mask 

Specifies a mask that is ANDed with both the reference value and the stored stencil value when the test is done.

DESCRIPTION

Stenciling, like z-buffering, enables and disables drawing on a per-pixel basis. You draw into the stencil planes using GL drawing primitives, then render geometry and images, using the stencil planes to mask out portions of the screen. Stenciling is typically used in multipass rendering algorithms to achieve special effects, such as decals, outlining, and constructive solid geometry rendering.

The stencil test conditionally eliminates a pixel based on the outcome of a comparison between the reference value and the value in the stencil buffer. The test is enabled by glEnable and glDisable with argument GL_STENCIL. Actions taken based on the outcome of the stencil test are specified with glStencilOp.

func is a symbolic constant that determines the stencil comparison function. It accepts one of eight values, shown below. ref is an integer reference value that is used in the stencil comparison. It is clamped to the range [0,2n - 1], where n is the number of bitplanes in the stencil buffer. mask is bitwise ANDed with both the reference value and the stored stencil value, with the ANDed values participating in the comparison.

If stencil represents the value stored in the corresponding stencil buffer location, the following list shows the effect of each comparison function that can be specified by func. Only if the comparison succeeds is the pixel passed through to the next stage in the rasterization process (see "glStencilOp" ). All tests treat stencil values as unsigned integers in the range [0,2n - 1], where n is the number of bitplanes in the stencil buffer.

Here are the values accepted by func:

GL_NEVER 

Always fails.

GL_LESS 

Passes if ( ref & mask ) < ( stencil & mask ).

GL_LEQUAL 

Passes if ( ref & mask ) ≤ ( stencil & mask ).

GL_GREATER 


Passes if ( ref & mask ) > ( stencil & mask ).

GL_GEQUAL 

Passes if ( ref & mask ) ≥ ( stencil & mask ).

GL_EQUAL 

Passes if ( ref & mask ) = ( stencil & mask ).

GL_NOTEQUAL 


Passes if ( ref & mask ) ≠ ( stencil & mask ).

GL_ALWAYS 

Always passes.

NOTES

Initially, the stencil test is disabled. If there is no stencil buffer, no stencil modification can occur and it is as if the stencil test always passes.

ERRORS

GL_INVALID_ENUM is generated if func is not one of the eight accepted values.

GL_INVALID_OPERATION is generated if glStencilFunc is called between a call to glBegin and the corresponding call to glEnd.

ASSOCIATED GETS

glGet with argument GL_STENCIL_FUNC
glGet
with argument GL_STENCIL_VALUE_MASK
glGet with argument GL_STENCIL_REF
glGet
with argument GL_STENCIL_BITS
glIsEnabled
with argument GL_STENCIL_TEST

glStencilMask

NAME

glStencilMask - control the writing of individual bits in the stencil planes

C SPECIFICATION

void glStencilMask( GLuint mask )

PARAMETERS

mask 

Specifies a bit mask to enable and disable writing of individual bits in the stencil planes. Initially, the mask is all ones.

DESCRIPTION

glStencilMask controls the writing of individual bits in the stencil planes. The least significant n bits of mask, where n is the number of bits in the stencil buffer, specify a mask. Wherever a one appears in the mask, the corresponding bit in the stencil buffer is made writable. Where a zero appears, the bit is write-protected. Initially, all bits are enabled for writing.

ERRORS

GL_INVALID_OPERATION is generated if glStencilMask is called between a call to glBegin and the corresponding call to glEnd.

ASSOCIATED GETS

glGet with argument GL_STENCIL_WRITEMASK
glGet
with argument GL_STENCIL_BITS

glStencilOp

NAME

glStencilOp - set stencil test actions

C SPECIFICATION

void glStencilOp( GLenum fail, GLenum zfail, GLenum zpass )

PARAMETERS

fail 

Specifies the action to take when the stencil test fails. Six symbolic constants are accepted: GL_KEEP, GL_ZERO, GL_REPLACE, GL_INCR, GL_DECR, and GL_INVERT.

zfail 

Specifies stencil action when the stencil test passes, but the depth test fails. zfail accepts the same symbolic constants as fail.

zpass 

Specifies stencil action when both the stencil test and the depth test pass, or when the stencil test passes and either there is no depth buffer or depth testing is not enabled. zpass accepts the same symbolic constants as fail.

DESCRIPTION

Stenciling, like z-buffering, enables and disables drawing on a per-pixel basis. You draw into the stencil planes using GL drawing primitives, then render geometry and images, using the stencil planes to mask out portions of the screen. Stenciling is typically used in multipass rendering algorithms to achieve special effects, such as decals, outlining, and constructive solid geometry rendering.

The stencil test conditionally eliminates a pixel based on the outcome of a comparison between the value in the stencil buffer and a reference value. The test is enabled with glEnable and glDisable calls with argument GL_STENCIL, and controlled with glStencilFunc.

glStencilOp takes three arguments that indicate what happens to the stored stencil value while stenciling is enabled. If the stencil test fails, no change is made to the pixel's color or depth buffers, and fail specifies what happens to the stencil buffer contents. The six possible actions are as follows:

GL_KEEP 

Keeps the current value.

GL_ZERO 

Sets the stencil buffer value to zero.

GL_REPLACE 

Sets the stencil buffer value to ref, as specified by glStencilFunc.

GL_INCR 

Increments the current stencil buffer value. Clamps to the maximum representable unsigned value.

GL_DECR 

Decrements the current stencil buffer value. Clamps to zero.

GL_INVERT 

Bitwise inverts the current stencil buffer value.

Stencil buffer values are treated as unsigned integers. When incremented and decremented, values are clamped to 0 and 2n - 1, where n is the value returned by querying GL_STENCIL_BITS.

The other two arguments to glStencilOp specify stencil buffer actions should subsequent depth buffer tests succeed (zpass) or fail (zfail). (See "glDepthFunc" .) They are specified using the same six symbolic constants as fail. Note that zfail is ignored when there is no depth buffer, or when the depth buffer is not enabled. In these cases, fail and zpass specify stencil action when the stencil test fails and passes, respectively.

NOTES

Initially the stencil test is disabled. If there is no stencil buffer, no stencil modification can occur and it is as if the stencil tests always pass, regardless of any call to glStencilOp.

ERRORS

GL_INVALID_ENUM is generated if fail, zfail, or zpass is any value other than the six defined constant values.

GL_INVALID_OPERATION is generated if glStencilOp is called between a call to glBegin and the corresponding call to glEnd.

ASSOCIATED GETS

glGet with argument GL_STENCIL_FAIL
glGet
with argument GL_STENCIL_PASS_DEPTH_PASS
glGet
with argument GL_STENCIL_PASS_DEPTH_FAIL
glGet with argument GL_STENCIL_BITS
glIsEnabled with argument GL_STENCIL_TEST

glTexCoord

NAME

glTexCoord1d, glTexCoord1f, glTexCoord1i, glTexCoord1s, glTexCoord2d, glTexCoord2f, glTexCoord2i, glTexCoord2s, glTexCoord3d, glTexCoord3f, glTexCoord3i, glTexCoord3s, glTexCoord4d, glTexCoord4f, glTexCoord4i, glTexCoord4s, glTexCoord1dv, glTexCoord1fv, glTexCoord1iv, glTexCoord1sv, glTexCoord2dv, glTexCoord2fv, glTexCoord2iv, glTexCoord2sv, glTexCoord3dv, glTexCoord3fv, glTexCoord3iv, glTexCoord3sv, glTexCoord4dv, glTexCoord4fv, glTexCoord4iv, glTexCoord4sv - set the current texture coordinates

C SPECIFICATION

void glTexCoord1d( GLdouble s )
void glTexCoord1f( GLfloat s )
void glTexCoord1i( GLint s )
void glTexCoord1s( GLshort s )
void glTexCoord2d( GLdouble s, GLdouble t )
void glTexCoord2f( GLfloat s, GLfloat t )
void glTexCoord2i( GLint s, GLint t )
void glTexCoord2s( GLshort s, GLshort t )
void glTexCoord3d( GLdouble s, GLdouble t, GLdouble r )
void glTexCoord3f( GLfloat s, GLfloat t, GLfloat r )
void glTexCoord3i( GLint s, GLint t, GLint r )
void glTexCoord3s( GLshort s, GLshort t, GLshort r )
void glTexCoord4d( GLdouble s, GLdouble t, GLdouble r, GLdouble q )
void glTexCoord4f( GLfloat s, GLfloat t, GLfloat r, GLfloat q )
void glTexCoord4i( GLint s, GLint t, GLint r, GLint q )
void glTexCoord4s( GLshort s, GLshort t GLshort r, GLshort q )

PARAMETERS

s, t, r, q 

Specify s, t, r, and q texture coordinates. Not all parameters are present in all forms of the command.

C SPECIFICATION

void glTexCoord1dv( const GLdouble *v )
void glTexCoord1fv( const GLfloat *v )
void glTexCoord1iv( const GLint *v )
void glTexCoord1sv( const GLshort *v )
void glTexCoord2dv( const GLdouble *v )
void glTexCoord2fv( const GLfloat *v )
void glTexCoord2iv( const GLint *v )
void glTexCoord2sv( const GLshort *v )
void glTexCoord3dv( const GLdouble *v )
void glTexCoord3fv( const GLfloat *v )
void glTexCoord3iv( const GLint *v )
void glTexCoord3sv( const GLshort *v )
void glTexCoord4dv( const GLdouble *v )
void glTexCoord4fv( const GLfloat *v )
void glTexCoord4iv( const GLint *v )
void glTexCoord4sv( const GLshort *v )

PARAMETERS

v 

Specifies a pointer to an array of one, two, three, or four elements, which in turn specify the s, t, r, and q texture coordinates.

DESCRIPTION

The current texture coordinates are part of the data that is associated with polygon vertices. They are set with glTexCoord.

glTexCoord specifies texture coordinates in one, two, three, or four dimensions. glTexCoord1 sets the current texture coordinates to (s, 0, 0, 1); a call to glTexCoord2 sets them to (s, t, 0, 1). Similarly, glTexCoord3 specifies the texture coordinates as (s, t, r, 1), and glTexCoord4 defines all four components explicitly as (s, t, r, q).

NOTES

The current texture coordinates can be updated at any time. In particular, glTexCoord can be called between a call to glBegin and the corresponding call to glEnd.

ASSOCIATED GETS

glGet with argument GL_CURRENT_TEXTURE_COORDS

SEE ALSO

"glVertex"

glTexEnv

NAME

glTexEnvf, glTexEnvi, glTexEnvfv, glTexEnviv - set texture environment parameters

C SPECIFICATION

void glTexEnvf( GLenum target, GLenum pname, GLfloat param )
void glTexEnvi( GLenum target, GLenum pname, GLint param )

PARAMETERS

target 

Specifies a texture environment. Must be GL_TEXTURE_ENV.

pname 

Specifies the symbolic name of a single-valued texture environment parameter. Must be GL_TEXTURE_ENV_MODE.

param 

Specifies a single symbolic constant, one of GL_MODULATE, GL_DECAL, or GL_BLEND.

C SPECIFICATION

void glTexEnvfv( GLenum target, GLenum pname, const GLfloat *params )
void glTexEnviv( GLenum target, GLenum pname, const GLint *params )

PARAMETERS

target 

Specifies a texture environment. Must be GL_TEXTURE_ENV.

pname 

Specifies the symbolic name of a texture environment parameter. Accepted values are GL_TEXTURE_ENV_MODE and GL_TEXTURE_ENV_COLOR.

params 

Specifies a pointer to an array of parameters: either a single symbolic constant or an RGBA color.

DESCRIPTION

A texture environment specifies how texture values are interpreted when a fragment is textured. target must be GL_TEXTURE_ENV. pname can be either GL_TEXTURE_ENV_MODE or GL_TEXTURE_ENV_COLOR.

If pname is GL_TEXTURE_ENV_MODE, then params is (or points to) the symbolic name of a texture function. Three texture functions are defined: GL_MODULATE, GL_DECAL, and GL_BLEND

A texture function acts on the fragment to be textured using the texture image value that applies to the fragment (see "glTexParameter" ) and produces an RGBA color for that fragment. The following table shows how the RGBA color is produced for each of the three texture functions that can be chosen. C is a triple of color values (RGB) and A is the associated alpha value. RGBA values extracted from a texture image are in the range [0,1]. The subscript f refers to the incoming fragment, the subscript t to the texture image, the subscript c to the texture environment color, and subscript v indicates a value produced by the texture function.

A texture image can have up to four components per texture element (see "glTexImage1D" and "glTexImage2D" ). In a one-component image, Lt indicates that single component. A two-component image uses Lt and At. A three-component image has only a color value, Ct. A four-component image has both a color value Ct and an alpha value At.

Number of components

texture function
GL_MODULATE

texture function
GL_DECAL

texture function
GL_BLEND

1

 

C v = L t C f
A v = A f

undefined

 

C v = ( 1 - L t ) C f + L t
C c A v = A f

2

 

C v = L t C f
A v = A t A f

undefined

 

C v = ( 1 - L t ) C f + L t C c
A v = A t A f

3

 

C v = C t C f
A v = A f

 

C v = C t
A v = A f

undefined

4

 

C v = C t
A
v = A t A f

 

C v = ( 1 - A t ) C f + A t C t
A v = A f

undefined

If pname is GL_TEXTURE_ENV_COLOR, params is a pointer to an array that holds an RGBA color consisting of four values. Integer color components are interpreted linearly such that the most positive integer maps to 1.0, and the most negative integer maps to -1.0. The values are clamped to the range [0,1] when they are specified. Cc takes these four values.

GL_TEXTURE_ENV_MODE defaults to GL_MODULATE and GL_TEXTURE_ENV_COLOR defaults to (0,0,0,0).

ERRORS

GL_INVALID_ENUM is generated when target or pname is not one of the accepted defined values, or when params should have a defined constant value (based on the value of pname) and does not.

GL_INVALID_OPERATION is generated if glTexEnv is called between a call to glBegin and the corresponding call to glEnd.

ASSOCIATED GETS

glGetTexEnv

glTexGen

NAME

glTexGend, glTexGenf, glTexGeni, glTexGendv, glTexGenfv, glTexGeniv - control the generation of texture coordinates

C SPECIFICATION

void glTexGend( GLenum coord, GLenum pname, GLdouble param )
void glTexGenf( GLenum coord, GLenum pname, GLfloat param )
void glTexGeni( GLenum coord, GLenum pname, GLint param )

PARAMETERS

coord 

Specifies a texture coordinate. Must be one of the following: GL_S, GL_T, GL_R, or GL_Q.

pname 

Specifies the symbolic name of the texture-coordinate generation function. Must be GL_TEXTURE_GEN_MODE.

param 

Specifies a single-valued texture generation parameter, one of GL_OBJECT_LINEAR, GL_EYE_LINEAR, or GL_SPHERE_MAP.

C SPECIFICATION

void glTexGendv( GLenum coord, GLenum pname, const GLdouble *params )
void glTexGenfv( GLenum coord, GLenum pname, const GLfloat *params )
void glTexGeniv( GLenum coord, GLenum pname, const GLint *params )

PARAMETERS

coord 

Specifies a texture coordinate. Must be one of the following: GL_S, GL_T, GL_R, or GL_Q.

pname 

Specifies the symbolic name of the texture-coordinate generation function or function parameters. Must be GL_TEXTURE_GEN_MODE, GL_OBJECT_PLANE, or GL_EYE_PLANE.

params 

Specifies a pointer to an array of texture generation parameters. If pname is GL_TEXTURE_GEN_MODE, then the array must contain a single symbolic constant, one of GL_OBJECT_LINEAR, GL_EYE_LINEAR, or GL_SPHERE_MAP. Otherwise, params holds the coefficients for the texture-coordinate generation function specified by pname.

DESCRIPTION

glTexGen selects a texture-coordinate generation function or supplies coefficients for one of the functions. coord names one of the (s,t,r,q) texture coordinates, and it must be one of these symbols: GL_S, GL_T, GL_R, or GL_Q. pname must be one of three symbolic constants: GL_TEXTURE_GEN_MODE, GL_OBJECT_PLANE, or GL_EYE_PLANE. If pname is GL_TEXTURE_GEN_MODE, then params chooses a mode, one of GL_OBJECT_LINEAR, GL_EYE_LINEAR, or GL_SPHERE_MAP. If pname is either GL_OBJECT_PLANE or GL_EYE_PLANE, params contains coefficients for the corresponding texture generation function.

If the texture generation function is GL_OBJECT_LINEAR, the function

g = p1 xo + p2 yo + p3 zo + p4 wo

is used, where g is the value computed for the coordinate named in coord, p1, p2, p3, and p4 are the four values supplied in params, and xo, yo, zo, and wo are the object coordinates of the vertex. This function can be used to texture-map terrain using sea level as a reference plane (defined by p1, p2, p3, and p4). The altitude of a terrain vertex is computed by the GL_OBJECT_LINEAR coordinate generation function as its distance from sea level; that altitude is used to index the texture image to map white snow onto peaks and green grass onto foothills, for example.

If the texture generation function is GL_EYE_LINEAR, the function

g = p1' xe + p2' ye + p3' ze + p4' we

is used, where

( p1' p2' p3' p4' ) = ( p1 p2 p3 p4 ) M-1

and xe, ye, ze, and we are the eye coordinates of the vertex, p1, p2, p3, and p4 are the values supplied in params, and M is the modelview matrix when glTexGen is invoked. If M is poorly conditioned or singular, texture coordinates generated by the resulting function may be inaccurate or undefined.

Note that the values in params define a reference plane in eye coordinates. The modelview matrix that is applied to them may not be the same one in effect when the polygon vertices are transformed. This function establishes a field of texture coordinates that can produce dynamic contour lines on moving objects.

If pname is GL_SPHERE_MAP and coord is either GL_S or GL_T, s and t texture coordinates are generated as follows. Let u be the unit vector pointing from the origin to the polygon vertex (in eye coordinates). Let n prime be the current normal, after transformation to eye coordinates. Let f = ( fx fy fz )T be the reflection vector such that

f = u - 2 n' n' T u

Finally, let

Then the values assigned to the s and t texture coordinates are

A texture-coordinate generation function is enabled or disabled using glEnable or glDisable with one of the symbolic texture-coordinate names (GL_TEXTURE_GEN_S, GL_TEXTURE_GEN_T, GL_TEXTURE_GEN_R, or GL_TEXTURE_GEN_Q) as the argument. When enabled, the specified texture coordinate is computed according to the generating function associated with that coordinate. When disabled, subsequent vertices take the specified texture coordinate from the current set of texture coordinates. Initially, all texture generation functions are set to GL_EYE_LINEAR and are disabled. Both s plane equations are (1,0,0,0), both t plane equations are (0,1,0,0), and all r and q plane equations are (0,0,0,0).

ERRORS

GL_INVALID_ENUM is generated when coord or pname is not an accepted defined value, or when pname is GL_TEXTURE_GEN_MODE and params is not an accepted defined value.

GL_INVALID_ENUM is generated when pname is GL_TEXTURE_GEN_MODE, params is GL_SPHERE_MAP, and coord is either GL_R or GL_Q.

GL_INVALID_OPERATION is generated if glTexGen is called between a call to glBegin and the corresponding call to glEnd.

ASSOCIATED GETS

glGetTexGen
glIsEnabled
with argument GL_TEXTURE_GEN_S
glIsEnabled
with argument GL_TEXTURE_GEN_T
glIsEnabled
with argument GL_TEXTURE_GEN_R
glIsEnabled
with argument GL_TEXTURE_GEN_Q

glTexImage1D

NAME

glTexImage1D - specify a one-dimensional texture image

C SPECIFICATION

void glTexImage1D( GLenum target, GLint level, GLint components, GLsizei width, GLint border, GLenum format, GLenum type, const GLvoid *pixels )

PARAMETERS

target 

Specifies the target texture. Must be GL_TEXTURE_1D.

level 

Specifies the level-of-detail number. Level 0 is the base image level. Level n is the nth mipmap reduction image.

components 

Specifies the number of color components in the texture. Must be 1, 2, 3, or 4.

width 

Specifies the width of the texture image. Must be 2n + 2 ( border ) for some integer n. The height of the texture image is 1.

border 

Specifies the width of the border. Must be either 0 or 1.

format 

Specifies the format of the pixel data. The following symbolic values are accepted: GL_COLOR_INDEX, GL_RED, GL_GREEN, GL_BLUE, GL_ALPHA, GL_RGB, GL_RGBA, GL_LUMINANCE, and GL_LUMINANCE_ALPHA.

type 

Specifies the data type of the pixel data. The following symbolic values are accepted: GL_UNSIGNED_BYTE, GL_BYTE, GL_BITMAP, GL_UNSIGNED_SHORT, GL_SHORT, GL_UNSIGNED_INT, GL_INT, and GL_FLOAT.

pixels 

Specifies a pointer to the image data in memory.

DESCRIPTION

Texturing maps a portion of a specified texture image onto each graphical primitive for which texturing is enabled. One-dimensional texturing is enabled and disabled using glEnable and glDisable with argument GL_TEXTURE_1D.

Texture images are defined with glTexImage1D. The arguments describe the parameters of the texture image, such as width, width of the border, level-of-detail number (see "glTexParameter" ), and number of color components provided. The last three arguments describe the way the image is represented in memory, and they are identical to the pixel formats used for glDrawPixels.

Data is read from pixels as a sequence of signed or unsigned bytes, shorts, or longs, or single-precision floating-point values, depending on type. These values are grouped into sets of one, two, three, or four values, depending on format, to form elements. If type is GL_BITMAP, the data is considered as a string of unsigned bytes (and format must be GL_COLOR_INDEX). Each data byte is treated as eight 1-bit elements, with bit ordering determined by GL_UNPACK_LSB_FIRST (see "glPixelStore" ).

format determines the composition of each element in pixels. It can assume one of nine symbolic values:

GL_COLOR_INDEX 


Each element is a single value, a color index. It is converted to fixed point (with an unspecified number of zero bits to the right of the binary point), shifted left or right depending on the value and sign of GL_INDEX_SHIFT, and added to GL_INDEX_OFFSET (see "glPixelTransfer" ). The resulting index is converted to a set of color components using the GL_PIXEL_MAP_I_TO_R, GL_PIXEL_MAP_I_TO_G, GL_PIXEL_MAP_I_TO_B, and GL_PIXEL_MAP_I_TO_A tables, and clamped to the range [0,1].

GL_RED 

Each element is a single red component. It is converted to floating point and assembled into an RGBA element by attaching 0.0 for green and blue, and 1.0 for alpha. Each component is then multiplied by the signed scale factor GL_c_SCALE, added to the signed bias GL_c_BIAS, and clamped to the range [0,1] (see "glPixelTransfer" ).

GL_GREEN 

Each element is a single green component. It is converted to floating point and assembled into an RGBA element by attaching 0.0 for red and blue, and 1.0 for alpha. Each component is then multiplied by the signed scale factor GL_c_SCALE, added to the signed bias GL_c_BIAS, and clamped to the range [0,1] (see "glPixelTransfer" ).

GL_BLUE 

Each element is a single blue component. It is converted to floating point and assembled into an RGBA element by attaching 0.0 for red and green, and 1.0 for alpha. Each component is then multiplied by the signed scale factor GL_c_SCALE, added to the signed bias GL_c_BIAS, and clamped to the range [0,1] (see "glPixelTransfer" ).

GL_ALPHA 

Each element is a single red component. It is converted to floating point and assembled into an RGBA element by attaching 0.0 for red, green, and blue. Each component is then multiplied by the signed scale factor GL_c_SCALE, added to the signed bias GL_c_BIAS, and clamped to the range [0,1] (see "glPixelTransfer" ).

GL_RGB 

Each element is an RGB triple. It is converted to floating point and assembled into an RGBA element by attaching 1.0 for alpha. Each component is then multiplied by the signed scale factor GL_c_SCALE, added to the signed bias GL_c_BIAS, and clamped to the range [0,1] (see "glPixelTransfer" ).

GL_RGBA 

Each element is a complete RGBA element. It is converted to floating point. Each component is then multiplied by the signed scale factor GL_c_SCALE, added to the signed bias GL_c_BIAS, and clamped to the range [0,1] (see "glPixelTransfer" ).

GL_LUMINANCE 


Each element is a single luminance value. It is converted to floating point, then assembled into an RGBA element by replicating the luminance value three times for red, green, and blue and attaching 1.0 for alpha. Each component is then multiplied by the signed scale factor GL_c_SCALE, added to the signed bias GL_c_BIAS, and clamped to the range [0,1] (see "glPixelTransfer" ).

GL_LUMINANCE_ALPHA 


Each element is a luminance/alpha pair. It is converted to floating point, then assembled into an RGBA element by replicating the luminance value three times for red, green, and blue. Each component is then multiplied by the signed scale factor GL_c_SCALE, added to the signed bias GL_c_BIAS, and clamped to the range [0,1] (see "glPixelTransfer" ).

A texture image can have up to four components per texture element, depending on components. A one-component texture image uses only the red component of the RGBA color extracted from pixels. A two-component image uses the R and A values. A three-component image uses the R, G, and B values. A four-component image uses all of the RGBA components.

NOTES

Texturing has no effect in color index mode.

The texture image can be represented by the same data formats as the pixels in a glDrawPixels command, except that GL_STENCIL_INDEX and GL_DEPTH_COMPONENT cannot be used. glPixelStore and glPixelTransfer modes affect texture images in exactly the way they affect glDrawPixels.

A texture image with zero width indicates the null texture. If the null texture is specified for level-of-detail 0, it is as if texturing were disabled.

ERRORS

GL_INVALID_ENUM is generated when target is not GL_TEXTURE_1D.

GL_INVALID_ENUM is generated when format is not an accepted format constant. Format constants other than GL_STENCIL_INDEX and GL_DEPTH_COMPONENT are accepted.

GL_INVALID_ENUM is generated when type is not a type constant.

GL_INVALID_ENUM is generated if type is GL_BITMAP and format is not GL_COLOR_INDEX.

GL_INVALID_VALUE is generated if level is less than zero or greater than log2max, where max is the returned value of GL_MAX_TEXTURE_SIZE.

GL_INVALID_VALUE is generated if components is not 1, 2, 3, or 4.

GL_INVALID_VALUE is generated if width is less than zero or greater than 2 + GL_MAX_TEXTURE_SIZE, or if it cannot be represented as 2n + 2(border) for some integer value of n.

GL_INVALID_VALUE is generated if border is not 0 or 1.

GL_INVALID_OPERATION is generated if glTexImage1D is called between a call to glBegin and the corresponding call to glEnd.

ASSOCIATED GETS

glGetTexImage
glIsEnabled
with argument GL_TEXTURE_1D

glTexImage2D

NAME

glTexImage2D - specify a two-dimensional texture image

C SPECIFICATION

void glTexImage2D( GLenum target, GLint level, GLint components, GLsizei width, GLsizei height, GLint border, GLenum format, GLenum type, const GLvoid *pixels )

PARAMETERS

target 

Specifies the target texture. Must be GL_TEXTURE_2D.

level 

Specifies the level-of-detail number. Level 0 is the base image level. Level n is the nth mipmap reduction image.

components 

Specifies the number of color components in the texture. Must be 1, 2, 3, or 4.

width 

Specifies the width of the texture image. Must be 2n + 2 ( border ) for some integer n.

height 

Specifies the height of the texture image. Must be 2m + 2 ( border ) for some integer m.

border 

Specifies the width of the border. Must be either 0 or 1.

format 

Specifies the format of the pixel data. The following symbolic values are accepted: GL_COLOR_INDEX, GL_RED, GL_GREEN, GL_BLUE, GL_ALPHA, GL_RGB, GL_RGBA, GL_LUMINANCE, and GL_LUMINANCE_ALPHA.

type 

Specifies the data type of the pixel data. The following symbolic values are accepted: GL_UNSIGNED_BYTE, GL_BYTE, GL_BITMAP, GL_UNSIGNED_SHORT, GL_SHORT, GL_UNSIGNED_INT, GL_INT, and GL_FLOAT.

pixels 

Specifies a pointer to the image data in memory.

DESCRIPTION

Texturing maps a portion of a specified texture image onto each graphical primitive for which texturing is enabled. Two-dimensional texturing is enabled and disabled using glEnable and glDisable with argument GL_TEXTURE_2D.

Texture images are defined with glTexImage2D. The arguments describe the parameters of the texture image, such as height, width, width of the border, level-of-detail number (see "glTexParameter" ), and number of color components provided. The last three arguments describe the way the image is represented in memory, and they are identical to the pixel formats used for glDrawPixels.

Data is read from pixels as a sequence of signed or unsigned bytes, shorts, or longs, or single-precision floating-point values, depending on type. These values are grouped into sets of one, two, three, or four values, depending on format, to form elements. If type is GL_BITMAP, the data is considered as a string of unsigned bytes (and format must be GL_COLOR_INDEX). Each data byte is treated as eight 1-bit elements, with bit ordering determined by GL_UNPACK_LSB_FIRST (see "glPixelStore" ).

format determines the composition of each element in pixels. It can assume one of nine symbolic values:

GL_COLOR_INDEX 


Each element is a single value, a color index. It is converted to fixed point (with an unspecified number of zero bits to the right of the binary point), shifted left or right depending on the value and sign of GL_INDEX_SHIFT, and added to GL_INDEX_OFFSET (see "glPixelTransfer" ). The resulting index is converted to a set of color components using the GL_PIXEL_MAP_I_TO_R, GL_PIXEL_MAP_I_TO_G, GL_PIXEL_MAP_I_TO_B, and GL_PIXEL_MAP_I_TO_A tables, and clamped to the range [0,1].

GL_RED 

Each element is a single red component. It is converted to floating point and assembled into an RGBA element by attaching 0.0 for green and blue, and 1.0 for alpha. Each component is then multiplied by the signed scale factor GL_c_SCALE, added to the signed bias GL_c_BIAS, and clamped to the range [0,1] (see "glPixelTransfer" ).

GL_GREEN 

Each element is a single green component. It is converted to floating point and assembled into an RGBA element by attaching 0.0 for red and blue, and 1.0 for alpha. Each component is then multiplied by the signed scale factor GL_c_SCALE, added to the signed bias GL_c_BIAS, and clamped to the range [0,1] (see "glPixelTransfer" ).

GL_BLUE 

Each element is a single blue component. It is converted to floating point and assembled into an RGBA element by attaching 0.0 for red and green, and 1.0 for alpha. Each component is then multiplied by the signed scale factor GL_c_SCALE, added to the signed bias GL_c_BIAS, and clamped to the range [0,1] (see "glPixelTransfer" ).

GL_ALPHA 

Each element is a single red component. It is converted to floating point and assembled into an RGBA element by attaching 0.0 for red, green, and blue. Each component is then multiplied by the signed scale factor GL_c_SCALE, added to the signed bias GL_c_BIAS, and clamped to the range [0,1] (see "glPixelTransfer" ).

GL_RGB 

Each element is an RGB triple. It is converted to floating point and assembled into an RGBA element by attaching 1.0 for alpha. Each component is then multiplied by the signed scale factor GL_c_SCALE, added to the signed bias GL_c_BIAS, and clamped to the range [0,1] (see "glPixelTransfer" ).

GL_RGBA 

Each element is a complete RGBA element. It is converted to floating point. Each component is then multiplied by the signed scale factor GL_c_SCALE, added to the signed bias GL_c_BIAS, and clamped to the range [0,1] (see "glPixelTransfer" ).

GL_LUMINANCE 


Each element is a single luminance value. It is converted to floating point, then assembled into an RGBA element by replicating the luminance value three times for red, green, and blue and attaching 1.0 for alpha. Each component is then multiplied by the signed scale factor GL_c_SCALE, added to the signed bias GL_c_BIAS, and clamped to the range [0,1] (see "glPixelTransfer" ).

GL_LUMINANCE_ALPHA 


Each element is a luminance/alpha pair. It is converted to floating point, then assembled into an RGBA element by replicating the luminance value three times for red, green, and blue. Each component is then multiplied by the signed scale factor GL_c_SCALE, added to the signed bias GL_c_BIAS, and clamped to the range [0,1] (see "glPixelTransfer" ).

Please refer to the glDrawPixels reference page for a description of the acceptable values for the type parameter. A texture image can have up to four components per texture element, depending on components. A one-component texture image uses only the red component of the RGBA color extracted from pixels. A two-component image uses the R and A values. A three-component image uses the R, G, and B values. A four-component image uses all of the RGBA components.

NOTES

Texturing has no effect in color index mode.

The texture image can be represented by the same data formats as the pixels in a glDrawPixels command, except that GL_STENCIL_INDEX and GL_DEPTH_COMPONENT cannot be used. glPixelStore and glPixelTransfer modes affect texture images in exactly the way they affect glDrawPixels.

A texture image with zero height or width indicates the null texture. If the null texture is specified for level-of-detail 0, it is as if texturing were disabled.

ERRORS

GL_INVALID_ENUM is generated when target is not GL_TEXTURE_2D.

GL_INVALID_ENUM is generated when format is not an accepted format constant. Format constants other than GL_STENCIL_INDEX and GL_DEPTH_COMPONENT are accepted.

GL_INVALID_ENUM is generated when type is not a type constant.

GL_INVALID_ENUM is generated if type is GL_BITMAP and format is not GL_COLOR_INDEX.

GL_INVALID_VALUE is generated if level is less than zero or greater than log2 max, where max is the returned value of GL_MAX_TEXTURE_SIZE.

GL_INVALID_VALUE is generated if components is not 1, 2, 3, or 4.

GL_INVALID_VALUE is generated if width or height is less than zero or greater than 2 + GL_MAX_TEXTURE_SIZE, or if either cannot be represented as 2k + 2(border) for some integer value of k.

GL_INVALID_VALUE is generated if border is not 0 or 1.

GL_INVALID_OPERATION is generated if glTexImage2D is called between a call to glBegin and the corresponding call to glEnd.

ASSOCIATED GETS

glGetTexImage
glIsEnabled
with argument GL_TEXTURE_2D

glTexParameter

NAME

glTexParameterf, glTexParameteri, glTexParameterfv, glTexParameteriv - set texture parameters

C SPECIFICATION

void glTexParameterf( GLenum target, GLenum pname, GLfloat param )
void glTexParameteri( GLenum target, GLenum pname, GLint param )

PARAMETERS

target 

Specifies the target texture, which must be either GL_TEXTURE_1D or GL_TEXTURE_2D.

pname 

Specifies the symbolic name of a single-valued texture parameter. pname can be one of the following: GL_TEXTURE_MIN_FILTER, GL_TEXTURE_MAG_FILTER, GL_TEXTURE_WRAP_S, or GL_TEXTURE_WRAP_T.

param 

Specifies the value of pname.

C SPECIFICATION

void glTexParameterfv( GLenum target, GLenum pname, const GLfloat *params )
void glTexParameteriv( GLenum target, GLenum pname, const GLint *params )

PARAMETERS

target 

Specifies the target texture, which must be either GL_TEXTURE_1D or GL_TEXTURE_2D.

pname 

Specifies the symbolic name of a texture parameter. pname can be one of the following: GL_TEXTURE_MIN_FILTER, GL_TEXTURE_MAG_FILTER, GL_TEXTURE_WRAP_S, GL_TEXTURE_WRAP_T, or GL_TEXTURE_BORDER_COLOR.

params 

Specifies a pointer to an array where the value or values of pname are stored.

DESCRIPTION

Texture mapping is a technique that applies an image onto an object's surface as if the image were a decal or cellophane shrink-wrap. The image is created in texture space, with an (s, t) coordinate system. A texture is a one- or two-dimensional image and a set of parameters that determine how samples are derived from the image.

glTexParameter assigns the value or values in params to the texture parameter specified as pname. target defines the target texture, either GL_TEXTURE_1D or GL_TEXTURE_2D. The following symbols are accepted in pname:

GL_TEXTURE_MIN_FILTER 


The texture minifying function is used whenever the pixel being textured maps to an area greater than one texture element. There are six defined minifying functions. Two of them use the nearest one or nearest four texture elements to compute the texture value. The other four use mipmaps.

 

A mipmap is an ordered set of arrays representing the same image at progressively lower resolutions. If the texture has dimensions 2n×2m there are max ( n, m ) + 1 mipmaps. The first mipmap is the original texture, with dimensions 2n×2m. Each subsequent mipmap has dimensions 2 k - 1×2 l - 1 where 2k×2l are the dimensions of the previous mipmap, until either k = 0 or l=0. At that point, subsequent mipmaps have dimension 1×2 l - 1 or 2 k - 1×1 until the final mipmap, which has dimension 1×1. Mipmaps are defined using glTexImage1D or glTexImage2D with the level-of-detail argument indicating the order of the mipmaps. Level 0 is the original texture; level max ( n, m ) is the final 1×1 mipmap.

 

params supplies a function for minifying the texture as one of the following:

GL_NEAREST 

Returns the value of the texture element that is nearest (in Manhattan distance) to the center of the pixel being textured.

GL_LINEAR 

Returns the weighted average of the four texture elements that are closest to the center of the pixel being textured. These can include border texture elements, depending on the values of GL_TEXTURE_WRAP_S and GL_TEXTURE_WRAP_T, and on the exact mapping.

GL_NEAREST_MIPMAP_NEAREST 


Chooses the mipmap that most closely matches the size of the pixel being textured and uses the GL_NEAREST criterion (the texture element nearest to the center of the pixel) to produce a texture value.

GL_LINEAR_MIPMAP_NEAREST 


Chooses the mipmap that most closely matches the size of the pixel being textured and uses the GL_LINEAR criterion (a weighted average of the four texture elements that are closest to the center of the pixel) to produce a texture value.

GL_NEAREST_MIPMAP_LINEAR 


Chooses the two mipmaps that most closely match the size of the pixel being textured and uses the GL_NEAREST criterion (the texture element nearest to the center of the pixel) to produce a texture value from each mipmap. The final texture value is a weighted average of those two values.

GL_LINEAR_MIPMAP_LINEAR 


Chooses the two mipmaps that most closely match the size of the pixel being textured and uses the GL_LINEAR criterion (a weighted average of the four texture elements that are closest to the center of the pixel) to produce a texture value from each mipmap. The final texture value is a weighted average of those two values.

 

As more texture elements are sampled in the minification process, fewer aliasing artifacts will be apparent. While the GL_NEAREST and GL_LINEAR minification functions can be faster than the other four, they sample only one or four texture elements to determine the texture value of the pixel being rendered and can produce moire patterns or ragged transitions. The default value of GL_TEXTURE_MIN_FILTER is GL_NEAREST_MIPMAP_LINEAR.

GL_TEXTURE_MAG_FILTER 


The texture magnification function is used when the pixel being textured maps to an area less than or equal to one texture element. It sets the texture magnification function to either of the following:

GL_NEAREST 


Returns the value of the texture element that is nearest (in Manhattan distance) to the center of the pixel being textured.

 

GL_LINEAR Returns the weighted average of the four texture elements that are closest to the center of the pixel being textured. These can include border texture elements, depending on the values of GL_TEXTURE_WRAP_S and GL_TEXTURE_WRAP_T, and on the exact mapping.

 

GL_NEAREST is generally faster than GL_LINEAR, but it can produce textured images with sharper edges because the transition between texture elements is not as smooth. The default value of GL_TEXTURE_MAG_FILTER is GL_LINEAR.

GL_TEXTURE_WRAP_S 


Sets the wrap parameter for texture coordinate s to either GL_CLAMP or GL_REPEAT. GL_CLAMP causes s coordinates to be clamped to the range [0,1] and is useful for preventing wrapping artifacts when mapping a single image onto an object. GL_REPEAT causes the integer part of the s coordinate to be ignored; the GL uses only the fractional part, thereby creating a repeating pattern. Border texture elements are accessed only if wrapping is set to GL_CLAMP. Initially, GL_TEXTURE_WRAP_S is set to GL_REPEAT.

GL_TEXTURE_WRAP_T 


Sets the wrap parameter for texture coordinate t to either GL_CLAMP or GL_REPEAT. See the discussion under GL_TEXTURE_WRAP_S. Initially, GL_TEXTURE_WRAP_T is set to GL_REPEAT.

GL_TEXTURE_BORDER_COLOR 


Sets a border color. params contains four values that comprise the RGBA color of the texture border. Integer color components are interpreted linearly such that the most positive integer maps to 1.0, and the most negative integer maps to -1.0. The values are clamped to the range [0,1] when they are specified. Initially, the border color is (0, 0, 0, 0).

NOTES

Suppose texturing is enabled (by calling glEnable with argument GL_TEXTURE_1D or GL_TEXTURE_2D) and GL_TEXTURE_MIN_FILTER is set to one of the functions that requires a mipmap. If either the dimensions of the texture images currently defined (with previous calls to glTexImage1D or glTexImage2D) do not follow the proper sequence for mipmaps (described above), or there are fewer texture images defined than are needed, or the set of texture images have differing numbers of texture components, then it is as if texture mapping were disabled.

Linear filtering accesses the four nearest texture elements only in 2-D textures. In 1-D textures, linear filtering accesses the two nearest texture elements.

ERRORS

GL_INVALID_ENUM is generated when target or pname is not one of the accepted defined values, or when params should have a defined constant value (based on the value of pname) and does not.

GL_INVALID_OPERATION is generated if glTexParameter is called between a call to glBegin and the corresponding call to glEnd.

ASSOCIATED GETS

glGetTexParameter
glGetTexLevelParameter

glTranslate

NAME

glTranslated, glTranslatef - multiply the current matrix by a translation matrix

C SPECIFICATION

void glTranslated( GLdouble x, GLdouble y, GLdouble z )
void glTranslatef( GLfloat x, GLfloat y, GLfloat z )

PARAMETERS

x, y, z 

Specify the x, y, and z coordinates of a translation vector.

DESCRIPTION

glTranslate moves the coordinate system origin to the point specified by (x,y,z). The translation vector is used to compute a 4×4 translation matrix:

The current matrix (see "glMatrixMode" ) is multiplied by this translation matrix, with the product replacing the current matrix. That is, if M is the current matrix and T is the translation matrix, then M is replaced with M o T.

If the matrix mode is either GL_MODELVIEW or GL_PROJECTION, all objects drawn after glTranslate is called are translated. Use glPushMatrix and glPopMatrix to save and restore the untranslated coordinate system.

ERRORS

GL_INVALID_OPERATION is generated if glTranslate is called between a call to glBegin and the corresponding call to glEnd.

ASSOCIATED GETS

glGet with argument GL_MATRIX_MODE
glGet with argument GL_MODELVIEW_MATRIX
glGet
with argument GL_PROJECTION_MATRIX
glGet
with argument GL_TEXTURE_MATRIX

glVertex

NAME

glVertex2d, glVertex2f, glVertex2i, glVertex2s, glVertex3d, glVertex3f, glVertex3i, glVertex3s, glVertex4d, glVertex4f, glVertex4i, glVertex4s, glVertex2dv, glVertex2fv, glVertex2iv, glVertex2sv, glVertex3dv, glVertex3fv, glVertex3iv, glVertex3sv, glVertex4dv, glVertex4fv, glVertex4iv, glVertex4sv - specify a vertex

C SPECIFICATION

void glVertex2d( GLdouble x, GLdouble y )
void glVertex2f( GLfloat x, GLfloat y )
void glVertex2i( GLint x, GLint y )
void glVertex2s( GLshort x, GLshort y )
void glVertex3d( GLdouble x, GLdouble y, GLdouble z )
void glVertex3f( GLfloat x, GLfloat y, GLfloat z )
void glVertex3i( GLint x, GLint y, GLint z )
void glVertex3s( GLshort x, GLshort y, GLshort z )
void glVertex4d( GLdouble x, GLdouble y, GLdouble z, GLdouble w )
void glVertex4f( GLfloat x, GLfloat y, GLfloat z, GLfloat w )
void glVertex4i( GLint x, GLint y, GLint z, GLint w )
void glVertex4s( GLshort x, GLshort y, GLshort z, GLshort w )

PARAMETERS

x, y, z, w 

Specify x, y, z, and w coordinates of a vertex. Not all parameters are present in all forms of the command.

C SPECIFICATION

void glVertex2dv( const GLdouble *v )
void glVertex2fv( const GLfloat *v )
void glVertex2iv( const GLint *v )
void glVertex2sv( const GLshort *v )
void glVertex3dv( const GLdouble *v )
void glVertex3fv( const GLfloat *v )
void glVertex3iv( const GLint *v )
void glVertex3sv( const GLshort *v )
void glVertex4dv( const GLdouble *v )
void glVertex4fv( const GLfloat *v )
void glVertex4iv( const GLint *v )
void glVertex4sv( const GLshort *v )

PARAMETERS

v 

Specifies a pointer to an array of two, three, or four elements. The elements of a two-element array are x and y; of a three-element array, x, y, and z; and of a four-element array, x, y, z, and w.

DESCRIPTION

glVertex commands are used within glBegin/glEnd pairs to specify point, line, and polygon vertices. The current color, normal, and texture coordinates are associated with the vertex when glVertex is called.

When only x and y are specified, z defaults to 0.0 and w defaults to 1.0. When x, y, and z are specified, w defaults to 1.0.

NOTES

Invoking glVertex outside of a glBegin/glEnd pair results in undefined behavior.

glViewport

NAME

glViewport - set the viewport

C SPECIFICATION

void glViewport( GLint x, GLint y, GLsizei width, GLsizei height )

PARAMETERS

x, y 

Specify the lower left corner of the viewport rectangle, in pixels. The default is (0,0).

width, height 

Specify the width and height, respectively, of the viewport. When a GL context is first attached to a window, width and height are set to the dimensions of that window.

DESCRIPTION

glViewport specifies the affine transformation of x and y from normalized device coordinates to window coordinates. Let (xnd, ynd) be normalized device coordinates. Then the window coordinates (xw, yw) are computed as follows:

Viewport width and height are silently clamped to a range that depends on the implementation. This range is queried by calling glGet with argument GL_MAX_VIEWPORT_DIMS.

ERRORS

GL_INVALID_VALUE is generated if either width or height is negative.

GL_INVALID_OPERATION is generated if glViewport is called between a call to glBegin and the corresponding call to glEnd.

ASSOCIATED GETS

glGet with argument GL_VIEWPORT
glGet
with argument GL_MAX_VIEWPORT_DIMS

SEE ALSO

"glDepthRange"